Suppr超能文献

早期康复护理对脑卒中后偏瘫患者神经功能及生活质量的影响:一项荟萃分析。

Effect of early rehabilitation nursing on neurological function and quality of life of patients with hemiplegia after stroke: A meta-analysis.

机构信息

Department of Rehabilitation Medicine, Nanjing First Hospital, Nanjing Medical University, Nanjing, China.

出版信息

Medicine (Baltimore). 2023 Aug 25;102(34):e34919. doi: 10.1097/MD.0000000000034919.

Abstract

BACKGROUND

Meta-analysis was used to systematically evaluate the effects of early rehabilitation nursing on neurological function and quality of life of patients with hemiplegia after stroke.

METHODS

Literature was searched from PubMed, Web of Science, cochrane library, China National Knowledge Infrastructure, and Wanfang Database. Relevant literature up to 2022 was screened, followed by data extraction and quality evaluation. Next, Stata17.0 was employed for meta-analysis.

RESULTS

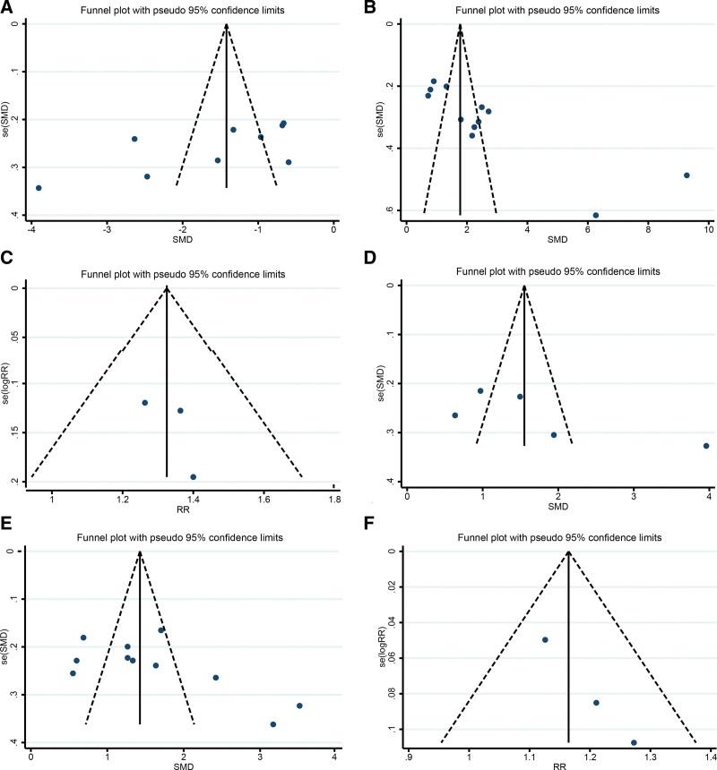
A total of 18 articles, including 1631 subjects, were enrolled in this study. The control group subjects (n = 825) received routine nursing, and the observation group subjects (n = 806) underwent early rehabilitation nursing. The results of meta-analysis showed that early rehabilitation nursing could significantly improve neurological function the National Institute of Health Stroke Scale [standardized mean difference (SMD) = -1.623, 95% confidence interval (CI) (-2.280, -0.967), P < .001], Fugl-Meyer assessment [SMD = 2.688, 95% CI (1.767, 3.608), P < .001], cure rate [relative risk = 1.333, 95% CI (1.138, 1.562), P < .001], quality of life activity of daily living [SMD = 1.784, 95% CI (0.791, 2.777), P < .001], Barthel index [SMD = 1.617, 95% CI (1.138, 2.096), P < .001] and nursing satisfaction [relative risk = 1.191, 95% CI (1.091, 1.300), P < .001] in patients with hemiplegia after stroke. There was no obvious publication bias for the included articles in this research.

CONCLUSION

Compared with the controls, early rehabilitation nursing can effectively improve neurological function and quality of life of patients with hemiplegia after stroke. This study provides a theoretical basis for the clinical application of early rehabilitation nursing in patients with hemiplegia after stroke.

摘要

背景

系统评价用于评估早期康复护理对中风后偏瘫患者神经功能和生活质量的影响。

方法

检索 PubMed、Web of Science、Cochrane 图书馆、中国知网和万方数据库中的文献,筛选出截至 2022 年的相关文献,进行数据提取和质量评价,采用 Stata17.0 进行 meta 分析。

结果

共纳入 18 篇文献,共 1631 例患者。对照组(n=825)接受常规护理,观察组(n=806)接受早期康复护理。meta 分析结果显示,早期康复护理可显著改善神经功能(美国国立卫生研究院卒中量表[标准化均数差(SMD)=-1.623,95%置信区间(CI)(-2.280,-0.967)],P<0.001)、运动功能(Fugl-Meyer 评估[SMD=2.688,95%CI(1.767,3.608)],P<0.001)、痊愈率(相对危险度=1.333,95%CI(1.138,1.562)],P<0.001)、日常生活活动能力(SMD=1.784,95%CI(0.791,2.777)],P<0.001)、Barthel 指数(SMD=1.617,95%CI(1.138,2.096)],P<0.001)和护理满意度(相对危险度=1.191,95%CI(1.091,1.300)],P<0.001)。本研究纳入的文献无明显发表偏倚。

结论

与对照组相比,早期康复护理能有效改善中风后偏瘫患者的神经功能和生活质量,为中风后偏瘫患者早期康复护理的临床应用提供理论依据。

https://cdn.ncbi.nlm.nih.gov/pmc/blobs/2693/10470741/feaef2991eca/medi-102-e34919-g001.jpg

文献AI研究员

20分钟写一篇综述,助力文献阅读效率提升50倍。

立即体验

用中文搜PubMed

大模型驱动的PubMed中文搜索引擎

马上搜索

文档翻译

学术文献翻译模型,支持多种主流文档格式。

立即体验