Suppr超能文献

表达内皮素受体A的间充质细胞在骨髓瘤间质骨髓中扩增并与疾病进展相关。

EDNRA-Expressing Mesenchymal Cells Are Expanded in Myeloma Interstitial Bone Marrow and Associated with Disease Progression.

作者信息

Ling Wen, Johnson Sarah K, Mehdi Syed J, Alapat Daisy V, Bauer Michael, Zangari Maurizio, Schinke Carolina, Thanendrarajan Sharmilan, van Rhee Frits, Yaccoby Shmuel

机构信息

Myeloma Center, Department of Internal Medicine, Winthrop P. Rockefeller Cancer Institute, University of Arkansas for Medical Sciences, Little Rock 72205, AR, USA.

出版信息

Cancers (Basel). 2023 Sep 12;15(18):4519. doi: 10.3390/cancers15184519.

Abstract

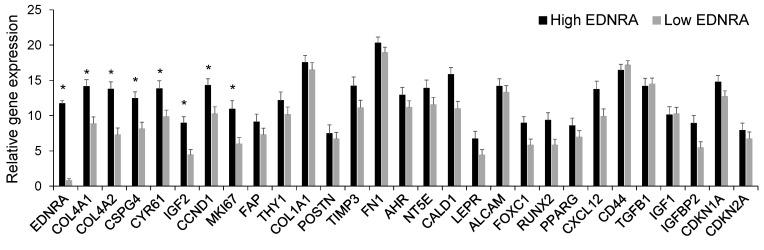
Multiple myeloma (MM) induces dysfunctional bone marrow (BM) mesenchymal cells and neoangiogenesis. Pericytes and smooth muscle cells (SMCs) could detach from vessels and become cancer-associated fibroblasts. We found that the pericyte and SMC marker endothelin receptor type A (EDNRA) is overexpressed in whole MM bone biopsies; we sought to characterize its expression. EDNRA expression gradually increased with disease progression. High-risk MM patients had higher EDNRA expression than low-risk MM patients and EDNRA expression was highest in focal lesions. High EDNRA expression was associated with high expression of pericyte markers (e.g., RGS5, POSTN, and CD146) and the angiogenic marker FLT1. A single-cell analysis of unexpanded BM mesenchymal cells detected EDNRA expression in a subset of cells that coexpressed mesenchymal cell markers and had higher expression of proliferation genes. Immunohistochemistry revealed that the number of EDNRA+ cells in the interstitial BM increased as MM progressed; EDNRA+ cells were prevalent in areas near the MM focal growth. EDNRA+ cells were detached from CD34+ angiogenic cells and coexpressed RGS5 and periostin. Therefore, they likely originated from pericytes or SMCs. These findings identify a novel microenvironmental biomarker in MM and suggest that the presence of detached EDNRA+ cells indicates disrupted vasculature and increased angiogenesis.

摘要

多发性骨髓瘤(MM)会导致骨髓(BM)间充质细胞功能失调和新生血管形成。周细胞和平滑肌细胞(SMC)可能从血管上脱离并成为癌症相关成纤维细胞。我们发现,周细胞和SMC标志物A型内皮素受体(EDNRA)在整个MM骨活检组织中过表达;我们试图对其表达特征进行描述。EDNRA表达随疾病进展而逐渐增加。高危MM患者的EDNRA表达高于低危MM患者,且EDNRA在局灶性病变中的表达最高。高EDNRA表达与周细胞标志物(如RGS5、POSTN和CD146)以及血管生成标志物FLT1的高表达相关。对未扩增的BM间充质细胞进行单细胞分析,在共表达间充质细胞标志物且增殖基因表达较高的细胞亚群中检测到EDNRA表达。免疫组织化学显示,随着MM进展,间质BM中EDNRA+细胞数量增加;EDNRA+细胞在MM局灶性生长附近区域普遍存在。EDNRA+细胞与CD34+血管生成细胞分离,并共表达RGS5和骨膜素。因此,它们可能起源于周细胞或SMC。这些发现确定了MM中一种新的微环境生物标志物,并表明分离的EDNRA+细胞的存在表明血管系统受损和血管生成增加。

https://cdn.ncbi.nlm.nih.gov/pmc/blobs/4aad/10526862/b05b163820a4/cancers-15-04519-g001.jpg

文献检索

告别复杂PubMed语法,用中文像聊天一样搜索,搜遍4000万医学文献。AI智能推荐,让科研检索更轻松。

立即免费搜索

文件翻译

保留排版,准确专业,支持PDF/Word/PPT等文件格式,支持 12+语言互译。

免费翻译文档

深度研究

AI帮你快速写综述,25分钟生成高质量综述,智能提取关键信息,辅助科研写作。

立即免费体验