Suppr超能文献

血压和降压药对骨关节炎的影响:一项孟德尔随机研究。

Effects of blood pressure and antihypertensive drugs on osteoarthritis: a mendelian randomized study.

机构信息

Department of Traditional Chinese Medicine, Changchun University of Chinese Medicine, Changchun, China.

Department of Orthopedics, Affiliated Hospital of Changchun University of Chinese Medicine, Changchun, China.

出版信息

Aging Clin Exp Res. 2023 Nov;35(11):2437-2444. doi: 10.1007/s40520-023-02530-8. Epub 2023 Aug 21.

Abstract

BACKGROUND

Previous studies have suggested that antihypertensive drugs may play a role in the treatment of osteoarthritis, but these studies may be limited by confounding factors and lead to biased results. Therefore, we conducted a Mendelian randomization study to investigate the effects of blood pressure and antihypertensive drugs on osteoarthritis.

METHODS

We used published large-scale genome-wide association data and applied univariate and multivariate Mendelian randomization methods. The main analysis model was inverse variance weighting, and the reliability of the results was tested using MR-Egger intercept analysis, Cochran's Q test, and leave-one-out analysis. We comprehensively evaluated the relationship between systolic blood pressure, diastolic blood pressure, 12 antihypertensive drugs, and osteoarthritis. We also conducted verification in the independent queue of UK Biobank and built a simple linear regression model to obtain an independent comparison.

RESULTS

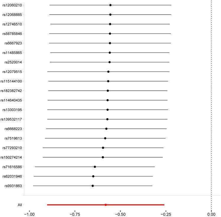
We found no evidence that systolic and diastolic blood pressure significantly affected osteoarthritis. However, among antihypertensive drugs, we observed a significant positive correlation between potassium-preserving diuretics and aldosterone antagonists and all osteoarthritis (OR: 0.560, 95% CI 0.406-0.772, P = 0.0004). Sensitivity analysis showed no horizontal pleiotropy or heterogeneity, and the leave-one-out analysis demonstrated the reliability of the results. This result was replicated with nominally statistical significance in the validation cohort and exhibited significant correlation in the linear regression analysis.

CONCLUSIONS

Our study suggested that controlling the protein targets of potassium-sparing diuretics and aldosterone antagonists may have beneficial results for osteoarthritis. These findings provide valuable medication strategies for the control of hypertension in patients with osteoarthritis.

摘要

背景

先前的研究表明,降压药可能在治疗骨关节炎方面发挥作用,但这些研究可能受到混杂因素的限制,导致结果存在偏倚。因此,我们进行了一项孟德尔随机化研究,以调查血压和降压药对骨关节炎的影响。

方法

我们使用已发表的大规模全基因组关联数据,并应用单变量和多变量孟德尔随机化方法。主要分析模型是逆方差加权,使用 MR-Egger 截距分析、Cochran's Q 检验和逐一剔除分析来测试结果的可靠性。我们综合评估了收缩压、舒张压、12 种降压药与骨关节炎之间的关系。我们还在英国生物库的独立队列中进行了验证,并构建了简单的线性回归模型以获得独立比较。

结果

我们没有发现收缩压和舒张压显著影响骨关节炎的证据。然而,在降压药中,我们观察到保钾利尿剂和醛固酮拮抗剂与所有骨关节炎之间存在显著的正相关(OR:0.560,95%CI 0.406-0.772,P=0.0004)。敏感性分析未发现水平异质性或异质性,逐一剔除分析证明了结果的可靠性。这一结果在验证队列中具有名义统计学意义的复制,并在线性回归分析中表现出显著相关性。

结论

我们的研究表明,控制保钾利尿剂和醛固酮拮抗剂的蛋白靶标可能对骨关节炎有益。这些发现为控制骨关节炎患者的高血压提供了有价值的药物策略。

https://cdn.ncbi.nlm.nih.gov/pmc/blobs/b92e/10627939/912da6c2de3f/40520_2023_2530_Fig1_HTML.jpg

文献AI研究员

20分钟写一篇综述,助力文献阅读效率提升50倍。

立即体验

用中文搜PubMed

大模型驱动的PubMed中文搜索引擎

马上搜索

文档翻译

学术文献翻译模型,支持多种主流文档格式。

立即体验