Kim-Thi Phuong, The-Lam Nguyen Tung
Faculty of Electrical and Electronics Engineering, ThuyLoi University, Hanoi, Viet Nam.
IT Department, FPT University, Greenwich Vietnam, Hanoi 11312, Viet Nam.
Heliyon. 2023 Aug 24;9(9):e19450. doi: 10.1016/j.heliyon.2023.e19450. eCollection 2023 Sep.
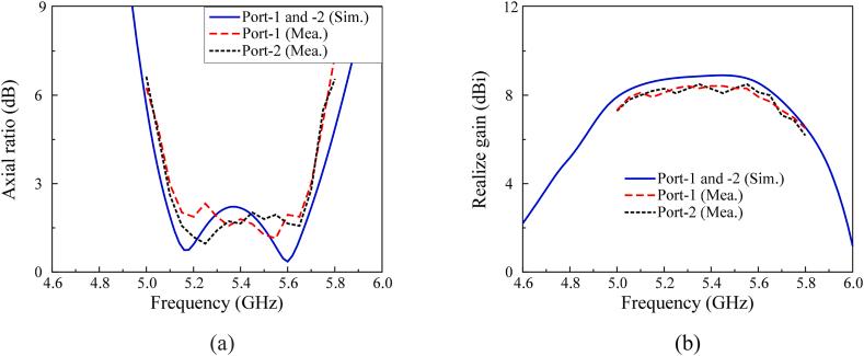
This paper presents a two-element multiple-input multiple-output (MIMO) antenna with circular polarization diversity. The primary radiating elements are two conventional truncated corner microstrip patches. To enhance the antenna's bandwidth, gain, and port isolation, multiple parasitic elements are employed and they are positioned in different layer with the radiating patches. For further isolation improvement, a method of using defected ground structure is employed. The measured results demonstrate that the proposed antenna possesses wideband operation of 9.3% (5.1-5.6 GHz) with the gain of better than 8.0 dBi. Regarding the MIMO performances, the antenna obtains high isolation, which is from 30 to 63 dB. Besides, the MIMO parameters such as envelope correlation coefficient and diversity gain are found to be good in the scale of diversity standards. Compared to other related works, the proposed design has the best operating BW with 40-dB isolation and stable gain while keeping small element spacing.
本文提出了一种具有圆极化分集的双单元多输入多输出(MIMO)天线。主要辐射单元是两个传统的截断角微带贴片。为了提高天线的带宽、增益和端口隔离度,采用了多个寄生单元,它们与辐射贴片位于不同层。为了进一步提高隔离度,采用了一种使用缺陷接地结构的方法。测量结果表明,所提出的天线具有9.3%(5.1 - 5.6 GHz)的宽带工作带宽,增益优于8.0 dBi。关于MIMO性能,该天线具有30至63 dB的高隔离度。此外,发现诸如包络相关系数和分集增益等MIMO参数在分集标准范围内表现良好。与其他相关工作相比,所提出的设计具有最佳的工作带宽、40 dB的隔离度和稳定的增益,同时保持较小的单元间距。