Suppr超能文献

亚氨基膦配体负载的铬乙烯三聚/四聚催化剂。

Chromium Ethylene Tri-/Tetramerization Catalysts Supported by Iminophosphine Ligands.

作者信息

Zhao Xing, Wang Jihe, Liu Dongchang, Kong Weihuan, Zhang Jun

机构信息

Key Laboratory for Advanced Materials and Institute of Fine Chemicals, School of Chemistry & Molecular Engineering, East China University of Science and Technology, 130 Mei Long Road, Shanghai 200237, China.

出版信息

ACS Omega. 2023 Sep 12;8(38):34549-34556. doi: 10.1021/acsomega.3c03356. eCollection 2023 Sep 26.

Abstract

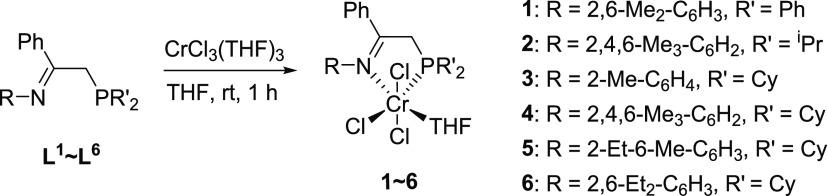
A new class of highly active ethylene tri-/tetramerization chromium catalysts supported by iminophosphine ligands has been studied. The impact of electronic and steric changes of these ligands on selectivity and activity has been investigated by varying - and/or -substituents. Upon activation with MMAO, the ligand bearing a -cyclohexyl group displayed a high activity of 307 kg/(g Cr/h) with a high trimerization selectivity of 92.6%. Decreasing the steric hindrance of -aryl group led to a decrease in 1-hexene selectivity (74.5%), producing more 1-octene (10.3%). X-ray diffraction analysis verifies that the ligands coordinate with the chromium center in a κ-P,N mode.

摘要

研究了一类由亚氨基膦配体支撑的新型高活性乙烯三聚/四聚铬催化剂。通过改变 - 和/或 - 取代基,研究了这些配体的电子和空间变化对选择性和活性的影响。用甲基铝氧烷(MMAO)活化后,带有 - 环己基的配体表现出307 kg/(g Cr/h)的高活性,三聚选择性高达92.6%。降低 - 芳基的空间位阻导致1 - 己烯选择性降低(74.5%),生成更多的1 - 辛烯(10.3%)。X射线衍射分析证实配体以κ - P,N模式与铬中心配位。

https://cdn.ncbi.nlm.nih.gov/pmc/blobs/8c2e/10536060/5f66c74f8712/ao3c03356_0002.jpg

文献AI研究员

20分钟写一篇综述,助力文献阅读效率提升50倍。

立即体验

用中文搜PubMed

大模型驱动的PubMed中文搜索引擎

马上搜索

文档翻译

学术文献翻译模型,支持多种主流文档格式。

立即体验