Dipartimento di Psicologia, Università di Bologna, Bologna, Italy.
Centro Studi e Ricerche in Neuroscienze Cognitive, Cesena, Italy.
Exp Brain Res. 2023 Aug;241(8):2057-2067. doi: 10.1007/s00221-023-06661-2. Epub 2023 Jul 14.
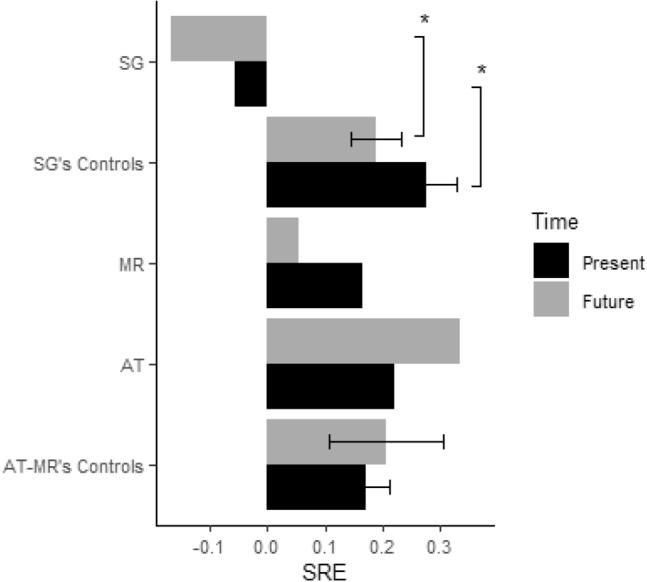
Is retrograde amnesia associated with an ability to know who we are and imagine what we will be like in the future? To answer this question, we had S.G., a patient with focal retrograde amnesia following hypoxia, two brain-damaged (control) patients with no retrograde memory deficits, and healthy controls judge whether each of a series of trait adjectives was descriptive of their present self, future self, another person, and that person in the future, and later recognize studied traits among distractors. Healthy controls and control patients were more accurate in recognizing self-related compared to other-related traits, a phenomenon known as the self-reference effect (SRE). This held for both present and future self-views. By contrast, no evidence of (present or future) SRE was observed in SG, who concomitantly showed reduced certainty about his personality traits. These findings indicate that retrograde amnesia can weaken the self-schema and preclude its instantiation during self-related processing.
逆行性遗忘是否与我们认识自己和想象未来自己的能力有关?为了回答这个问题,我们让 S.G.(一名缺氧导致局部逆行性遗忘的患者)、两名无逆行性记忆缺陷的脑损伤(对照)患者和健康对照者判断一系列特质形容词中,哪些形容词描述了他们现在的自我、未来的自我、另一个人以及未来的那个人,并在之后从干扰项中识别出学习过的特质。健康对照者和对照患者在识别与自我相关的特质时比识别与他人相关的特质更为准确,这种现象称为自我参照效应(SRE)。这既适用于现在的自我观点,也适用于未来的自我观点。相比之下,在 S.G. 中没有观察到(现在或未来的)SRE 的证据,他同时对自己的性格特质表现出较低的确定性。这些发现表明,逆行性遗忘可能会削弱自我图式,并阻止其在与自我相关的处理过程中体现。