Suppr超能文献

蛋白质组学和表型研究揭示肺炎支原体大环内酯类耐药突变(A2063G)与 I 型菌株蛋白组成和致病性变化的关系。

Proteomic and Phenotypic Studies of Mycoplasma pneumoniae Revealed Macrolide-Resistant Mutation (A2063G) Associated Changes in Protein Composition and Pathogenicity of Type I Strains.

机构信息

Beijing Tropical Medicine Research Institute, Beijing Friendship Hospital, Capital Medical University, Beijing, China.

Department of Pathogenic Biology, School of Basic Medicine Southwest Medical University, Luzhou, China.

出版信息

Microbiol Spectr. 2023 Aug 17;11(4):e0461322. doi: 10.1128/spectrum.04613-22. Epub 2023 Jun 28.

Abstract

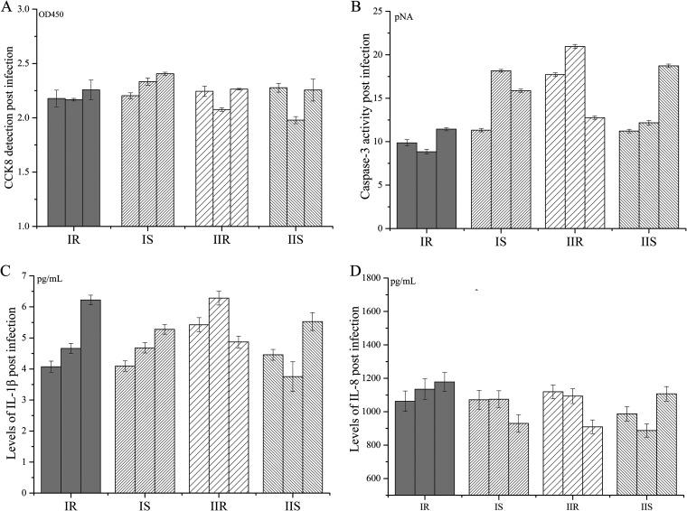
Mycoplasma pneumoniae (MP) is an important respiratory pathogen, the prevalence of macrolide-resistant MP (mainly containing A2063G mutation in 23S rRNA) increased in recent years. Epidemiological studies suggest a higher prevalence of type I resistant (IR) strains than corresponding sensitive (IS/IIS) strains, but not type II resistant (IIR) strains. Here, we aimed to analyze the factors underlying the altered prevalence of IR strains. First, proteomic analyses exhibit the protein compositions were type specific, while more differential proteins were detected between IS and IR (227) than IIS and IIR strains (81). mRNA level detection suggested posttranscriptional regulation of these differential proteins. Differential protein-related phenotypic changes were also detected: (i) P1 abundance was different between genotypes (I < II, IR < IS), the adhesion of MPs showed accordance to P1 abundance within IS and IIS strains; (ii) type I, especially IR, strains had a higher proliferation rate, which is potentially associated with differential proteins participating in glycolysis and one carbon pool metabolisms; (iii) A549 cells infected with IR strains had lower activity of caspase-3 and higher levels IL-8, but the differences were not significant between groups ( > 0.05). Correlations of P1 abundance to caspase-3 activity and proliferation rate to the level of IL-8 were obtained. These results suggest changes in protein composition influenced the pathogenicity of MP, especially in IR strains, which may impact the prevalence of MP strains of different genotypes. The prevalence of macrolide-resistant MPs increased the difficulty in treatment of MP infections and posed potential threats to children's health. Epidemiological studies showed a high prevalence of IR-resistant strains (mainly A2063G in 23S rRNA) in these years. However, the trigger mechanisms for this phenomenon are not clear. In this paper, proteomic and phenotypic studies suggest that IR strains have reduced levels of multiple adhesion proteins and increased proliferation rate, which may lead to higher transmission rate of IR strains in the population. This suggests that we should pay attention to the prevalence of IR strains.

摘要

肺炎支原体(MP)是一种重要的呼吸道病原体,近年来大环内酯类耐药的 MP(主要含有 23S rRNA 中的 A2063G 突变)的流行率有所增加。流行病学研究表明,I 型耐药(IR)株的流行率高于相应的敏感(IS/IIS)株,但 II 型耐药(IIR)株则不然。在这里,我们旨在分析导致 IR 株流行率改变的因素。首先,蛋白质组学分析表明蛋白组成具有型特异性,而在 IS 和 IR 之间(227 种)比在 IIS 和 IIR 株之间(81 种)检测到更多的差异蛋白。mRNA 水平检测表明这些差异蛋白存在转录后调控。还检测到与差异蛋白相关的表型变化:(i)在基因型(I < II,IR < IS)之间 P1 丰度不同,MP 的粘附性与 IS 和 IIS 株内的 P1 丰度一致;(ii)I 型,特别是 IR 型菌株具有更高的增殖率,这可能与参与糖酵解和一碳池代谢的差异蛋白有关;(iii)感染 IR 株的 A549 细胞中 caspase-3 的活性较低,IL-8 水平较高,但组间差异无统计学意义(>0.05)。获得了 P1 丰度与 caspase-3 活性之间的相关性以及增殖率与 IL-8 水平之间的相关性。这些结果表明,蛋白组成的变化影响了 MP 的致病性,特别是在 IR 株中,这可能会影响不同基因型 MP 株的流行率。大环内酯类耐药的 MPs 的流行增加了 MP 感染治疗的难度,并对儿童健康构成潜在威胁。流行病学研究表明,近年来 IR 耐药株(主要是 23S rRNA 中的 A2063G)的流行率很高。然而,这种现象的触发机制尚不清楚。在本文中,蛋白质组学和表型研究表明,IR 株的多种粘附蛋白水平降低,增殖率增加,这可能导致 IR 株在人群中的传播率更高。这表明我们应该注意 IR 株的流行率。

https://cdn.ncbi.nlm.nih.gov/pmc/blobs/ccda/10434051/4f2334ebe576/spectrum.04613-22-f001.jpg

文献AI研究员

20分钟写一篇综述,助力文献阅读效率提升50倍。

立即体验

用中文搜PubMed

大模型驱动的PubMed中文搜索引擎

马上搜索

文档翻译

学术文献翻译模型,支持多种主流文档格式。

立即体验