• 文献检索
  • 文档翻译
  • 深度研究
  • 学术资讯
  • Suppr Zotero 插件Zotero 插件
  • 邀请有礼
  • 套餐&价格
  • 历史记录
应用&插件
Suppr Zotero 插件Zotero 插件浏览器插件Mac 客户端Windows 客户端微信小程序
定价
高级版会员购买积分包购买API积分包
服务
文献检索文档翻译深度研究API 文档MCP 服务
关于我们
关于 Suppr公司介绍联系我们用户协议隐私条款
关注我们

Suppr 超能文献

核心技术专利:CN118964589B侵权必究
粤ICP备2023148730 号-1Suppr @ 2026

文献检索

告别复杂PubMed语法,用中文像聊天一样搜索,搜遍4000万医学文献。AI智能推荐,让科研检索更轻松。

立即免费搜索

文件翻译

保留排版,准确专业,支持PDF/Word/PPT等文件格式,支持 12+语言互译。

免费翻译文档

深度研究

AI帮你快速写综述,25分钟生成高质量综述,智能提取关键信息,辅助科研写作。

立即免费体验

针对人类乙酰胆碱酯酶、丁酰胆碱酯酶和β-分泌酶1的分子多靶点方法:阿尔茨海默病治疗的新一代方案

Molecular Multi-Target Approach for Human Acetylcholinesterase, Butyrylcholinesterase and -Secretase 1: Next Generation for Alzheimer's Disease Treatment.

作者信息

Mendes Géssica Oliveira, Pita Samuel Silva da Rocha, Carvalho Paulo Batista de, Silva Michel Pires da, Taranto Alex Gutterres, Leite Franco Henrique Andrade

机构信息

Laboratory of Molecular Modeling, Department of Health, State University of Feira de Santana, Salvador 44036-900, BA, Brazil.

Postgraduate Program in Pharmaceutical Sciences, State University of Feira de Santana, Salvador 44036-900, BA, Brazil.

出版信息

Pharmaceuticals (Basel). 2023 Jun 15;16(6):880. doi: 10.3390/ph16060880.

DOI:10.3390/ph16060880
PMID:37375827
原文链接:https://pmc.ncbi.nlm.nih.gov/articles/PMC10302529/
Abstract

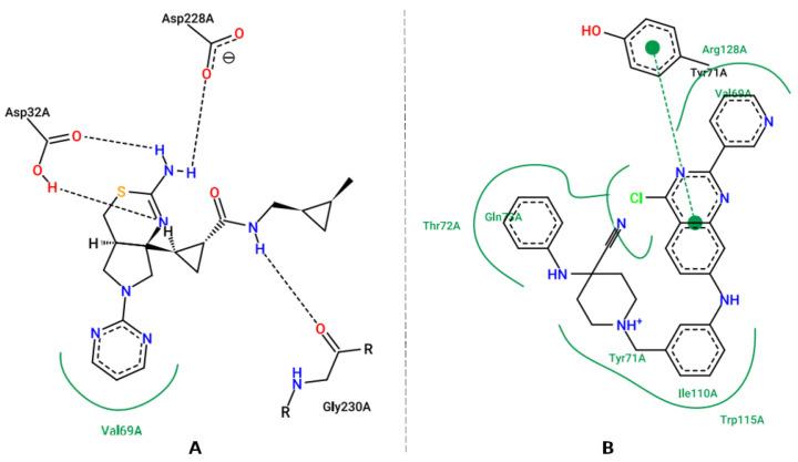
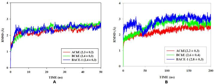
Alzheimer's Disease (AD) is a neurodegenerative condition characterized by progressive memory loss and other affected cognitive functions. Pharmacological therapy of AD relies on inhibitors of the enzymes acetylcholinesterase (AChE) and butyrylcholinesterase (BChE), offering only a palliative effect and being incapable of stopping or reversing the neurodegenerative process. However, recent studies have shown that inhibiting the enzyme β-secretase 1 (BACE-1) may be able to stop neurodegeneration, making it a promising target. Considering these three enzymatic targets, it becomes feasible to apply computational techniques to guide the identification and planning of molecules capable of binding to all of them. After virtually screening 2119 molecules from a library, 13 hybrids were built and further screened by triple pharmacophoric model, molecular docking, and molecular dynamics (t = 200 ns). The selected hybrid G meets all stereo-electronic requirements to bind to AChE, BChE, and BACE-1 and offers a promising structure for future synthesis, enzymatic testing, and validation.

摘要

阿尔茨海默病(AD)是一种神经退行性疾病,其特征是进行性记忆丧失和其他受影响的认知功能。AD的药物治疗依赖于乙酰胆碱酯酶(AChE)和丁酰胆碱酯酶(BChE)的抑制剂,仅具有姑息作用,无法阻止或逆转神经退行性过程。然而,最近的研究表明,抑制β-分泌酶1(BACE-1)可能能够阻止神经退行性变,使其成为一个有前景的靶点。考虑到这三个酶靶点,应用计算技术来指导能够与所有这些靶点结合的分子的识别和设计变得可行。从一个文库中虚拟筛选2119个分子后,构建了13个杂合物,并通过三重药效团模型、分子对接和分子动力学(t = 200 ns)进行进一步筛选。所选的杂合物G满足与AChE、BChE和BACE-1结合的所有立体电子要求,并为未来的合成、酶测试和验证提供了一个有前景的结构。

https://cdn.ncbi.nlm.nih.gov/pmc/blobs/0347/10302529/5fcb0ec81e29/pharmaceuticals-16-00880-g010.jpg
https://cdn.ncbi.nlm.nih.gov/pmc/blobs/0347/10302529/cea75062f2a6/pharmaceuticals-16-00880-g001.jpg
https://cdn.ncbi.nlm.nih.gov/pmc/blobs/0347/10302529/0ed3fed75b79/pharmaceuticals-16-00880-g002.jpg
https://cdn.ncbi.nlm.nih.gov/pmc/blobs/0347/10302529/a464b9369ba0/pharmaceuticals-16-00880-g003.jpg
https://cdn.ncbi.nlm.nih.gov/pmc/blobs/0347/10302529/a31b21cdda7c/pharmaceuticals-16-00880-g004.jpg
https://cdn.ncbi.nlm.nih.gov/pmc/blobs/0347/10302529/201217ddedcf/pharmaceuticals-16-00880-g005.jpg
https://cdn.ncbi.nlm.nih.gov/pmc/blobs/0347/10302529/847564254a13/pharmaceuticals-16-00880-g006.jpg
https://cdn.ncbi.nlm.nih.gov/pmc/blobs/0347/10302529/94e7496d9d3f/pharmaceuticals-16-00880-g007.jpg
https://cdn.ncbi.nlm.nih.gov/pmc/blobs/0347/10302529/de6b9f14229c/pharmaceuticals-16-00880-g008.jpg
https://cdn.ncbi.nlm.nih.gov/pmc/blobs/0347/10302529/420485c2f57b/pharmaceuticals-16-00880-g009.jpg
https://cdn.ncbi.nlm.nih.gov/pmc/blobs/0347/10302529/5fcb0ec81e29/pharmaceuticals-16-00880-g010.jpg
https://cdn.ncbi.nlm.nih.gov/pmc/blobs/0347/10302529/cea75062f2a6/pharmaceuticals-16-00880-g001.jpg
https://cdn.ncbi.nlm.nih.gov/pmc/blobs/0347/10302529/0ed3fed75b79/pharmaceuticals-16-00880-g002.jpg
https://cdn.ncbi.nlm.nih.gov/pmc/blobs/0347/10302529/a464b9369ba0/pharmaceuticals-16-00880-g003.jpg
https://cdn.ncbi.nlm.nih.gov/pmc/blobs/0347/10302529/a31b21cdda7c/pharmaceuticals-16-00880-g004.jpg
https://cdn.ncbi.nlm.nih.gov/pmc/blobs/0347/10302529/201217ddedcf/pharmaceuticals-16-00880-g005.jpg
https://cdn.ncbi.nlm.nih.gov/pmc/blobs/0347/10302529/847564254a13/pharmaceuticals-16-00880-g006.jpg
https://cdn.ncbi.nlm.nih.gov/pmc/blobs/0347/10302529/94e7496d9d3f/pharmaceuticals-16-00880-g007.jpg
https://cdn.ncbi.nlm.nih.gov/pmc/blobs/0347/10302529/de6b9f14229c/pharmaceuticals-16-00880-g008.jpg
https://cdn.ncbi.nlm.nih.gov/pmc/blobs/0347/10302529/420485c2f57b/pharmaceuticals-16-00880-g009.jpg
https://cdn.ncbi.nlm.nih.gov/pmc/blobs/0347/10302529/5fcb0ec81e29/pharmaceuticals-16-00880-g010.jpg

相似文献

1
Molecular Multi-Target Approach for Human Acetylcholinesterase, Butyrylcholinesterase and -Secretase 1: Next Generation for Alzheimer's Disease Treatment.针对人类乙酰胆碱酯酶、丁酰胆碱酯酶和β-分泌酶1的分子多靶点方法:阿尔茨海默病治疗的新一代方案
Pharmaceuticals (Basel). 2023 Jun 15;16(6):880. doi: 10.3390/ph16060880.
2
Identification of Potential Multitarget Compounds against Alzheimer's Disease through Pharmacophore-Based Virtual Screening.通过基于药效团的虚拟筛选鉴定抗阿尔茨海默病的潜在多靶点化合物。
Pharmaceuticals (Basel). 2023 Nov 23;16(12):1645. doi: 10.3390/ph16121645.
3
Molecular docking and molecular dynamics approach to identify potential compounds in for treating Alzheimer's disease.用于治疗阿尔茨海默病的分子对接和分子动力学方法以鉴定潜在化合物。
J Complement Integr Med. 2022 May 30;19(4):955-965. doi: 10.1515/jcim-2021-0462. eCollection 2022 Dec 1.
4
Identification and molecular docking study of fish roe-derived peptides as potent BACE 1, AChE, and BChE inhibitors.鱼籽来源肽作为强效 BACE1、AChE 和 BChE 抑制剂的鉴定及分子对接研究。
Food Funct. 2020 Jul 1;11(7):6643-6651. doi: 10.1039/d0fo00971g. Epub 2020 Jul 13.
5
Tea polyphenols as multi-target therapeutics for Alzheimer's disease: An in silico study.茶多酚作为阿尔茨海默病的多靶点治疗药物:一项计算机研究。
Med Hypotheses. 2019 Apr;125:94-99. doi: 10.1016/j.mehy.2019.02.035. Epub 2019 Feb 14.
6
Design, synthesis, and biological evaluation of ferulic acid based 1,3,4-oxadiazole hybrids as multifunctional therapeutics for the treatment of Alzheimer's disease.基于阿魏酸的 1,3,4-噁二唑杂合体的设计、合成及生物评价,作为治疗阿尔茨海默病的多效治疗药物。
Bioorg Chem. 2020 Jan;95:103506. doi: 10.1016/j.bioorg.2019.103506. Epub 2019 Dec 17.
7
In Silico Analysis of Green Tea Polyphenols as Inhibitors of AChE and BChE Enzymes in Alzheimer's Disease Treatment.绿茶多酚作为阿尔茨海默病治疗中乙酰胆碱酯酶和丁酰胆碱酯酶抑制剂的计算机模拟分析
CNS Neurol Disord Drug Targets. 2016;15(5):624-8. doi: 10.2174/1871527315666160321110607.
8
Development of Potential Multi-Target Inhibitors for Human Cholinesterases and Beta-Secretase 1: A Computational Approach.人胆碱酯酶和β-分泌酶1潜在多靶点抑制剂的开发:一种计算方法
Pharmaceuticals (Basel). 2023 Nov 28;16(12):1657. doi: 10.3390/ph16121657.
9
Pharmacophore-based drug design of AChE and BChE dual inhibitors as potential anti-Alzheimer's disease agents.基于药效团的 AChE 和 BChE 双重抑制剂的药物设计作为潜在的抗阿尔茨海默病药物。
Bioorg Chem. 2021 Sep;114:105149. doi: 10.1016/j.bioorg.2021.105149. Epub 2021 Jul 7.
10
Amiridine-piperazine hybrids as cholinesterase inhibitors and potential multitarget agents for Alzheimer's disease treatment.阿米定-哌嗪类杂合物作为胆碱酯酶抑制剂和阿尔茨海默病治疗的潜在多靶标药物。
Bioorg Chem. 2021 Jul;112:104974. doi: 10.1016/j.bioorg.2021.104974. Epub 2021 May 21.

引用本文的文献

1
Multi-Target Drug Design in Alzheimer's Disease Treatment: Emerging Technologies, Advantages, Challenges, and Limitations.阿尔茨海默病治疗中的多靶点药物设计:新兴技术、优势、挑战与局限
Pharmacol Res Perspect. 2025 Aug;13(4):e70131. doi: 10.1002/prp2.70131.
2
Structural Bioinformatics Applied to Acetylcholinesterase Enzyme Inhibition.结构生物信息学在乙酰胆碱酯酶抑制中的应用
Int J Mol Sci. 2025 Apr 17;26(8):3781. doi: 10.3390/ijms26083781.
3
Development of Potential Multi-Target Inhibitors for Human Cholinesterases and Beta-Secretase 1: A Computational Approach.

本文引用的文献

1
Identification of potential human beta-secretase 1 inhibitors by hierarchical virtual screening and molecular dynamics.通过层次化虚拟筛选和分子动力学鉴定潜在的人β-分泌酶 1 抑制剂。
J Biomol Struct Dyn. 2023 Jul;41(10):4560-4574. doi: 10.1080/07391102.2022.2069155. Epub 2022 May 1.
2
In silico modeling for dual inhibition of acetylcholinesterase (AChE) and butyrylcholinesterase (BuChE) enzymes in Alzheimer's disease.用于阿尔茨海默病中乙酰胆碱酯酶(AChE)和丁酰胆碱酯酶(BuChE)双重抑制的计算机建模。
Comput Biol Chem. 2020 Oct;88:107355. doi: 10.1016/j.compbiolchem.2020.107355. Epub 2020 Aug 5.
3
Pharmacophore-based virtual screening and molecular docking to identify promising dual inhibitors of human acetylcholinesterase and butyrylcholinesterase.
人胆碱酯酶和β-分泌酶1潜在多靶点抑制剂的开发:一种计算方法
Pharmaceuticals (Basel). 2023 Nov 28;16(12):1657. doi: 10.3390/ph16121657.
基于药效团的虚拟筛选和分子对接鉴定人乙酰胆碱酯酶和丁酰胆碱酯酶双重抑制剂的研究
J Biomol Struct Dyn. 2021 Oct;39(16):6021-6030. doi: 10.1080/07391102.2020.1796791. Epub 2020 Jul 24.
4
Potential inhibitors of the enzyme acetylcholinesterase and juvenile hormone with insecticidal activity: study of the binding mode via docking and molecular dynamics simulations.具有杀虫活性的乙酰胆碱酯酶和保幼激素潜在抑制剂:通过对接和分子动力学模拟研究结合模式。
J Biomol Struct Dyn. 2020 Oct;38(16):4687-4709. doi: 10.1080/07391102.2019.1688192. Epub 2019 Nov 11.
5
Synthesis, biological evaluation and in silico studies of novel N-substituted phthalazine sulfonamide compounds as potent carbonic anhydrase and acetylcholinesterase inhibitors.新型 N-取代酞嗪磺酰胺类化合物的合成、生物评价及计算机模拟研究作为有效的碳酸酐酶和乙酰胆碱酯酶抑制剂。
Bioorg Chem. 2019 Aug;89:103004. doi: 10.1016/j.bioorg.2019.103004. Epub 2019 May 21.
6
Rational Design of Multitarget-Directed Ligands: Strategies and Emerging Paradigms.多靶点导向配体的合理设计:策略和新兴范例。
J Med Chem. 2019 Oct 24;62(20):8881-8914. doi: 10.1021/acs.jmedchem.9b00017. Epub 2019 May 28.
7
Molecular docking studies of coumarin hybrids as potential acetylcholinesterase, butyrylcholinesterase, monoamine oxidase A/B and β-amyloid inhibitors for Alzheimer's disease.香豆素杂化物作为阿尔茨海默病潜在的乙酰胆碱酯酶、丁酰胆碱酯酶、单胺氧化酶A/B和β-淀粉样蛋白抑制剂的分子对接研究。
Chem Cent J. 2018 Dec 4;12(1):128. doi: 10.1186/s13065-018-0497-z.
8
Automated Topology Builder Version 3.0: Prediction of Solvation Free Enthalpies in Water and Hexane.自动化拓扑生成器版本 3.0:水和己烷中溶剂化自由焓的预测。
J Chem Theory Comput. 2018 Nov 13;14(11):5834-5845. doi: 10.1021/acs.jctc.8b00768. Epub 2018 Oct 22.
9
pH-dependent conformational dynamics of beta-secretase 1: A molecular dynamics study.β-分泌酶 1 的 pH 依赖构象动力学:分子动力学研究。
J Mol Recognit. 2019 Mar;32(3):e2765. doi: 10.1002/jmr.2765. Epub 2018 Sep 27.
10
Virtual screening to identify Leishmania braziliensis N-myristoyltransferase inhibitors: pharmacophore models, docking, and molecular dynamics.虚拟筛选以鉴定巴西利什曼原虫N-肉豆蔻酰转移酶抑制剂:药效团模型、对接和分子动力学
J Mol Model. 2018 Aug 29;24(9):260. doi: 10.1007/s00894-018-3791-8.