Suppr超能文献

由于辐射相互作用力导致的两个接触气泡的自推进

Self-Propulsion of Two Contacting Bubbles Due to the Radiation Interaction Force.

作者信息

Doinikov Alexander A, Micol Thomas, Mauger Cyril, Blanc-Benon Philippe, Inserra Claude

机构信息

University Lyon, École Centrale de Lyon, INSA de Lyon, CNRS, LMFA UMR 5509, F-69002 Lyon, France.

University Lyon, Université Claude Bernard Lyon 1, Centre Léon Bérard, INSERM, UMR 1032, LabTAU, F-69003 Lyon, France.

出版信息

Micromachines (Basel). 2023 Aug 16;14(8):1615. doi: 10.3390/mi14081615.

Abstract

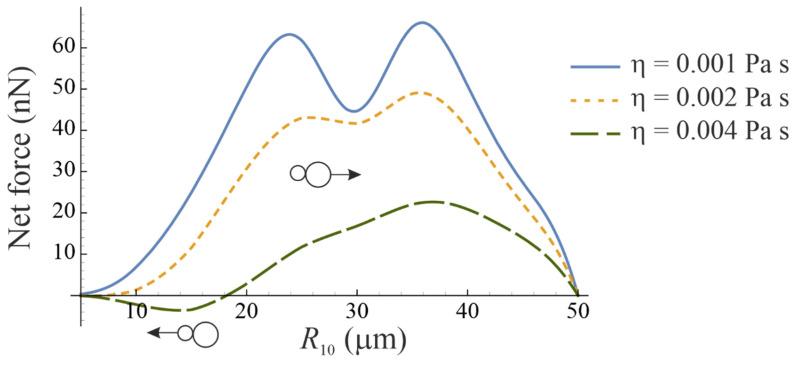
In this paper, we consider a new bubble-based microswimmer composed of two contacting bubbles. Under the action of an acoustic field, both bubbles are oscillating, and locomotion of the two-bubble system is observed. A theory is developed that allows one to calculate the acoustic radiation interaction forces between two gas bubbles in an incompressible viscous liquid for any small separation distance between the bubbles. This theory is used to demonstrate that two acoustically excited bubbles can create a self-propelled microswimmer due to a nonzero net force experienced by the bubbles when they come in contact. Experimental evidence of the creation of such a swimmer and of its motion is provided.

摘要

在本文中,我们考虑一种由两个接触气泡组成的新型基于气泡的微游动器。在声场作用下,两个气泡都在振荡,并观察到双气泡系统的运动。我们提出了一种理论,该理论能够计算不可压缩粘性液体中两个气泡在任意小的分离距离下的声辐射相互作用力。该理论用于证明,当两个受声激发的气泡接触时,由于气泡所经历的非零合力,它们可以形成一个自推进式微游动器。文中提供了这种微游动器的产生及其运动的实验证据。

https://cdn.ncbi.nlm.nih.gov/pmc/blobs/ea62/10456507/49e9c7f22c3f/micromachines-14-01615-g001.jpg

文献AI研究员

20分钟写一篇综述,助力文献阅读效率提升50倍。

立即体验

用中文搜PubMed

大模型驱动的PubMed中文搜索引擎

马上搜索

文档翻译

学术文献翻译模型,支持多种主流文档格式。

立即体验