Suppr超能文献

自噬相关长非编码 RNA 介导的自噬与膀胱移行细胞癌的相互作用。

Crosstalk between autophagy and bladder transitional cell carcinoma by autophagy-related lncRNAs.

机构信息

Special Medical Department, Chongqing General Hospital, Chongqing PR China.

Department of General Surgery, Xinqiao Hospital, Army Medical University, Chongqing, PR China.

出版信息

Medicine (Baltimore). 2023 Jun 30;102(26):e34130. doi: 10.1097/MD.0000000000034130.

Abstract

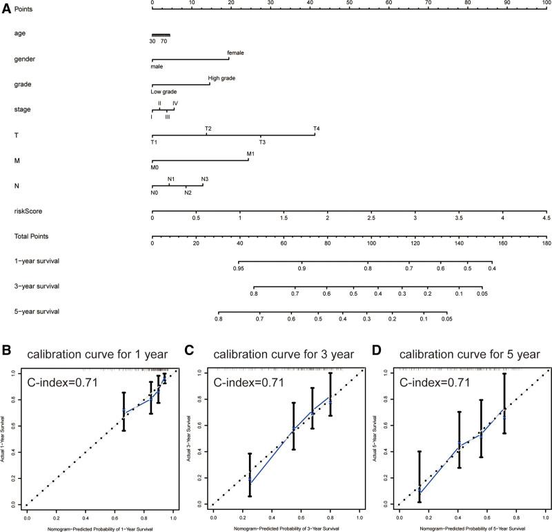
The aim of this study was to investigate the crosstalk between autophagy and bladder transitional cell carcinoma (TCC) by autophagy-related long noncoding RNAs (lncRNAs). A total of 400 TCC patients from The Cancer Genome Atlas were enrolled in this study. We identified the autophagy-related lncRNA expression profile of the TCC patients and then constructed a prognostic signature using the least absolute shrinkage and selection operation and Cox regression. Risk, survival, and independent prognostic analyses were carried out. Receiver operating characteristic curve, nomogram, and calibration curves were explored. Gene Set Enrichment Analysis was employed to verify the enhanced autophagy-related functions. Finally, we compared the signature with several other lncRNA-based signatures. A 9-autophagy-related lncRNA signature was established by least absolute shrinkage and selection operation-Cox regression that was significantly associated with overall survival in TCC. Among them, 8 of the 9 lncRNAs were protective factors while the remaining was a risk factor. The risk scores calculated by the signature showed significant prognostic value in survival analysis between the high- or low-risk groups. The 5-year survival rate for the high-risk group was 26.0% while the rate for the low-risk group was 56.0% (P < .05). Risk score was the only significant risk factor in the multivariate Cox regression survival analysis (P < .001). A nomogram connecting this signature with clinicopathologic characteristics was assembled. To assess the performance of the nomogram, a C-index (0.71) was calculated, which showed great convergence with an ideal model. The Gene Set Enrichment Analysis results demonstrated 2 major autophagy-related pathways were significantly enhanced in TCC. And this signature performed a similar predictive effect as other publications. The crosstalk between autophagy and TCC is significant, and this 9 autophagy-related lncRNA signature is a great predictor of TCC.

摘要

本研究旨在通过自噬相关长链非编码 RNA(lncRNA)研究自噬与膀胱移行细胞癌(TCC)之间的串扰。本研究共纳入 400 名来自癌症基因组图谱的 TCC 患者。我们确定了 TCC 患者的自噬相关 lncRNA 表达谱,然后使用最小绝对收缩和选择操作和 Cox 回归构建了一个预后特征。进行了风险、生存和独立预后分析。探索了接收器工作特性曲线、诺模图和校准曲线。采用基因集富集分析验证增强的自噬相关功能。最后,我们将该特征与其他几种 lncRNA 为基础的特征进行了比较。通过最小绝对收缩和选择操作-Cox 回归建立了一个 9 个自噬相关 lncRNA 特征,该特征与 TCC 的总生存率显著相关。其中,9 个 lncRNA 中有 8 个是保护因素,而其余的是风险因素。特征计算的风险评分在高或低风险组之间的生存分析中显示出显著的预后价值。高风险组的 5 年生存率为 26.0%,而低风险组的生存率为 56.0%(P<.05)。风险评分是多变量 Cox 回归生存分析中唯一的显著风险因素(P<.001)。与临床病理特征相连的诺模图被组装起来。为了评估该诺模图的性能,计算了 C 指数(0.71),该指数与理想模型有很好的一致性。基因集富集分析结果表明,2 个主要的自噬相关途径在 TCC 中显著增强。并且该特征与其他出版物具有相似的预测效果。自噬与 TCC 之间的串扰是显著的,这 9 个自噬相关 lncRNA 特征是 TCC 的一个很好的预测因子。

https://cdn.ncbi.nlm.nih.gov/pmc/blobs/e164/10313302/f5dcb3f1dbd8/medi-102-e34130-g001.jpg

文献AI研究员

20分钟写一篇综述,助力文献阅读效率提升50倍。

立即体验

用中文搜PubMed

大模型驱动的PubMed中文搜索引擎

马上搜索

文档翻译

学术文献翻译模型,支持多种主流文档格式。

立即体验