Suppr超能文献

血小板与血清降钙素原联合对脓毒症患者预后的评估价值。

Prognostic value of platelet combined with serum procalcitonin in patients with sepsis.

机构信息

Department of Critical Care Medicine, Affiliated Hospital of Putian University, Putian City, Fujian Province, China.

Department of Critical Care Medicine, Union Hospital Affiliated to Fujian Medical University, Fuzhou City, Fujian Province, China.

出版信息

Medicine (Baltimore). 2023 Aug 25;102(34):e34953. doi: 10.1097/MD.0000000000034953.

Abstract

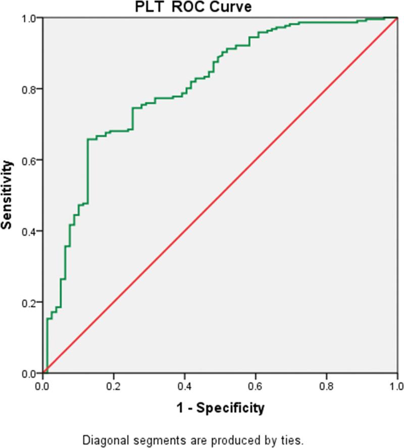
Sepsis, a common and life-threatening condition in critically ill patients, is a leading cause of death in intensive care units. Over the past few decades, there has been significant improvement in the understanding and management of sepsis. However, the mortality rate remains unacceptably high, posing a prominent challenge in modern medicine and a significant global disease burden. A total of 295 patients with sepsis admitted to the hospital from January 2021 to December 2022 were collected and divided into survival group and death group according to their 28-day survival status. The differences in general clinical data and laboratory indicators between the 2 groups were compared. Receiver operating characteristic curve analysis was used to evaluate the predictive value of platelet (PLT) and procalcitonin (PCT) for the prognosis of sepsis patients within 28 days. A total of 295 patients were diagnosed with sepsis, and 79 died, with a mortality rate of 26.78%. The PLT level in the death group was lower than that in the survival group; the PCT level in the death group was higher than that in the survival group. The receiver operating characteristic curve showed that the area under the curve of PCT and PLT for evaluating the prognosis of sepsis patients were 0.808 and 0.804, respectively. Kaplan-Meier survival analysis showed that the 28-day survival rate of the low PLT level group was 19.0% and that of the high PLT level group was 93.1% at the node of 214.97 × 109/L, and the difference between the 2 groups was statistically significant (χ2 = 216.538, P < .001). The 28-day survival rate of the low PCT level group was 93.4% and that of the high PCT level group was 51.7% at the node of 2.85 ng/mL, and the difference between the 2 groups was statistically significant (χ2 = 63.437, P < .001). There was a negative correlation between PCT level and PLT level (r = -0.412, P < .001). Platelet combined with serum procalcitonin detection has high predictive value for judging the 28-day prognosis of sepsis, and it can be used as an index for evaluating the patient's condition and prognosis, and is worthy of clinical promotion and application.

摘要

脓毒症是危重病患者中常见且危及生命的病症,是重症监护病房死亡的主要原因。在过去的几十年中,人们对脓毒症的认识和管理有了显著的提高。然而,死亡率仍然高得不可接受,这是现代医学面临的突出挑战,也是一个重大的全球疾病负担。

收集 2021 年 1 月至 2022 年 12 月期间因脓毒症入院的 295 例患者,根据 28 天的生存状态分为存活组和死亡组。比较两组一般临床资料和实验室指标的差异。采用受试者工作特征曲线分析血小板(PLT)和降钙素原(PCT)对脓毒症患者 28 天预后的预测价值。

共诊断脓毒症 295 例,死亡 79 例,病死率为 26.78%。死亡组 PLT 水平低于存活组,死亡组 PCT 水平高于存活组。受试者工作特征曲线显示,PCT 和 PLT 评估脓毒症患者预后的曲线下面积分别为 0.808 和 0.804。Kaplan-Meier 生存分析显示,PLT 水平低值组 28 天生存率为 19.0%,PLT 水平高值组为 93.1%,节点为 214.97×109/L,两组差异有统计学意义(χ2=216.538,P<0.001)。PCT 水平低值组 28 天生存率为 93.4%,PCT 水平高值组为 51.7%,节点为 2.85ng/ml,两组差异有统计学意义(χ2=63.437,P<0.001)。PCT 水平与 PLT 水平呈负相关(r=-0.412,P<0.001)。

血小板联合血清降钙素原检测对判断脓毒症患者 28 天预后具有较高的预测价值,可作为评估患者病情和预后的指标,值得临床推广应用。

https://cdn.ncbi.nlm.nih.gov/pmc/blobs/3594/10470786/012dddbbe6ab/medi-102-e34953-g001.jpg

文献AI研究员

20分钟写一篇综述,助力文献阅读效率提升50倍。

立即体验

用中文搜PubMed

大模型驱动的PubMed中文搜索引擎

马上搜索

文档翻译

学术文献翻译模型,支持多种主流文档格式。

立即体验