Suppr超能文献

日本兔戊型肝炎病毒株在人肝癌细胞系 PLC/PRF/5 中的低复制效率。

Low Replication Efficiency of a Japanese Rabbit Hepatitis E Virus Strain in the Human Hepatocarcinoma Cell Line PLC/PRF/5.

机构信息

Department of Virology II, National Institute of Infectious Diseases, Gakuen 4-7-1, Musashi-murayama, Tokyo 208-0011, Japan.

Department of Veterinary Science, National Institute of Infectious Diseases, Toyama 1-23-1, Shinjuku-ku, Tokyo 162-8640, Japan.

出版信息

Viruses. 2023 Jun 5;15(6):1322. doi: 10.3390/v15061322.

Abstract

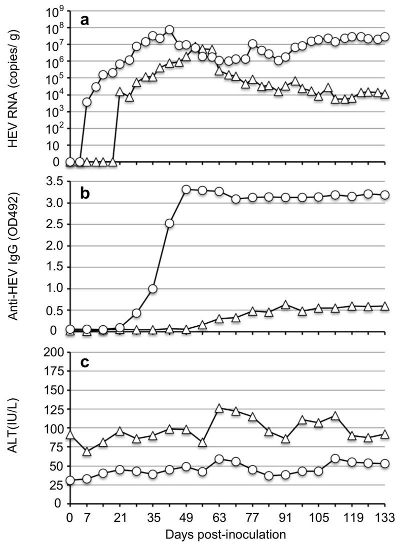
A Japanese rabbit hepatitis E virus (HEV) strain, JP-59, has been identified in a feral rabbit. When this virus was transmitted to a Japanese white rabbit, it caused persistent HEV infection. The JP-59 strain shares an <87.5% nucleotide sequence identity with other rabbit HEV strains. Herein, to isolate JP-59 by cell culture, we used a 10% stool suspension recovered from a JP-59-infected Japanese white rabbit and contained 1.1 × 10 copies/mL of the viral RNA and using it to infect a human hepatocarcinoma cell line, PLC/PRF/5. No sign of virus replication was observed. Although long-term virus replication was observed in PLC/PRF/5 cells inoculated with the concentrated and purified JP-59 containing a high titer of viral RNA (5.1 × 10 copies/mL), the viral RNA of JP-59c that was recovered from the cell culture supernatants was <7.1 × 10 copies/mL during the experiment. The JP-59c strain did not infect PLC/PRF/5 cells, but its intravenous inoculation caused persistent infection in rabbits. The nucleotide sequence analyses of the virus genomes demonstrated that a total of 18 nucleotide changes accompanying three amino acid mutations occurred in the strain JP-59c compared to the original strain JP-59. These results indicate that a high viral RNA titer was required for JP-59 to infect PLC/PRF/5 cells, but its replication capability was extremely low. In addition, the ability of rabbit HEVs to multiply in PLC/PRF/5 cells varied depending on the rabbit HEV strains. The investigations of cell lines that are broadly susceptible to rabbit HEV and that allow the efficient propagation of the virus are thus needed.

摘要

一株分离自野生兔的日本兔戊型肝炎病毒(HEV)株 JP-59 已被鉴定。该病毒感染日本白兔后可导致持续性 HEV 感染。JP-59 株与其他兔 HEV 株的核苷酸序列同源性<87.5%。本研究为了通过细胞培养分离 JP-59,用 10%粪便悬液(从 JP-59 感染的日本白兔粪便中提取,含 1.1×10copies/mL 的病毒 RNA)感染人肝癌细胞株 PLC/PRF/5,但未观察到病毒复制迹象。虽然用浓缩和纯化的 JP-59(含高滴度病毒 RNA,5.1×10copies/mL)接种 PLC/PRF/5 细胞可观察到长期病毒复制,但从细胞培养上清液中回收的 JP-59c 病毒 RNA 仅为<7.1×10copies/mL。JP-59c 株不能感染 PLC/PRF/5 细胞,但静脉接种可导致兔持续性感染。病毒基因组核苷酸序列分析表明,与原始株 JP-59 相比,株 JP-59c 共发生 18 个核苷酸变异,伴随 3 个氨基酸突变。这些结果表明,高病毒 RNA 滴度是 JP-59 感染 PLC/PRF/5 细胞的必要条件,但复制能力极低。此外,兔 HEV 在 PLC/PRF/5 细胞中的增殖能力因株而异。因此,需要研究能够广泛易感兔 HEV 并能有效增殖病毒的细胞系。

https://cdn.ncbi.nlm.nih.gov/pmc/blobs/5ec1/10303493/f258603bb7fa/viruses-15-01322-g001.jpg

文献AI研究员

20分钟写一篇综述,助力文献阅读效率提升50倍。

立即体验

用中文搜PubMed

大模型驱动的PubMed中文搜索引擎

马上搜索

文档翻译

学术文献翻译模型,支持多种主流文档格式。

立即体验