Suppr超能文献

利用选定的酸面团菌株生产精酿覆盆子果啤。

Exploitation of Selected Sourdough Strains for the Production of a Craft Raspberry Fruit Beer.

作者信息

Galli Viola, Venturi Manuel, Guerrini Simona, Mangani Silvia, Barbato Damiano, Vallesi Gianni, Granchi Lisa

机构信息

Department of Agriculture, Food, Environment and Forestry (DAGRI), Via San Bonaventura, 13-50145 Florence, Italy.

FoodMicroTeam s.r.l., Academic Spin-Off of the University of Florence, Via Santo Spirito, 14-50125 Florence, Italy.

出版信息

Foods. 2023 Sep 7;12(18):3354. doi: 10.3390/foods12183354.

Abstract

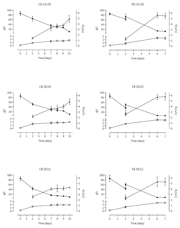
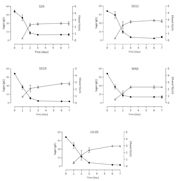
Recent interest in the special beer category has encouraged the search for novel brewing materials, including new ingredients and novel yeast strains, in order to differentiate the finished products. The aim of this work was to select non-brewing strains for the production of a fruit beer with raspberry. The in vitro tests and the wort fermentations allowed the selection of two sourdough strains, showing high maltose and maltotriose consumption, high ethanol production, and high viability. Fruit beers (FB) and control beers (CB) without raspberries were prepared. Fruit addition accelerated sugar consumption (7 days compared to 13 days) and increased ethanol and glycerol production by yeasts. Raspberry addition and the inoculated yeast strongly affected the aroma profile of beers. FB samples showed a higher amount of volatile organic compounds (VOCs); the most represented classes were alcohols, followed by esters and acids. FB inoculated by the selected SD12 showed the highest VOCs concentration (507.33 mg/L). Results highlighted the possible application of sourdough yeast strains for the brewing process, which, combined with raspberry addition, can be exploited for the production of beers with enhanced aromatic features and suitable chemical properties.

摘要

近期对特种啤酒品类的关注促使人们寻找新型酿造原料,包括新成分和新型酵母菌株,以实现成品的差异化。这项工作的目的是选择非酿造菌株来生产含覆盆子的水果啤酒。体外试验和麦芽汁发酵使得能够选出两种酸面团菌株,它们表现出高麦芽糖和麦芽三糖消耗量、高乙醇产量以及高活力。制备了不含覆盆子的水果啤酒(FB)和对照啤酒(CB)。添加水果加速了糖分消耗(从13天缩短至7天),并增加了酵母产生的乙醇和甘油量。添加覆盆子和接种酵母对啤酒的香气特征有强烈影响。FB样品显示出更高含量的挥发性有机化合物(VOCs);占比最大的类别是醇类,其次是酯类和酸类。用选定的SD12接种的FB显示出最高的VOCs浓度(507.33毫克/升)。结果突出了酸面团酵母菌株在酿造过程中的潜在应用,其与添加覆盆子相结合,可用于生产具有增强香气特征和合适化学性质的啤酒。

https://cdn.ncbi.nlm.nih.gov/pmc/blobs/043e/10529207/22992538c269/foods-12-03354-g001.jpg

文献检索

告别复杂PubMed语法,用中文像聊天一样搜索,搜遍4000万医学文献。AI智能推荐,让科研检索更轻松。

立即免费搜索

文件翻译

保留排版,准确专业,支持PDF/Word/PPT等文件格式,支持 12+语言互译。

免费翻译文档

深度研究

AI帮你快速写综述,25分钟生成高质量综述,智能提取关键信息,辅助科研写作。

立即免费体验