Suppr超能文献

解读中重度特应性皮炎患者瘙痒、睡眠和工作生产力之间的关系:JADE MONO-2 的事后分析。

Interpreting the Relationship Among Itch, Sleep, and Work Productivity in Patients with Moderate-to-Severe Atopic Dermatitis: A Post Hoc Analysis of JADE MONO-2.

机构信息

Department of Dermatology, Miami Itch Center, Miami, FL, USA.

SKiN Centre for Dermatology, Peterborough, ON, Canada.

出版信息

Am J Clin Dermatol. 2024 Jan;25(1):127-138. doi: 10.1007/s40257-023-00810-7. Epub 2023 Aug 25.

Abstract

BACKGROUND

Abrocitinib, an oral, once-daily Janus kinase 1-selective inhibitor, improved itch severity, sleep, and work productivity versus placebo in patients with moderate-to-severe atopic dermatitis.

OBJECTIVE

The aim of this study was to investigate relationships among itch, sleep, and work productivity in the phase III JADE MONO-2 clinical trial.

METHODS

A repeated-measures longitudinal model was used to examine relationships between itch (using the Peak Pruritus Numerical Rating Scale [PP-NRS] or Nighttime Itch Scale [NTIS]) and sleep disturbance/loss (using the Patient-Oriented Eczema Measure sleep item and SCORing AD Sleep Loss Visual Analog Scale) and, separately, between itch and work productivity (using the Work Productivity and Activity Impairment-Atopic Dermatitis Version 2.0 questionnaire). Mediation modelling was used to investigate the effect of treatment (abrocitinib vs placebo) on work impairment via improvements in itch and sleep.

RESULTS

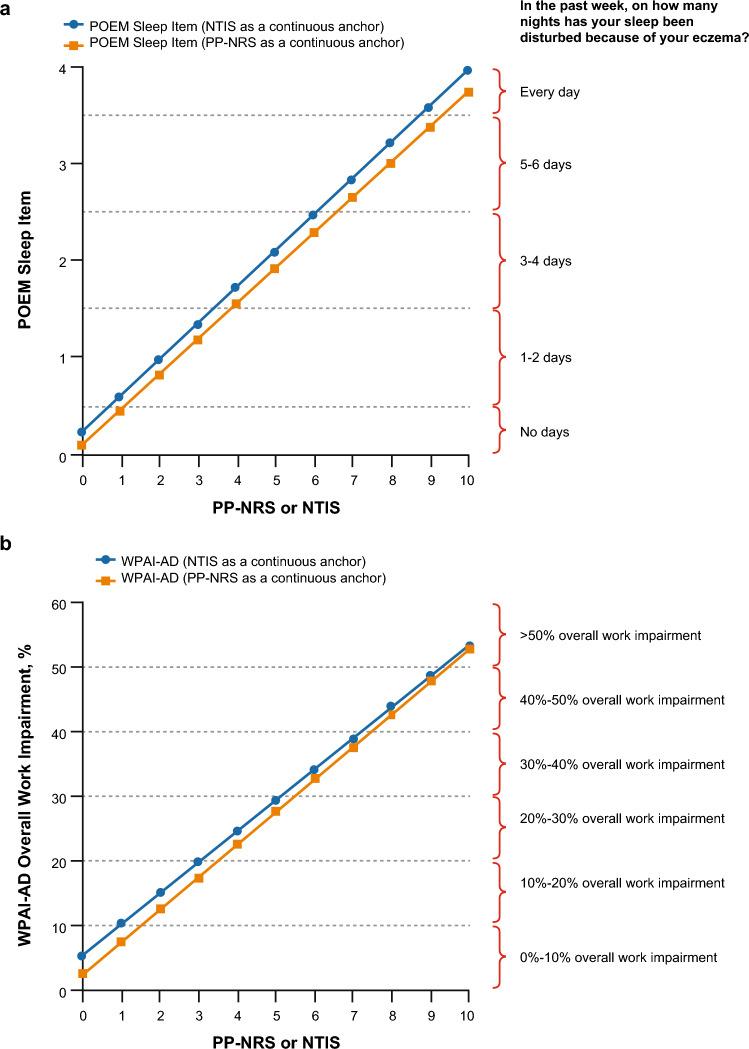
The relationships between itch/sleep and itch/work productivity were approximately linear. PP-NRS scores of 0, 4-6, and 10 were associated with 0 days, 3-4 days, and 7 days per week of disturbed sleep, respectively. PP-NRS or NTIS scores of 0-1, 4-5, and 10 were associated with 0-10%, 20-30%, and >50% overall work impairment, respectively. Seventy-five percent of the effect of abrocitinib on reducing work impairment was indirectly mediated by improvement in itch, followed by sleep.

CONCLUSION

These results quantitatively demonstrate that reducing itch severity is associated with improvements in sleep and work productivity. Empirical evidence for the mechanism of action of abrocitinib showed that itch severity is improved, which reduces sleep loss/sleep disruption and, in turn, improves work productivity.

CLINICAL TRIAL REGISTRATION

NCT03575871.

摘要

背景

阿普司替尼是一种每日口服一次的、选择性的 Janus 激酶 1 抑制剂,与安慰剂相比,可改善中重度特应性皮炎患者的瘙痒严重程度、睡眠和工作效率。

目的

本研究旨在调查 III 期 JADE MONO-2 临床试验中瘙痒、睡眠和工作效率之间的关系。

方法

采用重复测量纵向模型,分别考察瘙痒(采用瘙痒峰值数字评定量表[PP-NRS]或夜间瘙痒量表[NTIS])与睡眠障碍/缺失(采用患者导向的湿疹测量睡眠项和 AD 睡眠缺失视觉模拟量表)之间以及瘙痒与工作效率(采用工作效率和活动障碍-特应性皮炎 2.0 问卷)之间的关系。中介模型用于研究通过改善瘙痒和睡眠对治疗(阿普司替尼与安慰剂)对工作障碍的影响。

结果

瘙痒/睡眠和瘙痒/工作效率之间的关系大致呈线性。PP-NRS 评分为 0、4-6 和 10 时,分别与每周无睡眠障碍、3-4 天和 7 天相关。PP-NRS 或 NTIS 评分为 0-1、4-5 和 10 时,分别与总工作障碍的 0-10%、20-30%和>50%相关。阿普司替尼减少工作障碍的效应中,75%通过改善瘙痒间接介导,其次是睡眠。

结论

这些结果定量表明,减轻瘙痒严重程度与改善睡眠和工作效率有关。阿普司替尼作用机制的实证证据表明,瘙痒严重程度得到改善,从而减少睡眠损失/睡眠中断,进而提高工作效率。

临床试验注册

NCT03575871。

https://cdn.ncbi.nlm.nih.gov/pmc/blobs/4ae2/10796557/7f894ba32c84/40257_2023_810_Fig1_HTML.jpg

文献检索

告别复杂PubMed语法,用中文像聊天一样搜索,搜遍4000万医学文献。AI智能推荐,让科研检索更轻松。

立即免费搜索

文件翻译

保留排版,准确专业,支持PDF/Word/PPT等文件格式,支持 12+语言互译。

免费翻译文档

深度研究

AI帮你快速写综述,25分钟生成高质量综述,智能提取关键信息,辅助科研写作。

立即免费体验