• 文献检索
  • 文档翻译
  • 深度研究
  • 学术资讯
  • Suppr Zotero 插件Zotero 插件
  • 邀请有礼
  • 套餐&价格
  • 历史记录
应用&插件
Suppr Zotero 插件Zotero 插件浏览器插件Mac 客户端Windows 客户端微信小程序
定价
高级版会员购买积分包购买API积分包
服务
文献检索文档翻译深度研究API 文档MCP 服务
关于我们
关于 Suppr公司介绍联系我们用户协议隐私条款
关注我们

Suppr 超能文献

核心技术专利:CN118964589B侵权必究
粤ICP备2023148730 号-1Suppr @ 2026

文献检索

告别复杂PubMed语法,用中文像聊天一样搜索,搜遍4000万医学文献。AI智能推荐,让科研检索更轻松。

立即免费搜索

文件翻译

保留排版,准确专业,支持PDF/Word/PPT等文件格式,支持 12+语言互译。

免费翻译文档

深度研究

AI帮你快速写综述,25分钟生成高质量综述,智能提取关键信息,辅助科研写作。

立即免费体验

中国海口城市绿地与植物多样性的分布格局及驱动因素

Distribution patterns and drivers of urban green space and plant diversity in Haikou, China.

作者信息

Zhang Hai-Li, Guo Lin-Yuan, Nizamani Mir Muhammad, Wang Hua-Feng

机构信息

Sanya Nanfan Research Institute of Hainan University, Hainan Yazhou Bay Seed Laboratory, Hainan University, Sanya, China.

Collaborative Innovation Center of Nanfan and High-Efficiency Tropical Agriculture, School of Tropical Crops, Hainan University, Haikou, China.

出版信息

Front Plant Sci. 2023 Aug 21;14:1202115. doi: 10.3389/fpls.2023.1202115. eCollection 2023.

DOI:10.3389/fpls.2023.1202115
PMID:37670868
原文链接:https://pmc.ncbi.nlm.nih.gov/articles/PMC10476625/
Abstract

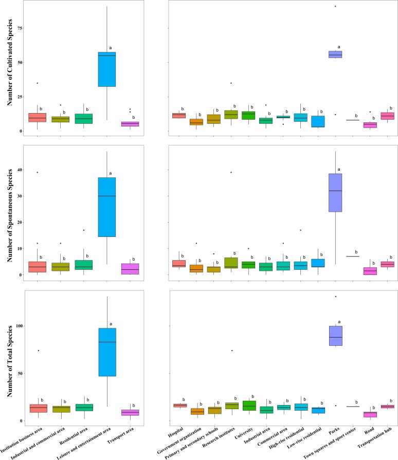
Investigating historical and ongoing changes in urban green space (UGS) and urban plant diversity (UPD) provides critical insights into urban ecology and urban planning development. The present study illuminates some of the transformations which can occur in rapidly developing urban landscapes. In this work, we used 30 m resolution images from the Landsat 5 satellite from 2015 to investigate UGS patterns in Haikou City, China. Metrics of UPD were obtained using field surveys, allowing the proportion of UGS and UPD to be determined in each urban functional unit (UFU) of Haikou. The results revealed that leisure and entertainment areas (such as parks) had the highest diversity, whereas roads and transportation hubs had the lowest. More frequent anthropogenic maintenance had a positive effect on the total number of species, including cultivated, tree, and herb species. Similarly, increased watering frequency had a positive impact on the diversity of cultivated and shrub species. By providing demonstrating a crucial link between UGS and UPD, the results provide valuable information for planning sustainable urban development in Haikou City and other tropical regions. They highlight the important role of UGS in maintaining biodiversity and providing a range of ecosystem services. This research will inform policymakers and urban planners about the need to consider UGS and UPD in urban planning and management process, in order to promote sustainability and conservation of biodiversity.

摘要

调查城市绿地空间(UGS)和城市植物多样性(UPD)的历史变化和持续变化,能为城市生态和城市规划发展提供关键见解。本研究阐明了快速发展的城市景观中可能发生的一些转变。在这项工作中,我们使用了2015年陆地卫星5号分辨率为30米的图像来调查中国海口市的城市绿地空间模式。通过实地调查获得城市植物多样性指标,从而确定海口市每个城市功能单元(UFU)中城市绿地空间和城市植物多样性的比例。结果显示,休闲娱乐区域(如公园)的多样性最高,而道路和交通枢纽的多样性最低。更频繁的人为养护对物种总数有积极影响,包括栽培植物、树木和草本植物物种。同样,浇水频率增加对栽培植物和灌木物种的多样性有积极影响。通过证明城市绿地空间和城市植物多样性之间的关键联系,研究结果为海口市和其他热带地区规划可持续城市发展提供了有价值的信息。它们凸显了城市绿地空间在维护生物多样性和提供一系列生态系统服务方面的重要作用。这项研究将告知政策制定者和城市规划者在城市规划和管理过程中考虑城市绿地空间和城市植物多样性的必要性,以促进可持续发展和生物多样性保护。

https://cdn.ncbi.nlm.nih.gov/pmc/blobs/f481/10476625/34f324d211da/fpls-14-1202115-g007.jpg
https://cdn.ncbi.nlm.nih.gov/pmc/blobs/f481/10476625/9022ec029fca/fpls-14-1202115-g001.jpg
https://cdn.ncbi.nlm.nih.gov/pmc/blobs/f481/10476625/92c168119e00/fpls-14-1202115-g002.jpg
https://cdn.ncbi.nlm.nih.gov/pmc/blobs/f481/10476625/d52175932d0d/fpls-14-1202115-g003.jpg
https://cdn.ncbi.nlm.nih.gov/pmc/blobs/f481/10476625/0de21a4608d0/fpls-14-1202115-g004.jpg
https://cdn.ncbi.nlm.nih.gov/pmc/blobs/f481/10476625/074dc41f7614/fpls-14-1202115-g005.jpg
https://cdn.ncbi.nlm.nih.gov/pmc/blobs/f481/10476625/e59fbe22a3c7/fpls-14-1202115-g006.jpg
https://cdn.ncbi.nlm.nih.gov/pmc/blobs/f481/10476625/34f324d211da/fpls-14-1202115-g007.jpg
https://cdn.ncbi.nlm.nih.gov/pmc/blobs/f481/10476625/9022ec029fca/fpls-14-1202115-g001.jpg
https://cdn.ncbi.nlm.nih.gov/pmc/blobs/f481/10476625/92c168119e00/fpls-14-1202115-g002.jpg
https://cdn.ncbi.nlm.nih.gov/pmc/blobs/f481/10476625/d52175932d0d/fpls-14-1202115-g003.jpg
https://cdn.ncbi.nlm.nih.gov/pmc/blobs/f481/10476625/0de21a4608d0/fpls-14-1202115-g004.jpg
https://cdn.ncbi.nlm.nih.gov/pmc/blobs/f481/10476625/074dc41f7614/fpls-14-1202115-g005.jpg
https://cdn.ncbi.nlm.nih.gov/pmc/blobs/f481/10476625/e59fbe22a3c7/fpls-14-1202115-g006.jpg
https://cdn.ncbi.nlm.nih.gov/pmc/blobs/f481/10476625/34f324d211da/fpls-14-1202115-g007.jpg

相似文献

1
Distribution patterns and drivers of urban green space and plant diversity in Haikou, China.中国海口城市绿地与植物多样性的分布格局及驱动因素
Front Plant Sci. 2023 Aug 21;14:1202115. doi: 10.3389/fpls.2023.1202115. eCollection 2023.
2
Spatiotemporal Variation of Urban Plant Diversity and above Ground Biomass in Haikou, China.中国海口城市植物多样性与地上生物量的时空变化
Biology (Basel). 2022 Dec 14;11(12):1824. doi: 10.3390/biology11121824.
3
Perceptions of ecosystem services, disservices and willingness-to-pay for urban green space conservation.对生态系统服务、非服务以及城市绿地保护支付意愿的认知。
J Environ Manage. 2020 Apr 15;260:110140. doi: 10.1016/j.jenvman.2020.110140. Epub 2020 Jan 21.
4
Changes in urban green space configuration and connectivity using spatial graph-based metrics in Ardabil developing city, Iran.利用基于空间图的度量指标,研究伊朗阿瓦士发展城市的城市绿地配置和连通性变化。
Environ Monit Assess. 2024 Aug 3;196(9):778. doi: 10.1007/s10661-024-12922-6.
5
Positive relationships among aboveground biomass, tree species diversity, and urban greening management in tropical coastal city of Haikou.热带沿海城市海口地上生物量、树种多样性与城市绿化管理之间的正相关关系。
Ecol Evol. 2021 Aug 5;11(17):12204-12219. doi: 10.1002/ece3.7985. eCollection 2021 Sep.
6
[Multi-scale effects of urban landscape pattern on plant diversity in Xuzhou City, Jiangsu Province, China.].[中国江苏省徐州市城市景观格局对植物多样性的多尺度效应。]
Ying Yong Sheng Tai Xue Bao. 2018 Jun;29(6):1813-1821. doi: 10.13287/j.1001-9332.201806.018.
7
Can improving the spatial equity of urban green space mitigate the effect of urban heat islands? An empirical study.改善城市绿地的空间公平性能否缓解城市热岛效应?一项实证研究。
Sci Total Environ. 2022 Oct 1;841:156687. doi: 10.1016/j.scitotenv.2022.156687. Epub 2022 Jun 15.
8
Impact of COVID-19 pandemic on cultural ecosystem services from urban green spaces: a case from English Bazar Urban Agglomeration, Eastern India.新冠疫情对城市绿地文化生态系统服务的影响:来自印度东部英国巴扎尔城市群的案例。
Environ Sci Pollut Res Int. 2023 May;30(24):65933-65946. doi: 10.1007/s11356-023-26919-0. Epub 2023 Apr 24.
9
Environmental, health, wellbeing, social and equity effects of urban green space interventions: A meta-narrative evidence synthesis.城市绿地干预的环境、健康、福利、社会和公平影响:元叙述证据综合。
Environ Int. 2019 Sep;130:104923. doi: 10.1016/j.envint.2019.104923. Epub 2019 Jun 19.
10
How can urban green spaces be planned to mitigate urban heat island effect under different climatic backgrounds? A threshold-based perspective.如何在不同气候背景下规划城市绿地以缓解城市热岛效应?基于阈值的观点。
Sci Total Environ. 2023 Sep 10;890:164422. doi: 10.1016/j.scitotenv.2023.164422. Epub 2023 May 24.

本文引用的文献

1
EVI and NDVI as proxies for multifaceted avian diversity in urban areas.EVI 和 NDVI 作为城市中多方面鸟类多样性的代表。
Ecol Appl. 2023 Apr;33(3):e2808. doi: 10.1002/eap.2808. Epub 2023 Feb 9.
2
Mapping essential urban land use categories in China (EULUC-China): preliminary results for 2018.中国基本城市土地利用类别测绘(EULUC-中国):2018年初步结果
Sci Bull (Beijing). 2020 Feb 15;65(3):182-187. doi: 10.1016/j.scib.2019.12.007. Epub 2019 Dec 10.
3
Evaluating the importance of urban green spaces: a spatial analysis of citizens' perceptions in Thessaloniki.
评估城市绿地的重要性:塞萨洛尼基市民认知的空间分析
EuroMediterr J Environ Integr. 2022;7(2):299-308. doi: 10.1007/s41207-022-00300-y. Epub 2022 Apr 12.
4
Community-Level Urban Green Space Equity Evaluation Based on Spatial Design Network Analysis (sDNA): A Case Study of Central Wuhan, China.基于空间设计网络分析(sDNA)的社区级城市绿地公平性评价——以中国武汉中心区为例。
Int J Environ Res Public Health. 2021 Sep 28;18(19):10174. doi: 10.3390/ijerph181910174.
5
Positive relationships among aboveground biomass, tree species diversity, and urban greening management in tropical coastal city of Haikou.热带沿海城市海口地上生物量、树种多样性与城市绿化管理之间的正相关关系。
Ecol Evol. 2021 Aug 5;11(17):12204-12219. doi: 10.1002/ece3.7985. eCollection 2021 Sep.
6
Global agricultural economic water scarcity.全球农业经济用水短缺。
Sci Adv. 2020 Apr 29;6(18):eaaz6031. doi: 10.1126/sciadv.aaz6031. eCollection 2020 May.
7
Environmental, health, wellbeing, social and equity effects of urban green space interventions: A meta-narrative evidence synthesis.城市绿地干预的环境、健康、福利、社会和公平影响:元叙述证据综合。
Environ Int. 2019 Sep;130:104923. doi: 10.1016/j.envint.2019.104923. Epub 2019 Jun 19.
8
Forest fragmentation in China and its effect on biodiversity.中国的森林破碎化及其对生物多样性的影响。
Biol Rev Camb Philos Soc. 2019 Oct;94(5):1636-1657. doi: 10.1111/brv.12519. Epub 2019 May 6.
9
The Relationship between Social Cohesion and Urban Green Space: An Avenue for Health Promotion.社会凝聚力与城市绿地之间的关系:促进健康的途径。
Int J Environ Res Public Health. 2019 Feb 4;16(3):452. doi: 10.3390/ijerph16030452.
10
Explaining people's perceptions of invasive alien species: A conceptual framework.解释人们对入侵外来物种的认知:一个概念框架。
J Environ Manage. 2019 Jan 1;229:10-26. doi: 10.1016/j.jenvman.2018.04.045. Epub 2018 Aug 2.