Suppr超能文献

先天性心脏病手术后小儿气管切开术的结局:20年经验

Outcomes of pediatric tracheostomy after surgery for congenital heart disease: A 20-year experience.

作者信息

Puchi Christopher, Lavin Jennifer, Eltayeb Osama, Billings Kathleen R

机构信息

Department of Otolaryngology-Head and Neck Surgery Northwestern University Feinberg School of Medicine Chicago Illinois USA.

Division of Pediatric Otolaryngology-Head and Neck Surgery Ann & Robert H. Lurie Children's Hospital of Chicago Chicago Illinois USA.

出版信息

Laryngoscope Investig Otolaryngol. 2023 Jun 20;8(4):1124-1130. doi: 10.1002/lio2.1100. eCollection 2023 Aug.

Abstract

OBJECTIVE

Children with congenital heart defects (CHD) requiring cardiovascular surgery (CVS) rarely require tracheostomy placement; however the mortality rate remains high. The study aimed to analyze the incidence of tracheostomy in children with CHD, and to determine factors contributing to postoperative outcomes, decannulation rates, and mortality.

METHODS

Retrospective case series of children ≤18 years old with CHD status post-CVS who underwent tracheostomy placement between January 1, 2001 and December 31, 2020. Variables analyzed included demographic information, presence of comorbidities including prematurity, respiratory diseases, presence of genetic syndromes, decannulation status, type of repair (univentricular vs. biventricular), and need for cardiopulmonary bypass. Adverse events analyzed included all-cause mortality, development of mediastinitis, fatal decannulation, and persistence of tracheocutaneous fistula.

RESULTS

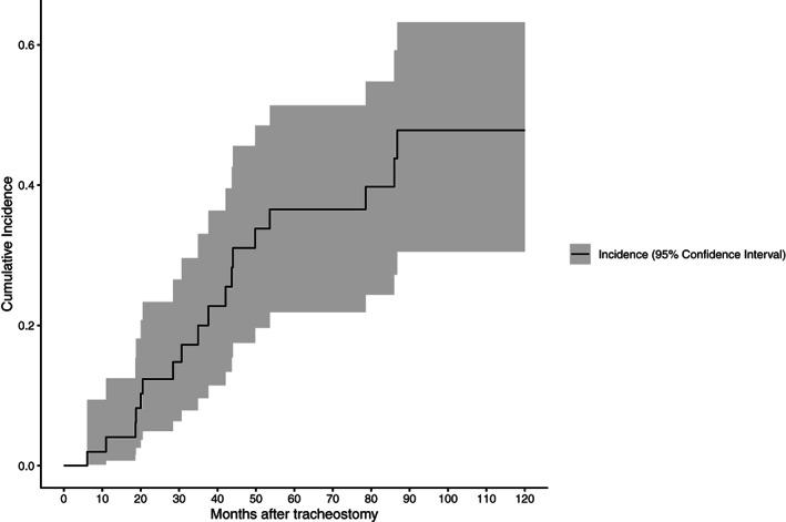
Fifty-one patients were analyzed. The incidence of tracheostomy was 0.8%. Median age at tracheostomy was 5.3 months. The 5-year survival estimate was 56.3% (95% confidence interval 43.6%, 72.6%). Age ≤6 months at the time of tracheostomy placement ( = .03), and the presence of tracheomalacia ( = .04) were factors significantly associated with 5-year survival. Two patients (3.9%) experienced fatal decannulation, and one patient (2.0%) developed postoperative mediastinitis. The 10-year decannulation rate estimate was 47.8% (30.5%, 63.2%). Seven patients (13.7%) had a persistent tracheocutaneous fistula.

CONCLUSIONS

This study corroborates high mortality rates in this population. Factors associated with improved survival were younger age at the time of tracheostomy and presence of tracheomalacia. Decannulation rates were low, but estimates improved over 10 years. Further studies are needed to determine optimal indications and timing for tracheostomy placement in this patient population.

LEVEL OF EVIDENCE

摘要

目的

需要进行心血管手术(CVS)的先天性心脏病(CHD)患儿很少需要气管造口术;然而,死亡率仍然很高。本研究旨在分析CHD患儿气管造口术的发生率,并确定影响术后结局、拔管率和死亡率的因素。

方法

对2001年1月1日至2020年12月31日期间接受气管造口术的18岁及以下CVS术后CHD患儿进行回顾性病例系列研究。分析的变量包括人口统计学信息、合并症情况(包括早产、呼吸系统疾病、遗传综合征)、拔管状态、修复类型(单心室与双心室)以及体外循环需求。分析的不良事件包括全因死亡率、纵隔炎的发生、致命性拔管以及气管皮肤瘘的持续存在。

结果

共分析了51例患者。气管造口术的发生率为0.8%。气管造口术时的中位年龄为5.3个月。5年生存率估计为56.3%(95%置信区间43.6%,72.6%)。气管造口术时年龄≤6个月(P = 0.03)以及存在气管软化(P = 0.04)是与5年生存率显著相关的因素。2例患者(3.9%)发生致命性拔管,1例患者(2.0%)发生术后纵隔炎。10年拔管率估计为47.8%(30.5%,63.2%)。7例患者(13.7%)存在持续性气管皮肤瘘。

结论

本研究证实了该人群的高死亡率。与生存率提高相关的因素是气管造口术时年龄较小以及存在气管软化。拔管率较低,但10年间有所改善。需要进一步研究以确定该患者群体气管造口术的最佳指征和时机。

证据水平

4级。

https://cdn.ncbi.nlm.nih.gov/pmc/blobs/356a/10446305/4da6b808e9fc/LIO2-8-1124-g003.jpg

文献AI研究员

20分钟写一篇综述,助力文献阅读效率提升50倍。

立即体验

用中文搜PubMed

大模型驱动的PubMed中文搜索引擎

马上搜索

文档翻译

学术文献翻译模型,支持多种主流文档格式。

立即体验