• 文献检索
  • 文档翻译
  • 深度研究
  • 学术资讯
  • Suppr Zotero 插件Zotero 插件
  • 邀请有礼
  • 套餐&价格
  • 历史记录
应用&插件
Suppr Zotero 插件Zotero 插件浏览器插件Mac 客户端Windows 客户端微信小程序
定价
高级版会员购买积分包购买API积分包
服务
文献检索文档翻译深度研究API 文档MCP 服务
关于我们
关于 Suppr公司介绍联系我们用户协议隐私条款
关注我们

Suppr 超能文献

核心技术专利:CN118964589B侵权必究
粤ICP备2023148730 号-1Suppr @ 2026

文献检索

告别复杂PubMed语法,用中文像聊天一样搜索,搜遍4000万医学文献。AI智能推荐,让科研检索更轻松。

立即免费搜索

文件翻译

保留排版,准确专业,支持PDF/Word/PPT等文件格式,支持 12+语言互译。

免费翻译文档

深度研究

AI帮你快速写综述,25分钟生成高质量综述,智能提取关键信息,辅助科研写作。

立即免费体验

含块状长周期堆垛有序(LPSO)相和不含块状LPSO相的Mg-Gd-Y-Zn合金的热变形行为及特性比较

Comparison of Thermal Deformation Behavior and Characteristics of Mg-Gd-Y-Zn Alloys with and without Bulk LPSO Phase.

作者信息

Chen Dongjie, Wang Qi, Zhang Liang, Li Ting, Yuan Jiawei, Shi Guoliang, Wang Xinyu, Zhang Kui, Li Yongjun

机构信息

School of Architecture and Civil Engineering, Huanghuai University, Zhumadian 463000, China.

Guobiao (Beijing) Testing & Certification Co., Ltd., Beijing 100088, China.

出版信息

Materials (Basel). 2023 Aug 30;16(17):5943. doi: 10.3390/ma16175943.

DOI:10.3390/ma16175943
PMID:37687637
原文链接:https://pmc.ncbi.nlm.nih.gov/articles/PMC10488359/
Abstract

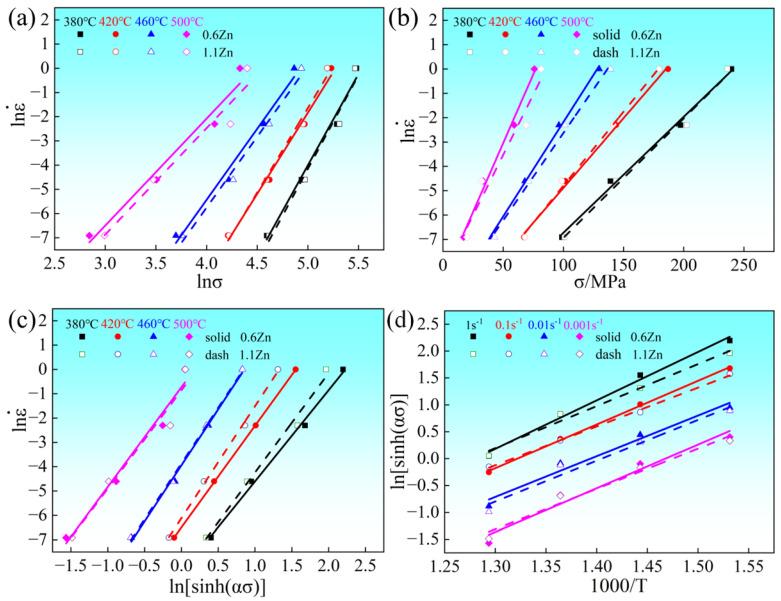
Alloys Mg-8Gd-4Y-0.6Zn-0.5Zr (referred to as 0.6Zn) without the bulk long-period stacking ordered (LPSO) phase and Mg-8Gd-4Y-1.1Zn-0.5Zr (referred to as 1.1Zn) containing the bulk LPSO phase were prepared and a series of hot compression tests were conducted to examine and evaluate the influence of the bulk LPSO phase on the thermal deformation behavior and characteristics of the Mg-Gd-Y-Zn-Zr alloy. The bulk LPSO phase affects the dynamic recrystallization behavior, resulting in differences in flow stress between two alloys under different conditions. Specifically, in the temperature range of 380460 °C, compression at lower strain rates is beneficial for the LPSO phase to promote dynamic recrystallization, while compression at a high strain rate inhibits the dynamic recrystallization due to the severe deformation of the bulk LPSO phase to release the stress concentration instead. The increase in temperature helps the LPSO promote dynamic recrystallization. As a result, the LPSO phase promotes dynamic recrystallization at all experimental strain rates at 500 °C. Furthermore, the thermal processing maps of the 0.6Zn and 1.1Zn alloys are established, and their optimal processing windows are located at 500 °C/0.0010.01 s and 500 °C/0.01 s, respectively. In addition, the instability zones for the 1.1Zn alloy are much larger than that for the 0.6Zn alloy, which corresponds to the microcracks generated at the interfaces between α-Mg and bulk LPSO phases.

摘要

制备了不含大量长周期堆垛有序(LPSO)相的Mg-8Gd-4Y-0.6Zn-0.5Zr合金(简称0.6Zn)和含有大量LPSO相的Mg-8Gd-4Y-1.1Zn-0.5Zr合金(简称1.1Zn),并进行了一系列热压缩试验,以研究和评估大量LPSO相对Mg-Gd-Y-Zn-Zr合金热变形行为及特性的影响。大量LPSO相影响动态再结晶行为,导致两种合金在不同条件下的流变应力存在差异。具体而言,在380460 °C温度范围内,较低应变速率下的压缩有利于LPSO相促进动态再结晶,而高应变速率下的压缩则由于大量LPSO相的严重变形以释放应力集中而抑制动态再结晶。温度升高有助于LPSO相促进动态再结晶。因此,在500 °C时,LPSO相在所有实验应变速率下均促进动态再结晶。此外,建立了0.6Zn和1.1Zn合金的热加工图,它们的最佳加工窗口分别位于500 °C/0.0010.01 s和500 °C/0.01 s。此外,1.1Zn合金的不稳定区比0.6Zn合金的大得多,这与α-Mg和大量LPSO相界面处产生的微裂纹相对应。

https://cdn.ncbi.nlm.nih.gov/pmc/blobs/8587/10488359/1d27df2d4c75/materials-16-05943-g011.jpg
https://cdn.ncbi.nlm.nih.gov/pmc/blobs/8587/10488359/0bfd76bb28d4/materials-16-05943-g001.jpg
https://cdn.ncbi.nlm.nih.gov/pmc/blobs/8587/10488359/3500da4c7965/materials-16-05943-g002.jpg
https://cdn.ncbi.nlm.nih.gov/pmc/blobs/8587/10488359/add0a4be8aad/materials-16-05943-g003.jpg
https://cdn.ncbi.nlm.nih.gov/pmc/blobs/8587/10488359/f6b992647b31/materials-16-05943-g004.jpg
https://cdn.ncbi.nlm.nih.gov/pmc/blobs/8587/10488359/400e9e6ed1a8/materials-16-05943-g005.jpg
https://cdn.ncbi.nlm.nih.gov/pmc/blobs/8587/10488359/dd92674932ad/materials-16-05943-g006.jpg
https://cdn.ncbi.nlm.nih.gov/pmc/blobs/8587/10488359/a054320d8eef/materials-16-05943-g007.jpg
https://cdn.ncbi.nlm.nih.gov/pmc/blobs/8587/10488359/9f932c518631/materials-16-05943-g008.jpg
https://cdn.ncbi.nlm.nih.gov/pmc/blobs/8587/10488359/4b955564446d/materials-16-05943-g009.jpg
https://cdn.ncbi.nlm.nih.gov/pmc/blobs/8587/10488359/7276b8530459/materials-16-05943-g010.jpg
https://cdn.ncbi.nlm.nih.gov/pmc/blobs/8587/10488359/1d27df2d4c75/materials-16-05943-g011.jpg
https://cdn.ncbi.nlm.nih.gov/pmc/blobs/8587/10488359/0bfd76bb28d4/materials-16-05943-g001.jpg
https://cdn.ncbi.nlm.nih.gov/pmc/blobs/8587/10488359/3500da4c7965/materials-16-05943-g002.jpg
https://cdn.ncbi.nlm.nih.gov/pmc/blobs/8587/10488359/add0a4be8aad/materials-16-05943-g003.jpg
https://cdn.ncbi.nlm.nih.gov/pmc/blobs/8587/10488359/f6b992647b31/materials-16-05943-g004.jpg
https://cdn.ncbi.nlm.nih.gov/pmc/blobs/8587/10488359/400e9e6ed1a8/materials-16-05943-g005.jpg
https://cdn.ncbi.nlm.nih.gov/pmc/blobs/8587/10488359/dd92674932ad/materials-16-05943-g006.jpg
https://cdn.ncbi.nlm.nih.gov/pmc/blobs/8587/10488359/a054320d8eef/materials-16-05943-g007.jpg
https://cdn.ncbi.nlm.nih.gov/pmc/blobs/8587/10488359/9f932c518631/materials-16-05943-g008.jpg
https://cdn.ncbi.nlm.nih.gov/pmc/blobs/8587/10488359/4b955564446d/materials-16-05943-g009.jpg
https://cdn.ncbi.nlm.nih.gov/pmc/blobs/8587/10488359/7276b8530459/materials-16-05943-g010.jpg
https://cdn.ncbi.nlm.nih.gov/pmc/blobs/8587/10488359/1d27df2d4c75/materials-16-05943-g011.jpg

相似文献

1
Comparison of Thermal Deformation Behavior and Characteristics of Mg-Gd-Y-Zn Alloys with and without Bulk LPSO Phase.含块状长周期堆垛有序(LPSO)相和不含块状LPSO相的Mg-Gd-Y-Zn合金的热变形行为及特性比较
Materials (Basel). 2023 Aug 30;16(17):5943. doi: 10.3390/ma16175943.
2
Effects of Bulk LPSO Phases on Mechanical Properties and Fracture Behavior of As-Extruded Mg-Gd-Y-Zn-Zr Alloys.块状长周期堆垛有序(LPSO)相 对挤压态Mg-Gd-Y-Zn-Zr合金力学性能及断裂行为的影响
Materials (Basel). 2023 Nov 21;16(23):7258. doi: 10.3390/ma16237258.
3
Effect of Deformation Parameters on Recrystallization Behavior and Long-Period Stacking-Ordered Phase of Mg-9Gd-4Y-2Zn-0.5Zr Alloy.变形参数对Mg-9Gd-4Y-2Zn-0.5Zr合金再结晶行为及长周期堆垛有序相的影响
Materials (Basel). 2022 Feb 28;15(5):1822. doi: 10.3390/ma15051822.
4
Hot Deformation Behavior of Homogenized Mg-13.5Gd-3.2Y-2.3Zn-0.5Zr Alloy via Hot Compression Tests.通过热压缩试验研究均匀化Mg-13.5Gd-3.2Y-2.3Zn-0.5Zr合金的热变形行为
Materials (Basel). 2018 Nov 14;11(11):2282. doi: 10.3390/ma11112282.
5
The Role of Long Period Stacking Ordered Phase in Dynamic Recrystallization of a Mg-Gd-Y-Zn-Zr Alloy during Multi-Directional Forging Process.长周期堆垛有序相在Mg-Gd-Y-Zn-Zr合金多向锻造过程动态再结晶中的作用
Materials (Basel). 2020 Jul 24;13(15):3290. doi: 10.3390/ma13153290.
6
Influence of Long-Period Stacked Ordered Phases on Inductive Impedance of Mg-Gd-Y-Zn-Zr-Ag Alloys.长周期堆积有序相对Mg-Gd-Y-Zn-Zr-Ag合金感应阻抗的影响
Materials (Basel). 2023 Jan 9;16(2):640. doi: 10.3390/ma16020640.
7
Gd Added Mg Alloy for Biodegradable Implant Applications.添加钆的镁合金用于可生物降解植入物应用。
J Biomed Mater Res B Appl Biomater. 2024 Sep;112(9):e35474. doi: 10.1002/jbm.b.35474.
8
Effect of Zn Addition on the Microstructure, Mechanical Properties, and Fracture Behavior of As-Cast Mg-Gd-Y-Zr Alloys.添加锌对铸态Mg-Gd-Y-Zr合金微观结构、力学性能及断裂行为的影响
Materials (Basel). 2023 Mar 29;16(7):2720. doi: 10.3390/ma16072720.
9
Microstructure Evolution and Dynamic Recrystallization Behavior of Mg-Gd-Y-Zn-Zr Alloy during Rotating Backward Extrusion.Mg-Gd-Y-Zn-Zr合金在反向旋转挤压过程中的微观组织演变及动态再结晶行为
Materials (Basel). 2022 Jan 29;15(3):1057. doi: 10.3390/ma15031057.
10
The Formation of 14H-LPSO in Mg-9Gd-2Y-2Zn-0.5Zr Alloy during Heat Treatment.Mg-9Gd-2Y-2Zn-0.5Zr合金在热处理过程中14H-LPSO相的形成
Materials (Basel). 2021 Oct 2;14(19):5758. doi: 10.3390/ma14195758.

引用本文的文献

1
Effects of Bulk LPSO Phases on Mechanical Properties and Fracture Behavior of As-Extruded Mg-Gd-Y-Zn-Zr Alloys.块状长周期堆垛有序(LPSO)相 对挤压态Mg-Gd-Y-Zn-Zr合金力学性能及断裂行为的影响
Materials (Basel). 2023 Nov 21;16(23):7258. doi: 10.3390/ma16237258.
2
The Development of a High-Strength Mg-10.3Gd-4.4Y-0.9Zn-0.7Mn Alloy Subjected to Large Differential-Thermal Extrusion and Isothermal Aging.经大温差热挤压和等温时效处理的高强度Mg-10.3Gd-4.4Y-0.9Zn-0.7Mn合金的研制
Materials (Basel). 2023 Sep 7;16(18):6103. doi: 10.3390/ma16186103.

本文引用的文献

1
Modification of the Tensile Performance of an Extruded ZK60 Magnesium Alloy with the Addition of Rare Earth Elements.添加稀土元素对挤压ZK60镁合金拉伸性能的改性
Materials (Basel). 2023 Apr 2;16(7):2828. doi: 10.3390/ma16072828.
2
Dynamic Constitutive Relationship of Mg-Gd-Y-Zr-Ag Alloy during High Temperature Deformation Process.Mg-Gd-Y-Zr-Ag合金高温变形过程中的动态本构关系
Materials (Basel). 2023 Mar 24;16(7):2587. doi: 10.3390/ma16072587.
3
Novel Ultrafine-Grain Mg-Gd/Nd-Y-Ca Alloys with an Increased Ignition Temperature.
具有提高的着火温度的新型超细晶粒镁-钆/钕-钇-钙合金
Materials (Basel). 2023 Feb 3;16(3):1299. doi: 10.3390/ma16031299.
4
Estimation of mechanical properties of Mg-5Zn-0.5Al-xSn alloy based on virtual crystal approximation.基于虚拟晶体近似法对Mg-5Zn-0.5Al-xSn合金力学性能的估算
Heliyon. 2022 Oct 26;8(10):e11224. doi: 10.1016/j.heliyon.2022.e11224. eCollection 2022 Oct.