Suppr超能文献

沙库巴曲缬沙坦对运动能力的影响:在滴定过程中开始出现的预后改善。

Effects of sacubitril/valsartan on exercise capacity: a prognostic improvement that starts during uptitration.

机构信息

Centro Cardiologico Monzino, IRCCS, Milan, Italy.

Department of Clinical Sciences and Community Health, Cardiovascular Section, University of Milan, Milan, Italy.

出版信息

Eur J Clin Pharmacol. 2023 Sep;79(9):1173-1184. doi: 10.1007/s00228-023-03527-y. Epub 2023 Jun 27.

Abstract

PURPOSE

Sacubitril/valsartan is a mainstay of the treatment of heart failure with reduced ejection fraction (HFrEF); however, its effects on exercise performance yielded conflicting results. Aim of our study was to evaluate the impact of sacubitril/valsartan on exercise parameters and echocardiographic and biomarker changes at different drug doses.

METHODS

We prospectively enrolled consecutive HFrEF outpatients eligible to start sacubitril/valsartan. Patients underwent clinical assessment, cardiopulmonary exercise test (CPET), blood sampling, echocardiography, and completed the Kansas City Cardiomyopathy Questionnaire (KCCQ-12). Sacubitril/valsartan was introduced at 24/26 mg b.i.d. dose and progressively uptitrated in a standard monthly-based fashion to 97/103 mg b.i.d. or maximum tolerated dose. Study procedures were repeated at each titration visit and 6 months after reaching the maximum tolerated dose.

RESULTS

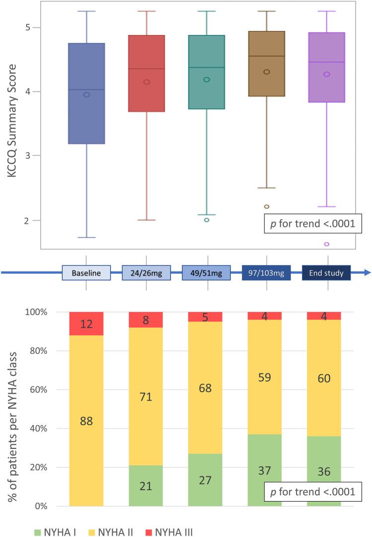
Ninety-six patients completed the study, 73 (75%) reached maximum sacubitril/valsartan dose. We observed a significant improvement in functional capacity across all study steps: oxygen intake increased, at peak exercise (from 15.6 ± 4.5 to 16.5 ± 4.9 mL/min/kg; p trend = 0.001), while minute ventilation/carbon dioxide production relationship reduced in patients with an abnormal value at baseline. Sacubitril/valsartan induced positive left ventricle reverse remodeling (EF from 31 ± 5 to 37 ± 8%; p trend < 0.001), while NT-proBNP reduced from 1179 [610-2757] to 780 [372-1344] pg/ml (p trend < 0.0001). NYHA functional class and the subjective perception of limitation in daily life at KCCQ-12 significantly improved. The Metabolic Exercise Cardiac Kidney Index (MECKI) score progressively improved from 4.35 [2.42-7.71] to 2.35% [1.24-4.96], p = 0.003.

CONCLUSIONS

A holistic and progressive HF improvement was observed with sacubitril/valsartan in parallel with quality of life. Likewise, a prognostic enhancement was observed.

摘要

目的

沙库巴曲缬沙坦是射血分数降低的心力衰竭(HFrEF)治疗的主要药物;然而,其对运动表现的影响结果相互矛盾。本研究的目的是评估不同药物剂量下沙库巴曲缬沙坦对运动参数以及超声心动图和生物标志物变化的影响。

方法

我们前瞻性纳入了符合开始沙库巴曲缬沙坦治疗条件的连续 HFrEF 门诊患者。患者接受临床评估、心肺运动试验(CPET)、血液采样、超声心动图检查,并完成堪萨斯城心肌病问卷(KCCQ-12)。沙库巴曲缬沙坦以 24/26mg 每日两次的剂量起始,并以标准的每月递增方式逐渐增至 97/103mg 每日两次或最大耐受剂量。在每次滴定就诊时和达到最大耐受剂量后 6 个月重复研究程序。

结果

96 例患者完成了研究,73 例(75%)达到了沙库巴曲缬沙坦的最大剂量。我们观察到所有研究步骤中功能能力的显著改善:峰值运动时的氧摄取量增加(从 15.6±4.5 增加到 16.5±4.9mL/min/kg;趋势 p 值=0.001),而基线时异常的分钟通气量/二氧化碳产量关系在患者中减少。沙库巴曲缬沙坦诱导左心室逆重构(EF 从 31±5%增加到 37±8%;趋势 p 值<0.001),同时 NT-proBNP 从 1179[610-2757]减少到 780[372-1344]pg/ml(趋势 p 值<0.0001)。NYHA 功能分级和 KCCQ-12 日常生活受限的主观感知显著改善。代谢运动心脏肾脏指数(MECKI)评分从 4.35[2.42-7.71]逐渐改善到 2.35%[1.24-4.96],p=0.003。

结论

沙库巴曲缬沙坦治疗可观察到整体和渐进的心力衰竭改善,同时改善生活质量。同样,观察到预后的改善。

https://cdn.ncbi.nlm.nih.gov/pmc/blobs/0913/10427709/b4f08dfc4f78/228_2023_3527_Fig1_HTML.jpg

文献AI研究员

20分钟写一篇综述,助力文献阅读效率提升50倍。

立即体验

用中文搜PubMed

大模型驱动的PubMed中文搜索引擎

马上搜索

文档翻译

学术文献翻译模型,支持多种主流文档格式。

立即体验