• 文献检索
  • 文档翻译
  • 深度研究
  • 学术资讯
  • Suppr Zotero 插件Zotero 插件
  • 邀请有礼
  • 套餐&价格
  • 历史记录
应用&插件
Suppr Zotero 插件Zotero 插件浏览器插件Mac 客户端Windows 客户端微信小程序
定价
高级版会员购买积分包购买API积分包
服务
文献检索文档翻译深度研究API 文档MCP 服务
关于我们
关于 Suppr公司介绍联系我们用户协议隐私条款
关注我们

Suppr 超能文献

核心技术专利:CN118964589B侵权必究
粤ICP备2023148730 号-1Suppr @ 2026

文献检索

告别复杂PubMed语法,用中文像聊天一样搜索,搜遍4000万医学文献。AI智能推荐,让科研检索更轻松。

立即免费搜索

文件翻译

保留排版,准确专业,支持PDF/Word/PPT等文件格式,支持 12+语言互译。

免费翻译文档

深度研究

AI帮你快速写综述,25分钟生成高质量综述,智能提取关键信息,辅助科研写作。

立即免费体验

CT引导下椎旁注射阿霉素治疗带状疱疹后神经痛:一项基于数据库的回顾性分层研究

CT-guided paravertebral injection of doxorubicin for treatment of postherpetic neuralgia: a database-based retrospective stratified study.

作者信息

Lu Fan, Zhong JiWei, Liu Hui, Xiao Hong

机构信息

Department of Pain Management, West China Hospital, Sichuan University, Chengdu, China.

Department of Anesthesiology, West China Hospital, Sichuan University, Chengdu, China.

出版信息

Front Neurol. 2023 Sep 12;14:1258464. doi: 10.3389/fneur.2023.1258464. eCollection 2023.

DOI:10.3389/fneur.2023.1258464
PMID:37767531
原文链接:https://pmc.ncbi.nlm.nih.gov/articles/PMC10520975/
Abstract

OBJECTIVE

This study explored the impact of different doeses of doxorubicin in CT-guided transvertebral foraminal injections for postherpetic neuralgia (PHN) treatment and the impact of 0.5% doxorubicin treatment on patients with different disease courses and lesion locations.

METHODS

This retrospective study included 291 patients with PHN who received CT-guided doxorubicin injection at West China Hospital between April 2014 and February 2020.

RESULTS

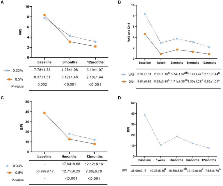
A total of 228 patients received 0.5% doxorubicin treatment and 63 received 0.33% doxorubicin. Both groups showed significantly improvement in visual analogue scale (VAS) and Brief Pain Inventory (BPI) scores. The 0.5% doxorubicin group demonstrated significant lower VAS scores at 6 and 12 months after surgery (all  < 0.001) and a significant lower score on the BPI at 6 and 12 months than the 0.33% doxorubicin group (all  < 0.05). Stratified analysis of 0.5% doxorubicin demonstrated a significant reduction in VAS score at 1 week, 3 months, 6 months, and 12 months after treatment compared to baseline (all  < 0.05) and significant improvements in BPI score after treatment compared to baseline ( < 0.05). The VAS score of the chest group was significant higher than facial, neck and upper limbs and abdomen groupsin groups 1 week after surgery (all  < 0.05). Various aspects of quality of life, including daily life, enjoyment of life, sleep, relationships, work, walking ability, and emotions, significantly decreased after surgery ( < 0.05). Especially in sleep duration, there was an increase in patients reporting intermediate sleep (4-7 h) and a proportion achieving a normal sleep duration of ≥7 h. And no significant differences of BPI were observed among different affected locations. The incidence of adverse events in the 0.5% doxorubicin group and 0.33% doxorubicin group was 8.78 and 6.34%, respectively.

CONCLUSION

CT-guided doxorubicin injection therapy has the potential to alleviate pain and enhance the quality of life in patients with PHN. Notably, the use of a 0.5% doxorubicin concentration yields more pronounced pain relief compared to a 0.33% concentration. While longer durations of PHN and specific affected sites may influence the response to treatment, the overall improvements in quality of life remain consistent.

摘要

目的

本研究探讨不同剂量阿霉素在CT引导下经椎间孔注射治疗带状疱疹后神经痛(PHN)中的作用,以及0.5%阿霉素治疗对不同病程和病变部位患者的影响。

方法

本回顾性研究纳入了2014年4月至2020年2月期间在华西医院接受CT引导下阿霉素注射的291例PHN患者。

结果

共有228例患者接受0.5%阿霉素治疗,63例接受0.33%阿霉素治疗。两组患者的视觉模拟评分(VAS)和简明疼痛量表(BPI)评分均有显著改善。0.5%阿霉素组术后6个月和12个月的VAS评分显著低于0.33%阿霉素组(均<0.001),6个月和12个月时的BPI评分也显著低于0.33%阿霉素组(均<0.05)。对0.5%阿霉素进行分层分析显示,治疗后1周、3个月、6个月和12个月的VAS评分与基线相比显著降低(均<0.05),治疗后的BPI评分与基线相比也有显著改善(<0.05)。术后1周,胸部组的VAS评分显著高于面部、颈部、上肢和腹部组(均<0.05)。生活质量的各个方面,包括日常生活、生活乐趣、睡眠、人际关系、工作、行走能力和情绪,术后均显著下降(<0.05)。尤其是在睡眠时间方面,报告中等睡眠时间(4-7小时)的患者有所增加,达到正常睡眠时间≥7小时的患者比例也有所增加。不同受累部位的BPI评分无显著差异。0.5%阿霉素组和0.33%阿霉素组的不良事件发生率分别为8.78%和6.34%。

结论

CT引导下阿霉素注射治疗有可能缓解PHN患者的疼痛并提高其生活质量。值得注意的是,与0.33%的浓度相比,使用0.5%的阿霉素浓度能产生更明显的疼痛缓解效果。虽然PHN病程较长和特定受累部位可能会影响治疗反应,但生活质量的总体改善仍然是一致的。

https://cdn.ncbi.nlm.nih.gov/pmc/blobs/f2e3/10520975/2a0c4f1edcea/fneur-14-1258464-g002.jpg
https://cdn.ncbi.nlm.nih.gov/pmc/blobs/f2e3/10520975/f48f26e857fa/fneur-14-1258464-g001.jpg
https://cdn.ncbi.nlm.nih.gov/pmc/blobs/f2e3/10520975/2a0c4f1edcea/fneur-14-1258464-g002.jpg
https://cdn.ncbi.nlm.nih.gov/pmc/blobs/f2e3/10520975/f48f26e857fa/fneur-14-1258464-g001.jpg
https://cdn.ncbi.nlm.nih.gov/pmc/blobs/f2e3/10520975/2a0c4f1edcea/fneur-14-1258464-g002.jpg

相似文献

1
CT-guided paravertebral injection of doxorubicin for treatment of postherpetic neuralgia: a database-based retrospective stratified study.CT引导下椎旁注射阿霉素治疗带状疱疹后神经痛:一项基于数据库的回顾性分层研究
Front Neurol. 2023 Sep 12;14:1258464. doi: 10.3389/fneur.2023.1258464. eCollection 2023.
2
Relationships Among Pain Quality, Pain Impact, and Overall Improvement in Patients with Postherpetic Neuralgia Treated with Gastroretentive Gabapentin.胃内滞留型加巴喷丁治疗带状疱疹后神经痛患者的疼痛性质、疼痛影响与总体改善之间的关系
Pain Med. 2015 Oct;16(10):2000-11. doi: 10.1111/pme.12791. Epub 2015 Jun 25.
3
Computed Tomography-Guided Percutaneous Coblation of the Thoracic Nerve Root for Treatment of Postherpetic Neuralgia.计算机断层扫描引导下经皮射频消融胸神经根治疗带状疱疹后神经痛。
Pain Physician. 2020 Sep;23(5):E487-E496.
4
[Short and mid-term effectiveness of paravertebral adriamycin injection under CT guidance on intractable postherpetic neuralgia].CT引导下椎旁注射阿霉素治疗顽固性带状疱疹后神经痛的短期和中期疗效
Zhong Nan Da Xue Xue Bao Yi Xue Ban. 2014 Sep;39(9):930-4. doi: 10.11817/j.issn.1672-7347.2014.09.011.
5
Ultrasound-Guided Inactivation of Trigger Points Combined with Muscle Fascia Stripping by Liquid Knife in Treatment of Postherpetic Neuralgia Complicated with Abdominal Myofascial Pain Syndrome: A Prospective and Controlled Clinical Study.超声引导下扳机点灭活联合液体刀肌筋膜松解术治疗带状疱疹后神经痛合并腹型肌筋膜疼痛综合征的前瞻性对照临床研究。
Pain Res Manag. 2020 May 17;2020:4298509. doi: 10.1155/2020/4298509. eCollection 2020.
6
Relationship between pain relief, reduction in pain-associated sleep interference, and overall impression of improvement in patients with postherpetic neuralgia treated with extended-release gabapentin.加巴喷丁缓释片治疗带状疱疹后神经痛患者的疼痛缓解、疼痛相关睡眠干扰减少与总体改善印象之间的关系
Health Qual Life Outcomes. 2016 Apr 1;14:54. doi: 10.1186/s12955-016-0456-0.
7
Repetitive Transcranial Magnetic Stimulation at Different Frequencies for Postherpetic Neuralgia: A Double-Blind, Sham-Controlled, Randomized Trial.不同频率重复经颅磁刺激治疗带状疱疹后神经痛的双盲、假刺激随机对照试验。
Pain Physician. 2019 Jul;22(4):E303-E313.
8
Early Treatment with Temporary Spinal Cord Stimulation Effectively Prevents Development of Postherpetic Neuralgia.早期使用临时脊髓刺激可有效预防疱疹后神经痛的发展。
Pain Physician. 2020 Mar;23(2):E219-E230.
9
Pulsed Radiofrequency Combined With Methylene Blue Paravertebral Nerve Block Effectively Treats Thoracic Postherpetic Neuralgia.脉冲射频联合亚甲蓝椎旁神经阻滞有效治疗胸段带状疱疹后神经痛
Front Neurol. 2022 Jun 3;13:811298. doi: 10.3389/fneur.2022.811298. eCollection 2022.
10
CT-Guided Stellate Ganglion Pulsed Radiofrequency Stimulation for Facial and Upper Limb Postherpetic Neuralgia.CT引导下星状神经节脉冲射频刺激治疗面部及上肢带状疱疹后神经痛
Front Neurosci. 2019 Mar 8;13:170. doi: 10.3389/fnins.2019.00170. eCollection 2019.

本文引用的文献

1
Interventions for zoster-associated pain: A retrospective study based on the clinical database.带状疱疹相关性疼痛的干预措施:一项基于临床数据库的回顾性研究。
Front Neurol. 2022 Nov 24;13:1056171. doi: 10.3389/fneur.2022.1056171. eCollection 2022.
2
Doxorubicin-induced cardiotoxicity: An update on the molecular mechanism and novel therapeutic strategies for effective management.多柔比星诱导的心脏毒性:分子机制的最新研究进展及有效管理的新型治疗策略。
Biomed Pharmacother. 2021 Jul;139:111708. doi: 10.1016/j.biopha.2021.111708. Epub 2021 May 13.
3
Post-herpetic Neuralgia: A Systematic Review of Current Interventional Pain Management Strategies.
带状疱疹后神经痛:当前介入性疼痛管理策略的系统评价
J Cutan Aesthet Surg. 2020 Oct-Dec;13(4):265-274. doi: 10.4103/JCAS.JCAS_45_20.
4
Association of sleep duration in middle and old age with incidence of dementia.中年和老年睡眠时间与痴呆症发病率的关系。
Nat Commun. 2021 Apr 20;12(1):2289. doi: 10.1038/s41467-021-22354-2.
5
Efficacy of repetitive paravertebral block combined with medication in the treatment of zoster-related pain with different courses.不同病程带状疱疹相关性疼痛采用重复椎旁阻滞联合药物治疗的效果。
Neurosciences (Riyadh). 2021 Apr;26(2):192-198. doi: 10.17712/nsj.2021.2.20200124.
6
Association Between Sleep Duration and Cognitive Decline.睡眠时长与认知能力下降的关系。
JAMA Netw Open. 2020 Sep 1;3(9):e2013573. doi: 10.1001/jamanetworkopen.2020.13573.
7
Doxorubicin-loaded composite nanogels for cancer treatment.载多柔比星的复合纳米凝胶用于癌症治疗。
J Control Release. 2020 Dec 10;328:171-191. doi: 10.1016/j.jconrel.2020.08.033. Epub 2020 Aug 28.
8
Computed tomography-guided paravertebral doxorubicin injection for refractory pain in patients with spinal metastases: Two case reports.计算机断层扫描引导下椎旁注射多柔比星治疗脊柱转移瘤患者难治性疼痛:两例报告
Medicine (Baltimore). 2020 Jan;99(5):e18939. doi: 10.1097/MD.0000000000018939.
9
Interventional Treatments for Postherpetic Neuralgia: A Systematic Review.疱疹后神经痛的介入治疗:系统评价。
Pain Physician. 2019 May;22(3):209-228.
10
Gasserian ganglion injected with Adriamycin successfully relieves intractable trigeminal nerve postherpetic neuralgia for an elderly patient: A case report.阿霉素注射加塞神经节成功缓解老年患者顽固性三叉神经带状疱疹后神经痛:病例报告
Medicine (Baltimore). 2018 Sep;97(38):e12388. doi: 10.1097/MD.0000000000012388.