• 文献检索
  • 文档翻译
  • 深度研究
  • 学术资讯
  • Suppr Zotero 插件Zotero 插件
  • 邀请有礼
  • 套餐&价格
  • 历史记录
应用&插件
Suppr Zotero 插件Zotero 插件浏览器插件Mac 客户端Windows 客户端微信小程序
定价
高级版会员购买积分包购买API积分包
服务
文献检索文档翻译深度研究API 文档MCP 服务
关于我们
关于 Suppr公司介绍联系我们用户协议隐私条款
关注我们

Suppr 超能文献

核心技术专利:CN118964589B侵权必究
粤ICP备2023148730 号-1Suppr @ 2026

文献检索

告别复杂PubMed语法,用中文像聊天一样搜索,搜遍4000万医学文献。AI智能推荐,让科研检索更轻松。

立即免费搜索

文件翻译

保留排版,准确专业,支持PDF/Word/PPT等文件格式,支持 12+语言互译。

免费翻译文档

深度研究

AI帮你快速写综述,25分钟生成高质量综述,智能提取关键信息,辅助科研写作。

立即免费体验

蓖麻油基聚氨酯交联改性聚己二酸/对苯二甲酸丁二醇酯复合材料的增韧增强机理及性能优化

Toughening Enhancement Mechanism and Performance Optimization of Castor-Oil-Based Polyurethane Cross-Linked Modified Polybutylene Adipate/Terephthalate Composites.

作者信息

Zhang Qing, Huang Jin, Zhou Na

机构信息

State Key Laboratory Incubation Base for Green Processing of Chemical Engineering, School of Chemistry and Chemical Engineering, Shihezi University, Shihezi 832003, China.

School of Chemistry and Chemical Engineering, Chongqing Key Laboratory of Soft-Matter Material Chemistry, Southwest University, No. 2 Tiansheng Road, Beibei, Chongqing 400715, China.

出版信息

Materials (Basel). 2023 Sep 18;16(18):6256. doi: 10.3390/ma16186256.

DOI:10.3390/ma16186256
PMID:37763534
原文链接:https://pmc.ncbi.nlm.nih.gov/articles/PMC10532669/
Abstract

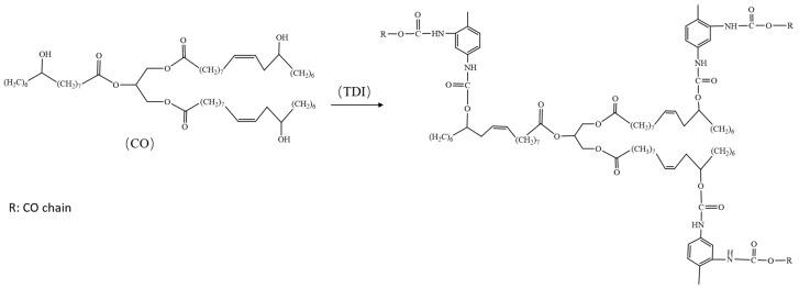
In this study, polyol castor oil (CO) and toluene-2,4-diisocyanate (TDI) were selected to modify PBAT, and castor-oil-based polyurethane (COP) was produced in a PBAT matrix using melt-blending and hot-pressing technology to study the effect of network cross-linking structure on various properties of bio-based polyester PBAT, aiming to introduce CO and TDI to improve the mechanical properties of composite materials. The results showed that when the total addition of CO and TDI was 15%, and the ratio of the hydroxyl group of CO to the isocyanate group of TDI was 1:1, the mechanical properties were the best. The tensile strength of the composite was 86.19% higher than that of pure PBAT, the elongation at break was 70.09% higher than that of PBAT, and the glass transition temperature was 7.82 °C higher than that of pure PBAT. Therefore, the composite modification of PBAT by CO and TDI can effectively improve the heat resistance and mechanical properties of PBAT-based composites.

摘要

在本研究中,选择多元醇蓖麻油(CO)和甲苯-2,4-二异氰酸酯(TDI)对聚己二酸/对苯二甲酸丁二醇酯(PBAT)进行改性,并采用熔融共混和热压技术在PBAT基体中制备蓖麻油基聚氨酯(COP),以研究网络交联结构对生物基聚酯PBAT各种性能的影响,旨在引入CO和TDI来提高复合材料的力学性能。结果表明,当CO和TDI的总添加量为15%,且CO的羟基与TDI的异氰酸酯基团的比例为1:1时,力学性能最佳。复合材料的拉伸强度比纯PBAT高86.19%,断裂伸长率比PBAT高70.09%,玻璃化转变温度比纯PBAT高7.82℃。因此,CO和TDI对PBAT进行复合改性可有效提高PBAT基复合材料的耐热性和力学性能。

https://cdn.ncbi.nlm.nih.gov/pmc/blobs/1846/10532669/a62a07b4b1b3/materials-16-06256-g009.jpg
https://cdn.ncbi.nlm.nih.gov/pmc/blobs/1846/10532669/5168032e34a2/materials-16-06256-g001.jpg
https://cdn.ncbi.nlm.nih.gov/pmc/blobs/1846/10532669/363a93677375/materials-16-06256-g002.jpg
https://cdn.ncbi.nlm.nih.gov/pmc/blobs/1846/10532669/cda474d9080a/materials-16-06256-g003.jpg
https://cdn.ncbi.nlm.nih.gov/pmc/blobs/1846/10532669/118eb2900666/materials-16-06256-g004.jpg
https://cdn.ncbi.nlm.nih.gov/pmc/blobs/1846/10532669/fa92a516ae24/materials-16-06256-g005.jpg
https://cdn.ncbi.nlm.nih.gov/pmc/blobs/1846/10532669/25e1783a3d63/materials-16-06256-g006.jpg
https://cdn.ncbi.nlm.nih.gov/pmc/blobs/1846/10532669/ca6fbb045dc9/materials-16-06256-g007.jpg
https://cdn.ncbi.nlm.nih.gov/pmc/blobs/1846/10532669/8a78067db7f4/materials-16-06256-g008.jpg
https://cdn.ncbi.nlm.nih.gov/pmc/blobs/1846/10532669/a62a07b4b1b3/materials-16-06256-g009.jpg
https://cdn.ncbi.nlm.nih.gov/pmc/blobs/1846/10532669/5168032e34a2/materials-16-06256-g001.jpg
https://cdn.ncbi.nlm.nih.gov/pmc/blobs/1846/10532669/363a93677375/materials-16-06256-g002.jpg
https://cdn.ncbi.nlm.nih.gov/pmc/blobs/1846/10532669/cda474d9080a/materials-16-06256-g003.jpg
https://cdn.ncbi.nlm.nih.gov/pmc/blobs/1846/10532669/118eb2900666/materials-16-06256-g004.jpg
https://cdn.ncbi.nlm.nih.gov/pmc/blobs/1846/10532669/fa92a516ae24/materials-16-06256-g005.jpg
https://cdn.ncbi.nlm.nih.gov/pmc/blobs/1846/10532669/25e1783a3d63/materials-16-06256-g006.jpg
https://cdn.ncbi.nlm.nih.gov/pmc/blobs/1846/10532669/ca6fbb045dc9/materials-16-06256-g007.jpg
https://cdn.ncbi.nlm.nih.gov/pmc/blobs/1846/10532669/8a78067db7f4/materials-16-06256-g008.jpg
https://cdn.ncbi.nlm.nih.gov/pmc/blobs/1846/10532669/a62a07b4b1b3/materials-16-06256-g009.jpg

相似文献

1
Toughening Enhancement Mechanism and Performance Optimization of Castor-Oil-Based Polyurethane Cross-Linked Modified Polybutylene Adipate/Terephthalate Composites.蓖麻油基聚氨酯交联改性聚己二酸/对苯二甲酸丁二醇酯复合材料的增韧增强机理及性能优化
Materials (Basel). 2023 Sep 18;16(18):6256. doi: 10.3390/ma16186256.
2
Effect of polybutylene adipate terephthalate on the properties of starch/polybutylene adipate terephthalate shape memory composites.聚己二酸丁二醇酯对淀粉/聚己二酸丁二醇酯形状记忆复合材料性能的影响。
Int J Biol Macromol. 2023 Jun 15;240:124452. doi: 10.1016/j.ijbiomac.2023.124452. Epub 2023 Apr 15.
3
Melt Processible Biodegradable Blends of Polyethylene Glycol Plasticized Cellulose Diacetate with Polylactic Acid and Polybutylene Adipate-Co-Terephthalate.聚乙二醇增塑的二醋酸纤维素与聚乳酸和聚己二酸-对苯二甲酸丁二醇酯的熔融加工可生物降解共混物
J Polym Environ. 2023 May 27:1-18. doi: 10.1007/s10924-023-02925-8.
4
Multiple noncovalent interactions tailored crystallization and performance reinforcement mechanisms of Biopolyester Composites with functional Cellulose Nanocrystals.功能化纤维素纳米晶调控生物聚酯复合材料的多种非共价相互作用及结晶增强和性能强化机理。
Int J Biol Macromol. 2024 Jan;255:128264. doi: 10.1016/j.ijbiomac.2023.128264. Epub 2023 Nov 18.
5
Effect of Diisocyanates as Compatibilizer on the Properties of BF/PBAT Composites by In Situ Reactive Compatibilization, Crosslinking and Chain Extension.二异氰酸酯作为增容剂通过原位反应增容、交联和扩链对硼纤维/聚己二酸/对苯二甲酸丁二醇酯复合材料性能的影响
Materials (Basel). 2020 Feb 10;13(3):806. doi: 10.3390/ma13030806.
6
Effects of Wood Content and Modification on Properties of Wood Flour/Polybutylene Adipate Terephthalate Biocomposites.木材含量及改性对木粉/聚己二酸对苯二甲酸丁二醇酯生物复合材料性能的影响
Molecules. 2023 Dec 13;28(24):8057. doi: 10.3390/molecules28248057.
7
Study of biodegradable polylactide/poly(butylene adipate-co-terephthalate) blends.可生物降解聚丙交酯/聚(己二酸丁二醇酯-co-对苯二甲酸丁二醇酯)共混物的研究
Biomacromolecules. 2006 Jan;7(1):199-207. doi: 10.1021/bm050581q.
8
Bioinspired Tannic Acid-Modified Coffee Grounds as Sustainable Fillers: Effect on the Properties of Polybutylene Adipate Terephthalate Composites.受生物启发的单宁酸改性咖啡渣作为可持续填料:对聚对苯二甲酸丁二醇酯复合材料性能的影响
Polymers (Basel). 2023 Jun 21;15(13):2769. doi: 10.3390/polym15132769.
9
Stiffening, strengthening, and toughening of biodegradable poly(butylene adipate-co-terephthalate) with a low nanoinclusion usage.采用低纳米夹杂用量增强可生物降解聚(丁二酸丁二醇酯-对苯二甲酸酯)的硬度、强度和韧性。
Carbohydr Polym. 2020 Nov 1;247:116687. doi: 10.1016/j.carbpol.2020.116687. Epub 2020 Jun 25.
10
Influence of the Ultrasonic Treatment on the Properties of Polybutylene Adipate Terephthalate, Modified by Antimicrobial Additive.超声处理对添加抗菌剂改性的聚己二酸对苯二甲酸丁二醇酯性能的影响
Polymers (Basel). 2020 Oct 19;12(10):2412. doi: 10.3390/polym12102412.

本文引用的文献

1
A geological perspective of plastic pollution.塑料污染的地质视角。
Sci Total Environ. 2023 Oct 1;893:164867. doi: 10.1016/j.scitotenv.2023.164867. Epub 2023 Jun 16.
2
High-performance thermoplastic starch/poly(butylene adipate-co-terephthalate) blends through synergistic plasticization of epoxidized soybean oil and glycerol.通过环氧大豆油和甘油的协同增塑作用制备高性能热塑性淀粉/聚(己二酸丁二醇酯-对苯二甲酸酯)共混物。
Int J Biol Macromol. 2023 Jul 1;242(Pt 3):124716. doi: 10.1016/j.ijbiomac.2023.124716. Epub 2023 May 6.
3
Mechanical, chemical, and bio-recycling of biodegradable plastics: A review.
可生物降解塑料的机械、化学和生物回收:综述。
Sci Total Environ. 2023 Jul 15;882:163446. doi: 10.1016/j.scitotenv.2023.163446. Epub 2023 Apr 17.
4
Effects of Quercetin and Organically Modified Montmorillonite on the Properties of Poly(butylene adipate-co-terephthalate)/Thermoplastic Starch Active Packaging Films.槲皮素和有机改性蒙脱石对聚(己二酸丁二醇酯-co-对苯二甲酸丁二醇酯)/热塑性淀粉活性包装薄膜性能的影响
ACS Omega. 2022 Dec 23;8(1):663-672. doi: 10.1021/acsomega.2c05836. eCollection 2023 Jan 10.
5
On the quest for novel bio-degradable plastics for agricultural field mulching.探索用于农田地膜覆盖的新型可生物降解塑料。
Front Bioeng Biotechnol. 2022 Aug 8;10:922974. doi: 10.3389/fbioe.2022.922974. eCollection 2022.
6
Biodegradable Microplastics: A Review on the Interaction with Pollutants and Influence to Organisms.可生物降解微塑料:污染物相互作用及对生物体影响综述。
Bull Environ Contam Toxicol. 2022 Jun;108(6):1006-1012. doi: 10.1007/s00128-022-03486-7. Epub 2022 May 18.
7
Differences in the Plastispheres of Biodegradable and Non-biodegradable Plastics: A Mini Review.可生物降解塑料和不可生物降解塑料的塑料球差异:一篇综述短文
Front Microbiol. 2022 Apr 25;13:849147. doi: 10.3389/fmicb.2022.849147. eCollection 2022.
8
Morphological and mechanical properties of biodegradable poly(glycolic acid)/poly(butylene adipate--terephthalate) blends with compatibilization.具有增容作用的可生物降解聚乙醇酸/聚己二酸-对苯二甲酸丁二醇酯共混物的形态学和力学性能
RSC Adv. 2021 Jan 4;11(3):1241-1249. doi: 10.1039/d0ra08813g.
9
Polyurethane prepolymer-modified high-content starch-PBAT films.聚氨酯预聚物改性高含量淀粉-PBAT 薄膜。
Carbohydr Polym. 2021 Feb 1;253:117168. doi: 10.1016/j.carbpol.2020.117168. Epub 2020 Oct 22.
10
Improvement of Rice Husk/HDPE Bio-Composites Interfacial properties by Silane Coupling Agent and Compatibilizer Complementary Modification.硅烷偶联剂和增容剂互补改性对稻壳/高密度聚乙烯生物复合材料界面性能的改善
Polymers (Basel). 2019 Nov 22;11(12):1928. doi: 10.3390/polym11121928.