Suppr超能文献

使用AgO/CuO复合材料光催化降解吡虫啉。

Photocatalytic degradation of imidacloprid using AgO/CuO composites.

作者信息

Tariq Saadia Rashid, Niaz Zunaira, Chotana Ghayoor Abbass, Ahmad Dildar, Rafique Nazia

机构信息

Department of Chemistry, Lahore College for Women University Jail Road Lahore 54000 Pakistan

Department of Chemistry and Chemical Engineering, Syed Babar Ali School of Science & Engineering (SBASSE), Lahore University of Management Sciences (LUMS) Lahore 54792 Pakistan.

出版信息

RSC Adv. 2023 Jun 26;13(28):19326-19334. doi: 10.1039/d3ra02109b. eCollection 2023 Jun 22.

Abstract

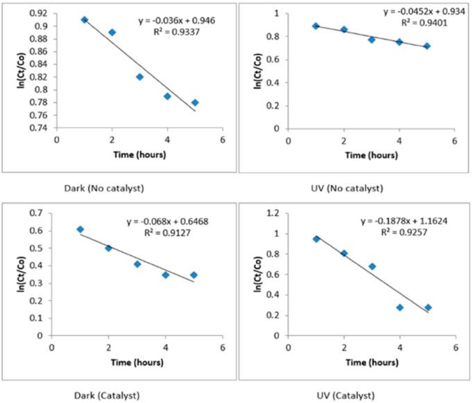
Imidacloprid is one of the most commonly used neonicotinoid pesticides that has been identified as a neurotoxin for various non-target organisms. It binds to the central nervous system of organisms, causing paralysis and eventually death. Thus, it is imperative to treat waterwaters contaminated with imidacloprid using an efficient and cost effective method. The present study presents AgO/CuO composites as excellent catalysts for the photocatalytic degradation of imidacloprid. The AgO/CuO composites were prepared in different compositions by adopting the co-precipitation method and used as a catalyst for the degradation of imidacloprid. The degradation process was monitored using UV-vis spectroscopy. The composition, structure, and morphologies of the composites were determined by FT-IR, XRD, TGA, and SEM analyses. The effect of different parameters time, concentration of pesticide, concentration of catalyst, pH, and temperature on the degradation was studied under UV irradiation and dark conditions. The results of the study evidenced the 92.3% degradation of imidacloprid in only 180 minutes, which was 19.25 hours under natural conditions. The degradation followed first-order kinetics, with the half life of the pesticide being 3.7 hours. Thus, the AgO/CuO composite was an excellent cost-effective catalyst. The non-toxic nature of the material adds further benefits to its use. The stability of the catalyst and its reusability for consecutive cycles make it more cost effective. The use of this material may help to ensure an immidacloprid free environment with minimal use of resources. Moreover, the potential of this material to degrade other environmental pollutants may also be explored.

摘要

吡虫啉是最常用的新烟碱类杀虫剂之一,已被确定为对多种非靶标生物具有神经毒性。它与生物体的中枢神经系统结合,导致麻痹并最终死亡。因此,必须采用一种高效且经济有效的方法来处理受吡虫啉污染的水体。本研究提出氧化银/氧化铜复合材料作为光催化降解吡虫啉的优良催化剂。通过共沉淀法制备了不同组成的氧化银/氧化铜复合材料,并将其用作降解吡虫啉的催化剂。使用紫外可见光谱监测降解过程。通过傅里叶变换红外光谱、X射线衍射、热重分析和扫描电子显微镜分析确定了复合材料的组成、结构和形态。研究了不同参数(时间、农药浓度、催化剂浓度、pH值和温度)在紫外光照射和黑暗条件下对降解的影响。研究结果表明,仅在180分钟内吡虫啉的降解率就达到了92.3%,而在自然条件下这一过程需要19.25小时。降解遵循一级动力学,农药的半衰期为3.7小时。因此,氧化银/氧化铜复合材料是一种优良的经济高效催化剂。该材料的无毒性质为其使用增添了更多优势。催化剂的稳定性及其连续循环的可重复使用性使其更具成本效益。使用这种材料可能有助于确保在资源使用最少的情况下实现无吡虫啉的环境。此外,还可以探索这种材料降解其他环境污染物的潜力。

https://cdn.ncbi.nlm.nih.gov/pmc/blobs/4a2c/10291563/234e1b9634ef/d3ra02109b-f1.jpg

文献AI研究员

20分钟写一篇综述,助力文献阅读效率提升50倍。

立即体验

用中文搜PubMed

大模型驱动的PubMed中文搜索引擎

马上搜索

文档翻译

学术文献翻译模型,支持多种主流文档格式。

立即体验