Suppr超能文献

人类Prune蛋白调节哺乳动物无机多聚磷酸盐的代谢及生物能量学。

Human Prune Regulates the Metabolism of Mammalian Inorganic Polyphosphate and Bioenergetics.

作者信息

Scoma Ernest R, Da Costa Renata T, Leung Ho Hang, Urquiza Pedro, Guitart-Mampel Mariona, Hambardikar Vedangi, Riggs Lindsey M, Wong Ching-On, Solesio Maria E

机构信息

Department of Biology, and Center for Computational and Integrative Biology, Rutgers University, Camden, NJ 08103, USA.

Department of Biological Sciences, Rutgers University, Newark, NJ 07102, USA.

出版信息

Int J Mol Sci. 2023 Sep 8;24(18):13859. doi: 10.3390/ijms241813859.

Abstract

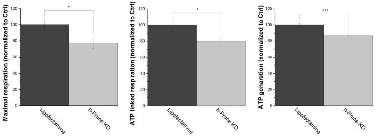
Inorganic polyphosphate (polyP) is an evolutionarily conserved and ubiquitous polymer that is present in all studied organisms. PolyP consists of orthophosphates (Pi) linked together by phosphoanhydride bonds. The metabolism of polyP still remains poorly understood in higher eukaryotes. Currently, only FF-ATP synthase, Nudt3, and Prune have been proposed to be involved in this metabolism, although their exact roles and regulation in the context of polyP biology have not been fully elucidated. In the case of Prune, in vitro studies have shown that it exhibits exopolyphosphatase activity on very short-chain polyP (up to four units of Pi), in addition to its known cAMP phosphodiesterase (PDE) activity. Here, we expand upon studies regarding the effects of human Prune (h-Prune) on polyP metabolism. Our data show that recombinant h-Prune is unable to hydrolyze short (13-33 Pi) and medium (45-160 Pi) chains of polyP, which are the most common chain lengths of the polymer in mammalian cells. Moreover, we found that the knockdown of h-Prune (h-Prune KD) results in significantly decreased levels of polyP in HEK293 cells. Likewise, a reduction in the levels of polyP is also observed in loss-of-function mutants of the h-Prune ortholog. Furthermore, while the activity of ATP synthase, and the levels of ATP, are decreased in h-Prune KD HEK293 cells, the expression of ATP5A, which is a main component of the catalytic subunit of ATP synthase, is upregulated in the same cells, likely as a compensatory mechanism. Our results also show that the effects of h-Prune on mitochondrial bioenergetics are not a result of a loss of mitochondrial membrane potential or of significant changes in mitochondrial biomass. Overall, our work corroborates the role of polyP in mitochondrial bioenergetics. It also demonstrates a conserved effect of h-Prune on the metabolism of short- and medium-chain polyP (which are the predominant chain lengths found in mammalian cells). The effects of Prune in polyP are most likely exerted via the regulation of the activity of ATP synthase. Our findings pave the way for modifying the levels of polyP in mammalian cells, which could have pharmacological implications in many diseases where dysregulated bioenergetics has been demonstrated.

摘要

无机多聚磷酸盐(polyP)是一种在进化上保守且普遍存在的聚合物,存在于所有已研究的生物体中。多聚磷酸盐由通过磷酸酐键连接在一起的正磷酸盐(Pi)组成。在高等真核生物中,多聚磷酸盐的代谢仍知之甚少。目前,尽管它们在多聚磷酸盐生物学背景下的确切作用和调控尚未完全阐明,但仅有人提出FF - ATP合酶、Nudt3和Prune参与这种代谢。就Prune而言,体外研究表明,除了其已知的环磷酸腺苷磷酸二酯酶(PDE)活性外,它对非常短链的多聚磷酸盐(最多四个Pi单元)表现出多聚磷酸酶活性。在这里,我们扩展了关于人类Prune(h - Prune)对多聚磷酸盐代谢影响的研究。我们的数据表明,重组h - Prune无法水解短链(13 - 33个Pi)和中链(45 - 160个Pi)的多聚磷酸盐,而这两种链长是哺乳动物细胞中该聚合物最常见的链长。此外,我们发现敲低h - Prune(h - Prune KD)会导致HEK293细胞中多聚磷酸盐水平显著降低。同样,在h - Prune直系同源物的功能丧失突变体中也观察到多聚磷酸盐水平的降低。此外,虽然在h - Prune KD的HEK293细胞中ATP合酶的活性和ATP水平降低,但ATP合酶催化亚基的主要成分ATP5A的表达在同一细胞中上调,这可能是一种补偿机制。我们的结果还表明,h - Prune对线粒体生物能量学的影响不是线粒体膜电位丧失或线粒体生物量显著变化的结果。总体而言,我们的工作证实了多聚磷酸盐在线粒体生物能量学中的作用。它还证明了h - Prune对短链和中链多聚磷酸盐(这是哺乳动物细胞中发现的主要链长)代谢的保守作用。Prune在多聚磷酸盐中的作用很可能是通过调节ATP合酶的活性来实现的。我们的发现为调节哺乳动物细胞中多聚磷酸盐的水平铺平了道路,这可能在许多已证明生物能量学失调的疾病中具有药理学意义。

https://cdn.ncbi.nlm.nih.gov/pmc/blobs/20f6/10531210/68c6557dfc57/ijms-24-13859-g001.jpg

文献检索

告别复杂PubMed语法,用中文像聊天一样搜索,搜遍4000万医学文献。AI智能推荐,让科研检索更轻松。

立即免费搜索

文件翻译

保留排版,准确专业,支持PDF/Word/PPT等文件格式,支持 12+语言互译。

免费翻译文档

深度研究

AI帮你快速写综述,25分钟生成高质量综述,智能提取关键信息,辅助科研写作。

立即免费体验