Suppr超能文献

藤本植物多样性纬度格局背后的功能机制:冻融栓塞降低了藤本植物物种的生态表现。

The functional mechanism behind the latitudinal pattern of liana diversity: Freeze-thaw embolism reduces the ecological performance of liana species.

作者信息

Lobos-Catalán Paulina, Jiménez-Castillo Mylthon

机构信息

Instituto de Ciencias Ambientales y Evolutivas Universidad Austral de Chile Valdivia Chile.

出版信息

Ecol Evol. 2023 Sep 19;13(9):e10486. doi: 10.1002/ece3.10486. eCollection 2023 Sep.

Abstract

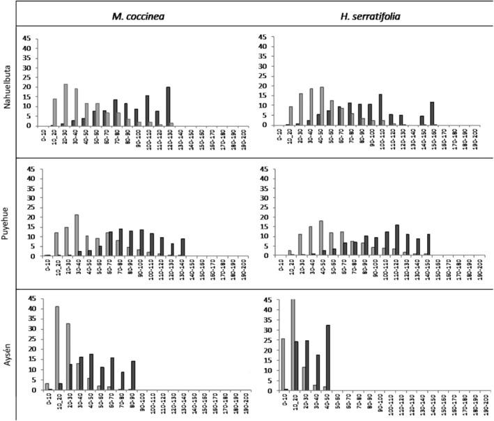
There is a strong decrease in liana diversity along latitudinal and altitudinal gradients at a global scale, and there is a marked difference in liana diversity between tropical and temperate ecosystems. From these observations, it has been proposed that cold temperatures would restrict the ecological patterns of liana because of their vascular system's vulnerability to freeze-thaw embolism. Our objective was to establish the functional mechanism that drives the loss of liana diversity along a latitudinal temperature gradient. We evaluate the ecological performance of liana in 10 different species based on the apical growth rate, as well as functional traits associated with efficiency (maximum hydraulic conductivity and percentage conductivity lost) and safety of water transport (vessel diameter, vessel density, wood density, and root pressure). We found that at the colder (more southern) site within the latitudinal gradient, liana species showed lower performance, with a fivefold decrease in their apical growth rate as compared to the warmer (more northern) sites. We postulate that this lower performance results from a much lower water transport efficiency (26.1-fold decrease as compared to liana species that inhabit warmer sites) that results from higher freeze-thaw (37.5% of PLC) and reduction of vessel diameter (3 times narrower). These results are unmistakable evidence that cold temperature restricts liana performance: in a cold environment, liana species exhibit a strong decrease in performance, low efficiency, and higher safety of water transport. Conversely, at warmer sites, we found that liana species exhibit functional strategies associated with higher performance, higher efficiency, and lower safety of water transport capacity. This trade-off between efficiency and safety of water transport and their effects on performance could explain the latitudinal pattern of liana diversity.

摘要

在全球范围内,藤本植物的多样性沿着纬度和海拔梯度大幅下降,并且热带和温带生态系统之间藤本植物的多样性存在显著差异。基于这些观察结果,有人提出低温会限制藤本植物的生态模式,因为它们的维管系统易受冻融栓塞的影响。我们的目标是确定驱动藤本植物多样性沿纬度温度梯度丧失的功能机制。我们根据顶端生长速率以及与效率(最大水力传导率和传导率损失百分比)和水分运输安全性(导管直径、导管密度、木材密度和根压)相关的功能性状,评估了10种不同藤本植物的生态表现。我们发现,在纬度梯度内较寒冷(更靠南)的地点,藤本植物物种的表现较低,其顶端生长速率与较温暖(更靠北)的地点相比下降了五倍。我们推测,这种较低的表现是由于水分运输效率低得多(与生活在较温暖地点的藤本植物物种相比下降了26.1倍)导致的,而这又是由更高频率的冻融(37.5%的PLC)和导管直径减小(窄3倍)造成的。这些结果明确证明低温限制了藤本植物的表现:在寒冷环境中,藤本植物物种表现出性能大幅下降、效率低下以及水分运输安全性更高。相反,在较温暖的地点,我们发现藤本植物物种表现出与更高性能、更高效率和更低水分运输能力安全性相关的功能策略。水分运输效率和安全性之间的这种权衡及其对性能的影响可以解释藤本植物多样性的纬度模式。

https://cdn.ncbi.nlm.nih.gov/pmc/blobs/d05b/10509155/facf24168d27/ECE3-13-e10486-g002.jpg

文献AI研究员

20分钟写一篇综述,助力文献阅读效率提升50倍。

立即体验

用中文搜PubMed

大模型驱动的PubMed中文搜索引擎

马上搜索

文档翻译

学术文献翻译模型,支持多种主流文档格式。

立即体验