• 文献检索
  • 文档翻译
  • 深度研究
  • 学术资讯
  • Suppr Zotero 插件Zotero 插件
  • 邀请有礼
  • 套餐&价格
  • 历史记录
应用&插件
Suppr Zotero 插件Zotero 插件浏览器插件Mac 客户端Windows 客户端微信小程序
定价
高级版会员购买积分包购买API积分包
服务
文献检索文档翻译深度研究API 文档MCP 服务
关于我们
关于 Suppr公司介绍联系我们用户协议隐私条款
关注我们

Suppr 超能文献

核心技术专利:CN118964589B侵权必究
粤ICP备2023148730 号-1Suppr @ 2026

文献检索

告别复杂PubMed语法,用中文像聊天一样搜索,搜遍4000万医学文献。AI智能推荐,让科研检索更轻松。

立即免费搜索

文件翻译

保留排版,准确专业,支持PDF/Word/PPT等文件格式,支持 12+语言互译。

免费翻译文档

深度研究

AI帮你快速写综述,25分钟生成高质量综述,智能提取关键信息,辅助科研写作。

立即免费体验

田间种植的[植物名称未给出]对感染的细胞壁反应。 (注:原句中“field grown”后缺少具体所指植物,翻译可能不太完整准确,需根据完整原文进一步完善)

Cell wall response of field grown to infection.

作者信息

Bryant Nathan, Muchero Wellington, Weber Rachel A, Barros Jaime, Chen Jin-Gui, Tschaplinski Timothy J, Pu Yunqiao, Ragauskas Arthur J

机构信息

Department of Chemical and Biomolecular Engineering, University of Tennessee, Knoxville, TN, United States.

BioEnergy Science Center & Center for Bioenergy Innovation, Oak Ridge National Laboratory, Oak Ridge, TN, United States.

出版信息

Front Plant Sci. 2023 Jun 7;14:1089011. doi: 10.3389/fpls.2023.1089011. eCollection 2023.

DOI:10.3389/fpls.2023.1089011
PMID:37351208
原文链接:https://pmc.ncbi.nlm.nih.gov/articles/PMC10282658/
Abstract

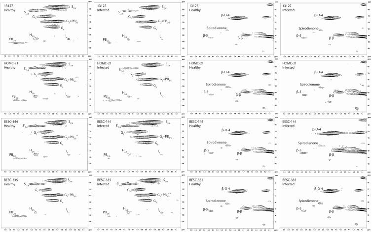
Due to its ability to spread quickly and result in tree mortality, is one of the most severe diseases impacting . Previous studies have identified that infection induces differential expression of phenylpropanoid biosynthesis genes. However, more extensive characterization of changes to lignin in response to infection is lacking. To study the changes of lignin due to infection, four field grown, naturally variant exhibiting visible signs of infection were sampled at health, infected, and reaction zone regions for cell wall characterization. Fourier transform infrared spectroscopy (FTIR), nuclear magnetic resonance (NMR), and acid hydrolysis were applied to identify changes to the cell wall, and especially lignin. FTIR and subsequent principal component analysis revealed that infected and reaction zone regions were similar and could be distinguished from the non-infected (healthy) region. NMR results indicated the general trend that infected region had a higher syringyl:guaiacyl ratio and lower -hydroxybenzoate content than the healthy regions from the same genotype. Finally, Klason lignin content in the infected and/or reaction zone regions was shown to be higher than healthy region, which is consistent with previous observations of periderm development and metabolite profiling. These results provide insights on the response of wood characteristics to infection, especially between healthy and infected region within the same genotype.

摘要

由于其传播迅速并导致树木死亡的能力,它是影响[具体事物]的最严重病害之一。先前的研究已经确定[病害名称]感染会诱导苯丙烷生物合成基因的差异表达。然而,对于[病害名称]感染后木质素变化的更广泛表征尚缺乏。为了研究[病害名称]感染导致的木质素变化,在健康、感染和反应区对四株田间生长、自然变异且呈现[病害名称]感染可见症状的[植物名称]进行采样,以进行细胞壁表征。应用傅里叶变换红外光谱(FTIR)、核磁共振(NMR)和酸水解来鉴定细胞壁的变化,特别是木质素的变化。FTIR及随后的主成分分析表明,感染区和反应区相似,且可与未感染(健康)区分开。NMR结果表明,感染区的紫丁香基:愈创木基比率总体上高于同一基因型的健康区,而对羟基苯甲酸酯含量则较低。最后,感染区和/或反应区的克拉森木质素含量高于健康区,这与先前关于周皮发育和代谢物谱分析的观察结果一致。这些结果为[植物名称]木材特性对[病害名称]感染的反应提供了见解,特别是同一基因型内健康区和感染区之间的反应。

https://cdn.ncbi.nlm.nih.gov/pmc/blobs/0c1a/10282658/5800f631eb85/fpls-14-1089011-g004.jpg
https://cdn.ncbi.nlm.nih.gov/pmc/blobs/0c1a/10282658/ab273e6fa19f/fpls-14-1089011-g001.jpg
https://cdn.ncbi.nlm.nih.gov/pmc/blobs/0c1a/10282658/9d1f7aaad7ec/fpls-14-1089011-g002.jpg
https://cdn.ncbi.nlm.nih.gov/pmc/blobs/0c1a/10282658/d4f80477d14a/fpls-14-1089011-g003.jpg
https://cdn.ncbi.nlm.nih.gov/pmc/blobs/0c1a/10282658/5800f631eb85/fpls-14-1089011-g004.jpg
https://cdn.ncbi.nlm.nih.gov/pmc/blobs/0c1a/10282658/ab273e6fa19f/fpls-14-1089011-g001.jpg
https://cdn.ncbi.nlm.nih.gov/pmc/blobs/0c1a/10282658/9d1f7aaad7ec/fpls-14-1089011-g002.jpg
https://cdn.ncbi.nlm.nih.gov/pmc/blobs/0c1a/10282658/d4f80477d14a/fpls-14-1089011-g003.jpg
https://cdn.ncbi.nlm.nih.gov/pmc/blobs/0c1a/10282658/5800f631eb85/fpls-14-1089011-g004.jpg

相似文献

1
Cell wall response of field grown to infection.田间种植的[植物名称未给出]对感染的细胞壁反应。 (注:原句中“field grown”后缺少具体所指植物,翻译可能不太完整准确,需根据完整原文进一步完善)
Front Plant Sci. 2023 Jun 7;14:1089011. doi: 10.3389/fpls.2023.1089011. eCollection 2023.
2
Metabolomic Patterns of Septoria Canker Resistant and Susceptible Genotypes 24 Hours Postinoculation.接种后 24 小时内抗叶斑病和感病基因型的代谢组学图谱。
Phytopathology. 2021 Nov;111(11):2052-2066. doi: 10.1094/PHYTO-02-21-0053-R. Epub 2021 Nov 23.
3
Downregulation of cinnamoyl-coenzyme A reductase in poplar: multiple-level phenotyping reveals effects on cell wall polymer metabolism and structure.杨树中肉桂酰辅酶A还原酶的下调:多层次表型分析揭示其对细胞壁聚合物代谢和结构的影响
Plant Cell. 2007 Nov;19(11):3669-91. doi: 10.1105/tpc.107.054148. Epub 2007 Nov 16.
4
Relationships between Sphaerulina musiva Infection and the Microbiome and Metabolome.球腔菌感染与微生物组和代谢组的关系。
mSystems. 2022 Aug 30;7(4):e0012022. doi: 10.1128/msystems.00120-22. Epub 2022 Jul 18.
5
Comparative expression analysis of resistant and susceptible Populus clones inoculated with Septoria musiva.接种杨树炭疽病菌的抗性和敏感杨树无性系的比较表达分析。
Plant Sci. 2014 Jun;223:69-78. doi: 10.1016/j.plantsci.2014.03.004. Epub 2014 Mar 16.
6
Variable lignin structure revealed in leaves.叶片中呈现出可变的木质素结构。
RSC Adv. 2023 Jul 5;13(29):20187-20197. doi: 10.1039/d3ra03142j. eCollection 2023 Jun 29.
7
Microscopic, Biochemical, and Molecular Comparisons of Moderately Resistant and Susceptible Genotypes Inoculated with .接种 后中度抗性和敏感基因型的微观、生化和分子比较。
Phytopathology. 2019 Dec;109(12):2074-2086. doi: 10.1094/PHYTO-03-19-0105-R. Epub 2019 Nov 5.
8
Characterization of lignins from Populus alba L. generated as by-products in different transformation processes: Kraft pulping, organosolv and acid hydrolysis.不同转化过程中白杨木质素的特性:硫酸盐法制浆、有机溶剂法制浆和酸水解。
Int J Biol Macromol. 2019 Apr 1;126:18-29. doi: 10.1016/j.ijbiomac.2018.12.158. Epub 2018 Dec 18.
9
Ultrastructure and mechanical properties of populus wood with reduced lignin content caused by transgenic down-regulation of cinnamate 4-hydroxylase.转反义肉桂酸 4-羟化酶基因降低木质素含量杨树木材的超微结构和力学性质
Biomacromolecules. 2010 Sep 13;11(9):2359-65. doi: 10.1021/bm100487e.
10
Comparative studies on lignin structures in normal and tension wood of Populus × euramericana cv. "74/76".杨属欧美杂种无性系 74/76 正常木和张力木木质素结构的比较研究。
Int J Biol Macromol. 2021 Mar 1;172:178-185. doi: 10.1016/j.ijbiomac.2021.01.005. Epub 2021 Jan 6.

引用本文的文献

1
Editing Metabolism, Sex, and Microbiome: How Can We Help Poplar Resist Pathogens?编辑代谢、性别与微生物组:我们如何帮助杨树抵御病原体?
Int J Mol Sci. 2024 Jan 21;25(2):1308. doi: 10.3390/ijms25021308.

本文引用的文献

1
Lignin -Hydroxybenzoylation Is Negatively Correlated With Syringyl Units in Poplar.木质素-羟基苯甲酰化与杨树中的紫丁香基单元呈负相关。
Front Plant Sci. 2022 Jul 22;13:938083. doi: 10.3389/fpls.2022.938083. eCollection 2022.
2
A rapid thioacidolysis method for biomass lignin composition and tricin analysis.一种用于生物质木质素组成和小麦黄素分析的快速硫代酸解方法。
Biotechnol Biofuels. 2021 Jan 11;14(1):18. doi: 10.1186/s13068-020-01865-y.
3
Transgenic Poplar Designed for Biofuels.转基因杨树,专为生物燃料设计。
Trends Plant Sci. 2020 Sep;25(9):881-896. doi: 10.1016/j.tplants.2020.03.008. Epub 2020 May 29.
4
Structural changes of lignins in natural Populus variants during different pretreatments.天然杨属变体在不同预处理过程中木质素的结构变化。
Bioresour Technol. 2020 Jan;295:122240. doi: 10.1016/j.biortech.2019.122240. Epub 2019 Oct 4.
5
4-Coumarate 3-hydroxylase in the lignin biosynthesis pathway is a cytosolic ascorbate peroxidase.木质素生物合成途径中的 4-香豆酸 3-羟化酶是一种胞质抗坏血酸过氧化物酶。
Nat Commun. 2019 Apr 30;10(1):1994. doi: 10.1038/s41467-019-10082-7.
6
Variation in Septoria musiva and Implications for Disease Resistance Screening of Poplars.杨树溃疡病菌的变异及其对杨树抗病性筛选的影响
Plant Dis. 2005 Oct;89(10):1077-1082. doi: 10.1094/PD-89-1077.
7
Association mapping, transcriptomics, and transient expression identify candidate genes mediating plant-pathogen interactions in a tree.关联作图、转录组学和瞬时表达鉴定介导树木中植物-病原体相互作用的候选基因。
Proc Natl Acad Sci U S A. 2018 Nov 6;115(45):11573-11578. doi: 10.1073/pnas.1804428115. Epub 2018 Oct 18.
8
Characterization and Elimination of Undesirable Protein Residues in Plant Cell Wall Materials for Enhancing Lignin Analysis by Solution-State Nuclear Magnetic Resonance Spectroscopy.植物细胞壁材料中不良蛋白质残基的特征化和去除,以增强溶液态核磁共振波谱法对木质素的分析。
Biomacromolecules. 2017 Dec 11;18(12):4184-4195. doi: 10.1021/acs.biomac.7b01223. Epub 2017 Nov 8.
9
Natural genetic variability reduces recalcitrance in poplar.自然遗传变异降低了杨树的顽拗性。
Biotechnol Biofuels. 2016 May 20;9:106. doi: 10.1186/s13068-016-0521-2. eCollection 2016.
10
Transcriptome Analysis of Poplar during Leaf Spot Infection with Sphaerulina spp.杨叶点霉叶斑病感染期间杨树的转录组分析
PLoS One. 2015 Sep 17;10(9):e0138162. doi: 10.1371/journal.pone.0138162. eCollection 2015.