Suppr超能文献

血管性血友病因子调节免疫复合物,并在小鼠血友病 A 模型中引发针对因子 VIII 的回忆反应。

von Willebrand factor modulates immune complexes and the recall response against factor VIII in a murine hemophilia A model.

机构信息

Department of Hematology, Hemostasis, Oncology and Stem Cell Transplantation, Hannover Medical School, Hannover, Germany.

Research Core Unit Electron Microscopy, Institute of Functional and Applied Anatomy, Hannover Medical School, Hannover, Germany.

出版信息

Blood Adv. 2023 Nov 14;7(21):6771-6781. doi: 10.1182/bloodadvances.2023010388.

Abstract

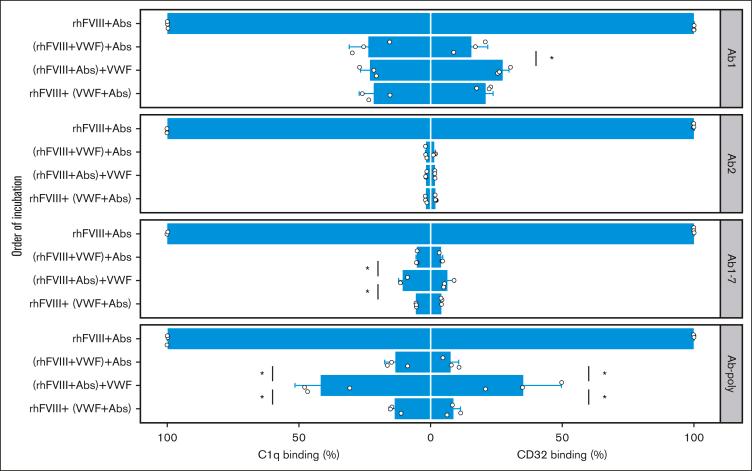
Achieving tolerance toward factor VIII (FVIII) remains an important goal of hemophilia treatment. Up to 40% of patients with severe hemophilia A (HA) develop neutralizing antibodies against FVIII, and the only proven treatment to achieve tolerance is infusion of FVIII over prolonged periods in the context of immune tolerance induction. Here, we addressed the role of von Willebrand factor (VWF) as a modulator of anti-FVIII antibody effector functions and the FVIII-specific recall response in an HA mouse model. Analytical ultracentrifugation was used to demonstrate formation of FVIII-containing immune complexes (FVIII-ICs). VWF did not fully prevent FVIII-IC formation but was rather incorporated into larger macromolecular complexes. VWF prevented binding of FVIII-ICs to complement C1q, most efficiently when it was preincubated with FVIII before the addition of antibodies. It also prevented binding to immobilized Fc-γ receptor and to bone marrow-derived dendritic cells. An in vitro model of the anti-FVIII recall response demonstrated that addition of VWF to FVIII abolished the proliferation of FVIII-specific antibody-secreting cells. After adoptive transfer of sensitized splenocytes into immunocompetent HA mice, the FVIII recall response was diminished by VWF. In summary, these data indicate that VWF modulates the formation and effector functions of FVIII-ICs and attenuates the secondary immune response to FVIII in HA mice.

摘要

实现对因子 VIII (FVIII) 的耐受性仍然是血友病治疗的一个重要目标。多达 40%的严重血友病 A (HA) 患者会产生针对 FVIII 的中和抗体,而实现耐受性的唯一有效治疗方法是在免疫耐受诱导的背景下长时间输注 FVIII。在这里,我们研究了血管性血友病因子 (VWF) 作为 FVIII 抗体效应功能和 FVIII 特异性回忆反应调节剂的作用在 HA 小鼠模型中。分析超速离心用于证明 FVIII 包含的免疫复合物 (FVIII-IC) 的形成。VWF 并没有完全阻止 FVIII-IC 的形成,而是被纳入更大的大分子复合物中。VWF 阻止 FVIII-IC 与补体 C1q 的结合,当它在添加抗体之前与 FVIII 预孵育时,效果最明显。它还阻止与固定化 Fc-γ 受体和骨髓来源的树突状细胞的结合。FVIII 特异性抗体分泌细胞增殖的体外模型表明,在 FVIII 中添加 VWF 可消除该增殖。在将致敏的脾细胞过继转移到免疫活性 HA 小鼠后,VWF 减弱了 FVIII 的回忆反应。总之,这些数据表明 VWF 调节 FVIII-IC 的形成和效应功能,并在 HA 小鼠中减弱对 FVIII 的二次免疫反应。

https://cdn.ncbi.nlm.nih.gov/pmc/blobs/2c6b/10660012/395233e74b5b/BLOODA_ADV-2023-010388-ga1.jpg

文献AI研究员

20分钟写一篇综述,助力文献阅读效率提升50倍。

立即体验

用中文搜PubMed

大模型驱动的PubMed中文搜索引擎

马上搜索

文档翻译

学术文献翻译模型,支持多种主流文档格式。

立即体验