• 文献检索
  • 文档翻译
  • 深度研究
  • 学术资讯
  • Suppr Zotero 插件Zotero 插件
  • 邀请有礼
  • 套餐&价格
  • 历史记录
应用&插件
Suppr Zotero 插件Zotero 插件浏览器插件Mac 客户端Windows 客户端微信小程序
定价
高级版会员购买积分包购买API积分包
服务
文献检索文档翻译深度研究API 文档MCP 服务
关于我们
关于 Suppr公司介绍联系我们用户协议隐私条款
关注我们

Suppr 超能文献

核心技术专利:CN118964589B侵权必究
粤ICP备2023148730 号-1Suppr @ 2026

文献检索

告别复杂PubMed语法,用中文像聊天一样搜索,搜遍4000万医学文献。AI智能推荐,让科研检索更轻松。

立即免费搜索

文件翻译

保留排版,准确专业,支持PDF/Word/PPT等文件格式,支持 12+语言互译。

免费翻译文档

深度研究

AI帮你快速写综述,25分钟生成高质量综述,智能提取关键信息,辅助科研写作。

立即免费体验

沙库巴曲缬沙坦对射血分数降低的心力衰竭患者的长期益处:一项针对真实世界人群的5年随访研究。

The Long-Term Benefit of Sacubitril/Valsartan in Patients with HFrEF: A 5-Year Follow-Up Study in a Real World Population.

作者信息

Dattilo Giuseppe, Laterra Giulia, Licordari Roberto, Parisi Francesca, Pistelli Lorenzo, Colarusso Luigi, Zappia Luca, Vaccaro Vittoria, Demurtas Elisabetta, Allegra Marta, Crea Pasquale, Di Bella Gianluca, Signorelli Salvatore Santo, Aspromonte Nadia, Imbalzano Egidio, Correale Michele

机构信息

Section of Cardiology, Department of Biomedical and Dental Sciences and Morphofunctional Imaging, University of Messina, 98122 Messina, Italy.

Department of Clinical and Experimental Medicine, Policlinic University Hospital of Messina, 98122 Messina, Italy.

出版信息

J Clin Med. 2023 Sep 28;12(19):6247. doi: 10.3390/jcm12196247.

DOI:10.3390/jcm12196247
PMID:37834892
原文链接:https://pmc.ncbi.nlm.nih.gov/articles/PMC10573839/
Abstract

UNLABELLED

Heart failure (HF) is a progressive condition with an increasing prevalence, and the scientific evidence of heart failure with reduced ejection fraction (HFrEF) reports a 6% rate of 1-year mortality in stable patients, whereas, in recently hospitalized patients, the 1-year mortality rates exceed 20%. The Sacubitril/Valsartan (S/V), the first angiotensin receptor neprilysin inhibitor (ARNI), significantly reduced both HF hospitalization and cardiovascular mortality.

AIM OF THE STUDY

to evaluate the effect of S/V in a follow-up period of 5 years from the beginning of the therapy. We compared the one-year outcomes of S/V use with those obtained after 5 years of therapy, monitoring the long-term effects in a real-world population with HFrEF.

METHODS

Seventy consecutive patients with HFrEF and eligible for ARNI, according to PARADIGM-HF criteria, were enrolled. All patients had an overall follow-up of 60 months, during which time they underwent standard transthoracic echocardiography (TTE) with Global Longitudinal Strain (GLS) evaluation, the Kansas City Cardiomyopathy Questionnaire (KCCQ), the Six Minutes Walking Test (6MWT), and blood tests (NT-pro-BNP and BNP, renal function tests).

RESULTS

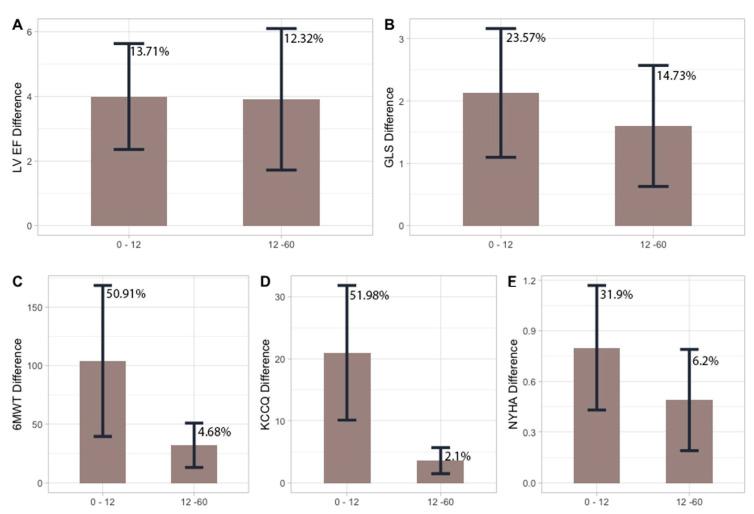
NTproBNP values were reduced significantly among the three time-points ( < 0.001). Among echocardiographic parameters, left ventricle end-diastolic volume (LV EDV) and E/e' significantly were reduced at the first evaluation (12 months), while left ventricle end-systolic volume (LV ESV) decreased during all follow-ups ( < 0.001). LV EF ( < 0.001) and GLS ( < 0.001) significantly increased at both evaluations. The 6MWT ( < 0.001) and KCCQ scores ( < 0.001) increased significantly in the first 12 months and remained stable along the other time-points. NYHA class showed an increase in class 1 subjects and a decrease in class 3 subjects during follow-up. NTproBNP, BNP, 6MWT, and KCCQ scores showed a significant change in the first 12 months, while LVEF, GLS, and ESV changed during all evaluations.

CONCLUSIONS

We verified that the improvements obtained after one year of therapy had not reached a plateau phase but continued to improve and were statistically significant at 5 years. Although our data should be confirmed in larger and multicentre studies, we can state that the utilization of Sacubitril/Valsartan has catalysed substantial transformations in the prognostic landscape of chronic HFrEF, yielding profound clinical implications.

摘要

未标注

心力衰竭(HF)是一种患病率不断上升的进行性疾病,射血分数降低的心力衰竭(HFrEF)的科学证据表明,稳定患者的1年死亡率为6%,而最近住院的患者1年死亡率超过20%。沙库巴曲缬沙坦(S/V)是首个血管紧张素受体脑啡肽酶抑制剂(ARNI),可显著降低HF住院率和心血管死亡率。

研究目的

评估从治疗开始起5年随访期内S/V的效果。我们将S/V使用1年的结果与治疗5年后获得的结果进行比较,监测HFrEF真实世界人群中的长期效果。

方法

根据PARADIGM-HF标准,连续纳入70例符合ARNI治疗条件的HFrEF患者。所有患者的总随访时间为60个月,在此期间,他们接受了标准经胸超声心动图(TTE)检查,并进行了整体纵向应变(GLS)评估、堪萨斯城心肌病问卷(KCCQ)、六分钟步行试验(6MWT)以及血液检查(NT-pro-BNP和BNP、肾功能检查)。

结果

NTproBNP值在三个时间点之间显著降低(<0.001)。在超声心动图参数中,左心室舒张末期容积(LV EDV)和E/e'在首次评估(12个月)时显著降低,而左心室收缩末期容积(LV ESV)在所有随访期间均降低(<0.001)。两次评估时LV EF(<0.001)和GLS(<0.001)均显著增加。6MWT(<0.001)和KCCQ评分(<0.001)在最初12个月内显著增加,并在其他时间点保持稳定。随访期间,纽约心脏协会(NYHA)分级显示1级患者增加,3级患者减少。NTproBNP、BNP、6MWT和KCCQ评分在最初12个月有显著变化,而LVEF、GLS和ESV在所有评估中均有变化。

结论

我们证实,治疗1年后获得的改善并未达到平台期,而是持续改善,且在5年时具有统计学意义。尽管我们的数据应在更大规模的多中心研究中得到证实,但我们可以说,沙库巴曲缬沙坦的使用已在慢性HFrEF的预后格局中引发了重大转变,具有深远的临床意义。

https://cdn.ncbi.nlm.nih.gov/pmc/blobs/1631/10573839/8099f053e9f6/jcm-12-06247-g004.jpg
https://cdn.ncbi.nlm.nih.gov/pmc/blobs/1631/10573839/23e86aec5000/jcm-12-06247-g001.jpg
https://cdn.ncbi.nlm.nih.gov/pmc/blobs/1631/10573839/f7f3cf50d118/jcm-12-06247-g002.jpg
https://cdn.ncbi.nlm.nih.gov/pmc/blobs/1631/10573839/b4347a7f7204/jcm-12-06247-g003.jpg
https://cdn.ncbi.nlm.nih.gov/pmc/blobs/1631/10573839/8099f053e9f6/jcm-12-06247-g004.jpg
https://cdn.ncbi.nlm.nih.gov/pmc/blobs/1631/10573839/23e86aec5000/jcm-12-06247-g001.jpg
https://cdn.ncbi.nlm.nih.gov/pmc/blobs/1631/10573839/f7f3cf50d118/jcm-12-06247-g002.jpg
https://cdn.ncbi.nlm.nih.gov/pmc/blobs/1631/10573839/b4347a7f7204/jcm-12-06247-g003.jpg
https://cdn.ncbi.nlm.nih.gov/pmc/blobs/1631/10573839/8099f053e9f6/jcm-12-06247-g004.jpg

相似文献

1
The Long-Term Benefit of Sacubitril/Valsartan in Patients with HFrEF: A 5-Year Follow-Up Study in a Real World Population.沙库巴曲缬沙坦对射血分数降低的心力衰竭患者的长期益处:一项针对真实世界人群的5年随访研究。
J Clin Med. 2023 Sep 28;12(19):6247. doi: 10.3390/jcm12196247.
2
Impact of sacubitril/valsartan on echo parameters in heart failure patients with reduced ejection fraction a prospective evaluation.沙库巴曲缬沙坦对射血分数降低的心力衰竭患者超声心动图参数的影响:一项前瞻性评估
Int J Cardiol Heart Vasc. 2019 Sep 3;25:100418. doi: 10.1016/j.ijcha.2019.100418. eCollection 2019 Dec.
3
Our Experience With Sacubitril/Valsartan in Chronic Heart Failure Management - HFrEF in the Ambulatory Setting.我们在慢性心力衰竭管理中使用沙库巴曲缬沙坦的经验——门诊射血分数降低型心力衰竭。
Med Arch. 2022 Apr;76(2):101-107. doi: 10.5455/medarh.2022.76.101-107.
4
The role of sacubitril/valsartan in the treatment of chronic heart failure with reduced ejection fraction in hypertensive patients with comorbidities: From clinical trials to real-world settings.沙库巴曲缬沙坦在合并症的射血分数降低的慢性心力衰竭高血压患者中的治疗作用:从临床试验到真实世界环境。
Biomed Pharmacother. 2020 Oct;130:110596. doi: 10.1016/j.biopha.2020.110596. Epub 2020 Aug 21.
5
Short-term echocardiographic evaluation by global longitudinal strain in patients with heart failure treated with sacubitril/valsartan.沙库巴曲缬沙坦治疗心力衰竭患者的短期超声心动图整体纵向应变评估。
ESC Heart Fail. 2020 Jun;7(3):964-972. doi: 10.1002/ehf2.12656. Epub 2020 Mar 31.
6
Trend of perceived quality of life and functional capacity in outpatients with chronic heart failure and in treatment with sacubitril/valsartan: a real-life experience.慢性心力衰竭门诊患者和沙库巴曲缬沙坦治疗患者感知生活质量和功能能力的趋势:真实体验。
Minerva Cardiol Angiol. 2022 Oct;70(5):555-562. doi: 10.23736/S2724-5683.20.05494-8. Epub 2021 Apr 7.
7
Low- vs high-dose ARNI effects on clinical status, exercise performance and cardiac function in real-life HFrEF patients.低剂量与高剂量 ARNI 对真实世界射血分数降低心衰患者临床状态、运动表现和心功能的影响。
Eur J Clin Pharmacol. 2022 Jan;78(1):19-25. doi: 10.1007/s00228-021-03210-0. Epub 2021 Sep 23.
8
Efficacy and safety of sacubitril/valsartan (LCZ696) in Japanese patients with chronic heart failure and reduced ejection fraction: Rationale for and design of the randomized, double-blind PARALLEL-HF study.沙库巴曲缬沙坦(LCZ696)在日本射血分数降低的慢性心力衰竭患者中的疗效与安全性:随机双盲PARALLEL-HF研究的原理与设计
J Cardiol. 2017 Sep;70(3):225-231. doi: 10.1016/j.jjcc.2016.11.011. Epub 2016 Dec 24.
9
Sacubitril/Valsartan in Patients With Heart Failure and Concomitant End-Stage Kidney Disease.沙库巴曲缬沙坦治疗心力衰竭合并终末期肾病患者的疗效。
J Am Heart Assoc. 2022 Sep 20;11(18):e026407. doi: 10.1161/JAHA.122.026407. Epub 2022 Sep 5.
10
Effects of sacubitril/valsartan on clinical symptoms, echocardiographic parameters, and outcomes in HFrEF and HFmrEF patients with coronary heart disease and chronic kidney disease.沙库巴曲缬沙坦对冠心病合并慢性肾脏病的射血分数降低心力衰竭和中间射血分数心力衰竭患者临床症状、超声心动图参数及结局的影响。
Curr Med Res Opin. 2021 Jul;37(7):1071-1078. doi: 10.1080/03007995.2021.1908243. Epub 2021 Apr 20.

引用本文的文献

1
Can Endothelin-1 Help Address the Diagnostic and Prognostic Challenges in Multimorbid Acute Heart Failure Patients?内皮素-1能否有助于应对多病共存的急性心力衰竭患者的诊断和预后挑战?
Life (Basel). 2025 Apr 9;15(4):628. doi: 10.3390/life15040628.
2
Effects of sacubitril/valsartan on renal function and outcome in patients with heart failure and reduced ejection fraction: an Italian cohort study.沙库巴曲缬沙坦对射血分数降低的心力衰竭患者肾功能和结局的影响:一项意大利队列研究。
Ther Adv Cardiovasc Dis. 2024 Jan-Dec;18:17539447241285136. doi: 10.1177/17539447241285136.
3
Left ventricular reverse remodeling after combined ARNI and SGLT2 therapy in heart failure patients with reduced or mildly reduced ejection fraction.

本文引用的文献

1
Predictors of sacubitril/valsartan high dose tolerability in a real world population with HFrEF.射血分数降低的心力衰竭(HFrEF)真实世界人群中沙库巴曲缬沙坦高剂量耐受的预测因素。
ESC Heart Fail. 2022 Oct;9(5):2909-2917. doi: 10.1002/ehf2.13982. Epub 2022 Jun 15.
2
2022 American College of Cardiology/American Heart Association/Heart Failure Society of America Guideline for the Management of Heart Failure: Executive Summary.2022年美国心脏病学会/美国心脏协会/美国心力衰竭学会心力衰竭管理指南:执行摘要
J Card Fail. 2022 May;28(5):810-830. doi: 10.1016/j.cardfail.2022.02.009. Epub 2022 Apr 1.
3
Echocardiographically defined haemodynamic categorization predicts prognosis in ambulatory heart failure patients treated with sacubitril/valsartan.
在射血分数降低或轻度降低的心力衰竭患者中,联合使用ARNI和SGLT2治疗后的左心室逆向重构。
Int J Cardiol Heart Vasc. 2024 Aug 20;54:101492. doi: 10.1016/j.ijcha.2024.101492. eCollection 2024 Oct.
4
Beyond Natriuretic Peptides: Unveiling the Power of Emerging Biomarkers in Heart Failure.超越利钠肽:揭示心力衰竭新兴生物标志物的力量。
Biomolecules. 2024 Mar 6;14(3):309. doi: 10.3390/biom14030309.
超声心动图定义的血液动力学分类预测了使用沙库巴曲缬沙坦治疗的门诊心力衰竭患者的预后。
ESC Heart Fail. 2022 Apr;9(2):1107-1117. doi: 10.1002/ehf2.13779. Epub 2022 Feb 5.
4
2021 ESC Guidelines for the diagnosis and treatment of acute and chronic heart failure: Developed by the Task Force for the diagnosis and treatment of acute and chronic heart failure of the European Society of Cardiology (ESC). With the special contribution of the Heart Failure Association (HFA) of the ESC.2021 ESC 急性和慢性心力衰竭诊断和治疗指南:由欧洲心脏病学会(ESC)急性和慢性心力衰竭诊断和治疗工作组制定。特别感谢欧洲心脏病学会心力衰竭协会(HFA)的贡献。
Eur J Heart Fail. 2022 Jan;24(1):4-131. doi: 10.1002/ejhf.2333.
5
Benefit from sacubitril/valsartan is associated with hemodynamic improvement in heart failure with reduced ejection fraction: An echocardiographic study.沙库巴曲缬沙坦使射血分数降低的心力衰竭患者获益与血液动力学改善相关:一项超声心动图研究。
Int J Cardiol. 2022 Mar 1;350:62-68. doi: 10.1016/j.ijcard.2022.01.004. Epub 2022 Jan 5.
6
Novel active fixation lead guided by electrical delay can improve response to cardiac resynchronization therapy in heart failure.新型主动固定导联通过电延迟引导可改善心力衰竭患者心脏再同步治疗的反应。
ESC Heart Fail. 2022 Feb;9(1):146-154. doi: 10.1002/ehf2.13727. Epub 2021 Dec 24.
7
Low- vs high-dose ARNI effects on clinical status, exercise performance and cardiac function in real-life HFrEF patients.低剂量与高剂量 ARNI 对真实世界射血分数降低心衰患者临床状态、运动表现和心功能的影响。
Eur J Clin Pharmacol. 2022 Jan;78(1):19-25. doi: 10.1007/s00228-021-03210-0. Epub 2021 Sep 23.
8
Trend of perceived quality of life and functional capacity in outpatients with chronic heart failure and in treatment with sacubitril/valsartan: a real-life experience.慢性心力衰竭门诊患者和沙库巴曲缬沙坦治疗患者感知生活质量和功能能力的趋势:真实体验。
Minerva Cardiol Angiol. 2022 Oct;70(5):555-562. doi: 10.23736/S2724-5683.20.05494-8. Epub 2021 Apr 7.
9
Effects of Sacubitril/Valsartan in Patients with High Arrhythmic Risk and an ICD: A Longitudinal Study.沙库巴曲缬沙坦对伴有高心律失常风险和 ICD 患者的影响:一项纵向研究。
Clin Drug Investig. 2021 Feb;41(2):169-176. doi: 10.1007/s40261-020-00995-3. Epub 2021 Jan 23.
10
Time-based clinical and functional achievements in real-life HF patients on ARNI treatment.接受ARNI治疗的现实生活中的心衰患者基于时间的临床和功能成就。
Eur J Intern Med. 2020 Jun;76:115-117. doi: 10.1016/j.ejim.2020.02.007. Epub 2020 Feb 20.