Suppr超能文献

基于临床信息和影像学结果的恶性导管内乳头状黏液性肿瘤预测:列线图。

Prediction of malignant intraductal papillary mucinous neoplasm: A nomogram based on clinical information and radiological outcomes.

机构信息

Department of Biliopancreatic Surgery, Tongji Hospital of Tongji Medical College of Huazhong University of Science and Technology, Wuhan, China.

出版信息

Cancer Med. 2023 Aug;12(16):16958-16971. doi: 10.1002/cam4.6326. Epub 2023 Jul 11.

Abstract

OBJECTIVE

Clinical practitioners face a significant challenge in maintaining a healthy balance between overtreatment and missed diagnosis in the management of intraductal papillary mucinous neoplasm (IPMN). The current study aimed to identify significant risk factors of malignant IPMN from a series of clinical and radiological parameters that are widely available and noninvasive and develop a method to individually predict the risk of malignant IPMN to improve its management.

METHODS

We retrospectively investigated 168 patients who were pathologically diagnosed with IPMN after individualized pancreatic resection between June, 2012 and December, 2020. Independent predictors determined using both univariate and multivariate analyses to construct a predictive model. The discriminatory power of the nomogram was assessed using the area under the receiver operating characteristic curve (AUC). Decision curve analysis was performed to demonstrate the clinical usefulness of the nomogram. Internal cross validation was performed to assess the validity of the predictive model.

RESULTS

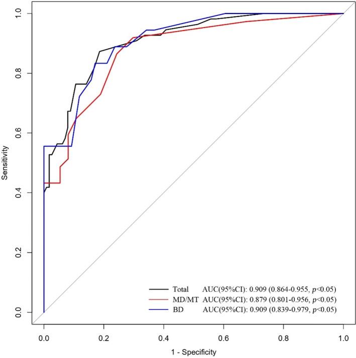
In the multivariate analysis, five significant independent risk factors were identified: increased serum CA19-9 level, low prognostic nutritional index (PNI), cyst size, enhancing mural nodule, and main pancreatic duct diameter. The nomogram based on the parameters mentioned above had outstanding performance in distinguishing malignancy, with an AUC of 0.907 (95% confidence interval: 0.859-0.956, p < 0.05), which remained 0.875 after internal cross-validation, and showed good clinical usefulness.

CONCLUSION

A novel nomogram for predicting malignant IPMN first introducing PNI was developed, which may aid in improving IPMN management. Nevertheless, external validation is required to confirm its efficacy.

摘要

目的

临床医生在处理导管内乳头状黏液性肿瘤(IPMN)时,面临着过度治疗与漏诊之间的平衡难题。本研究旨在从广泛可用且无创的一系列临床和影像学参数中确定恶性 IPMN 的显著危险因素,并建立一种个体预测恶性 IPMN 风险的方法,以改善其管理。

方法

我们回顾性调查了 2012 年 6 月至 2020 年 12 月期间接受个体化胰腺切除术后病理诊断为 IPMN 的 168 例患者。使用单因素和多因素分析确定独立预测因子,构建预测模型。通过受试者工作特征曲线下面积(AUC)评估列线图的判别能力。进行决策曲线分析以展示列线图的临床实用性。内部交叉验证用于评估预测模型的有效性。

结果

多因素分析中,确定了五个显著的独立危险因素:血清 CA19-9 水平升高、低预后营养指数(PNI)、囊肿大小、增强壁结节和主胰管直径。基于上述参数的列线图在区分良恶性方面表现出色,AUC 为 0.907(95%置信区间:0.859-0.956,p<0.05),内部交叉验证后仍为 0.875,且具有良好的临床实用性。

结论

本研究首次引入 PNI 开发了一种用于预测恶性 IPMN 的新型列线图,可能有助于改善 IPMN 的管理。然而,仍需进行外部验证以确认其疗效。

https://cdn.ncbi.nlm.nih.gov/pmc/blobs/4ed8/10501290/f855d5614863/CAM4-12-16958-g002.jpg

文献检索

告别复杂PubMed语法,用中文像聊天一样搜索,搜遍4000万医学文献。AI智能推荐,让科研检索更轻松。

立即免费搜索

文件翻译

保留排版,准确专业,支持PDF/Word/PPT等文件格式,支持 12+语言互译。

免费翻译文档

深度研究

AI帮你快速写综述,25分钟生成高质量综述,智能提取关键信息,辅助科研写作。

立即免费体验