Suppr超能文献

遗传因素普遍存在于干燥综合征和系统性红斑狼疮之间,导致临床和分子重叠。

Pervasive Sharing of Causal Genetic Risk Factors Contributes to Clinical and Molecular Overlap between Sjögren's Disease and Systemic Lupus Erythematosus.

机构信息

Division of Rheumatology, Department of Medicine, University of Colorado School of Medicine, Aurora, CO 80045, USA.

Internal Medicine Residency Program, Louis A. Weiss Memorial Hospital, Chicago, IL 60640, USA.

出版信息

Int J Mol Sci. 2023 Sep 22;24(19):14449. doi: 10.3390/ijms241914449.

Abstract

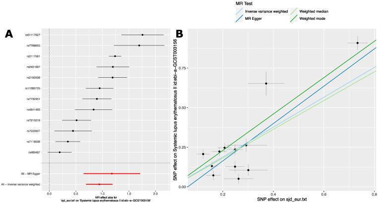
SjD (Sjögren's Disease) and SLE (Systemic Lupus Erythematosus) are similar diseases. There is extensive overlap between the two in terms of both clinical features and pathobiologic mechanisms. Shared genetic risk is a potential explanation of this overlap. In this study, we evaluated whether these diseases share causal genetic risk factors. We compared the causal genetic risk for SLE and SjD using three complementary approaches. First, we examined the published GWAS results for these two diseases by analyzing the predicted causal gene protein-protein interaction networks of both diseases. Since this method does not account for overlapping risk intervals, we examined whether such intervals also overlap. Third, we used two-sample Mendelian randomization (two sample MR) using GWAS summary statistics to determine whether risk variants for SLE are causal for SjD and vice versa. We found that both the putative causal genes and the genomic risk intervals for SLE and SjD overlap 28- and 130-times more than expected by chance ( < 1.1 × 10 and < 1.1 × 10, respectively). Further, two sample MR analysis confirmed that alone or in aggregate, SLE is likely causal for SjD and vice versa. [SjD variants predicting SLE: OR = 2.56; 95% CI (1.98-3.30); < 1.4 × 10, inverse-variance weighted; SLE variants predicting SjD: OR = 1.36; 95% CI (1.26-1.47); < 1.6 × 10, inverse-variance weighted]. Notably, some variants have disparate impact in terms of effect size across disease states. Overlapping causal genetic risk factors were found for both diseases using complementary approaches. These observations support the hypothesis that shared genetic factors drive the clinical and pathobiologic overlap between these diseases. Our study has implications for both differential diagnosis and future genetic studies of these two conditions.

摘要

干燥综合征(SjD)和系统性红斑狼疮(SLE)是两种相似的疾病。这两种疾病在临床特征和病理生物学机制方面有广泛的重叠。共同的遗传风险是这种重叠的潜在解释。在这项研究中,我们评估了这些疾病是否共享因果遗传风险因素。我们使用三种互补方法比较了 SLE 和 SjD 的因果遗传风险。首先,我们通过分析这两种疾病的已发表 GWAS 结果,检查了这两种疾病的预测因果基因蛋白-蛋白相互作用网络。由于这种方法没有考虑到重叠的风险区间,我们检查了这些区间是否也重叠。第三,我们使用两样本 Mendelian 随机化(two sample MR)方法,使用 GWAS 汇总统计数据来确定 SLE 的风险变体是否对 SjD 有因果关系,反之亦然。我们发现,SLE 和 SjD 的假定因果基因和基因组风险区间的重叠次数分别比预期多 28 倍和 130 倍(分别为 < 1.1 × 10 和 < 1.1 × 10 )。此外,两样本 MR 分析证实,单独或合并来看,SLE 可能是 SjD 的因果因素,反之亦然。[预测 SLE 的 SjD 变体:OR = 2.56;95% CI(1.98-3.30);< 1.4 × 10,逆方差加权;预测 SjD 的 SLE 变体:OR = 1.36;95% CI(1.26-1.47);< 1.6 × 10,逆方差加权]。值得注意的是,一些变体在疾病状态之间的效应大小上有不同的影响。使用互补方法发现了两种疾病的因果遗传风险因素重叠。这些观察结果支持了共同的遗传因素驱动这两种疾病的临床和病理生物学重叠的假设。我们的研究对这两种疾病的鉴别诊断和未来的遗传研究都有意义。

https://cdn.ncbi.nlm.nih.gov/pmc/blobs/2aae/10572278/3ed32dbc7d1c/ijms-24-14449-g001.jpg

文献检索

告别复杂PubMed语法,用中文像聊天一样搜索,搜遍4000万医学文献。AI智能推荐,让科研检索更轻松。

立即免费搜索

文件翻译

保留排版,准确专业,支持PDF/Word/PPT等文件格式,支持 12+语言互译。

免费翻译文档

深度研究

AI帮你快速写综述,25分钟生成高质量综述,智能提取关键信息,辅助科研写作。

立即免费体验