Suppr超能文献

创伤性脑损伤和脊髓损伤的双重诊断:一项针对儿童群体的流行病学研究。

Dual diagnosis of TBI and SCI: an epidemiological study in the pediatric population.

作者信息

Gober Joslyn, Shapiro Lauren T, Tiozzo Eduard, Ramos Roldán Nanichi A, Brea Cristina M, Lin Katherine, Valbuena Adriana

机构信息

Department of Physical Medicine and Rehabilitation, University of Miami Miller School of Medicine, Miami, FL, United States.

South Texas Veterans Health Care System and Department of Rehabilitation Medicine, University of Texas Health San Antonio, San Antonio, TX, United States.

出版信息

Front Neurol. 2023 Sep 27;14:1241550. doi: 10.3389/fneur.2023.1241550. eCollection 2023.

Abstract

INTRODUCTION

Dual diagnosis (DD) with traumatic brain injury (TBI) and spinal cord injury (SCI) poses clinical and rehabilitation challenges. While comorbid TBI is common among adults with SCI, little is known about the epidemiology in the pediatric population. The primary objective of this study was to evaluate the prevalence of TBI among children in the United States hospitalized with SCI. Secondary objectives were to compare children hospitalized with DD with those with isolated SCI with regards to age, gender, race, hospital length of stay, and hospital charges.

METHODS

A retrospective analysis of hospital discharges among children aged 0-18 years occurring between 2016-2018 from U.S. hospitals participating in the Kids' Inpatient Database. ICD-10 codes were used to identify cases of SCI, which were then categorized by the presence or absence of comorbid TBI.

RESULTS

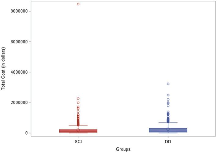
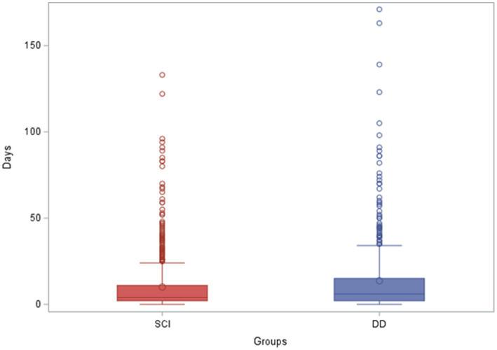
38.8% of children hospitalized with SCI had a co-occurring TBI. While DD disproportionately occurred among male children (67% of cases), when compared with children with isolated SCI, those with DD were not significantly more likely to be male. They were more likely to be Caucasian. The mean age of children with DD (13.2 ± 5.6 years) was significantly less than that of children with isolated SCI (14.4 ± 4.3 years). DD was associated with longer average lengths of stay (6 versus 4 days) and increased mean total hospital charges ($124,198 versus $98,089) when compared to isolated SCI.

CONCLUSION

Comorbid TBI is prevalent among U.S. children hospitalized with SCI. Future research is needed to better delineate the impact of DD on mortality, quality of life, and functional outcomes.

摘要

引言

创伤性脑损伤(TBI)与脊髓损伤(SCI)并存的双重诊断(DD)带来了临床和康复方面的挑战。虽然SCI成年患者中合并TBI很常见,但对于儿科人群的流行病学情况却知之甚少。本研究的主要目的是评估美国因SCI住院儿童中TBI的患病率。次要目的是比较因DD住院的儿童与单纯SCI儿童在年龄、性别、种族、住院时间和住院费用方面的差异。

方法

对2016 - 2018年间参与儿童住院数据库的美国医院中0 - 18岁儿童的出院情况进行回顾性分析。使用国际疾病分类第十版(ICD - 10)编码来识别SCI病例,然后根据是否合并TBI进行分类。

结果

38.8%因SCI住院的儿童同时患有TBI。虽然DD在男性儿童中比例过高(占病例的67%),但与单纯SCI儿童相比,DD儿童并非更易为男性。他们更可能是白种人。DD儿童的平均年龄(13.2±5.6岁)显著低于单纯SCI儿童(14.4±4.3岁)。与单纯SCI相比,DD与更长的平均住院时间(6天对4天)和更高的平均住院总费用(124,198美元对98,089美元)相关。

结论

合并TBI在美国因SCI住院的儿童中很普遍。需要进一步研究以更好地阐明DD对死亡率、生活质量和功能结局的影响。

https://cdn.ncbi.nlm.nih.gov/pmc/blobs/025b/10565222/6aff369b4e61/fneur-14-1241550-g001.jpg

文献检索

告别复杂PubMed语法,用中文像聊天一样搜索,搜遍4000万医学文献。AI智能推荐,让科研检索更轻松。

立即免费搜索

文件翻译

保留排版,准确专业,支持PDF/Word/PPT等文件格式,支持 12+语言互译。

免费翻译文档

深度研究

AI帮你快速写综述,25分钟生成高质量综述,智能提取关键信息,辅助科研写作。

立即免费体验