Suppr超能文献

基于磁共振成像,在ACL损伤的膝关节中,远端卡普兰纤维和前外侧韧带损伤与更大的关节内胫骨内旋相关。

Distal Kaplan fibers and anterolateral ligament injuries are associated with greater intra-articular internal tibial rotation in ACL-deficient knees based on magnetic resonance imaging.

作者信息

Farinelli Luca, Meena Amit, Sonnery-Cottet Bertrand, Vieira Thais Dutra, Pioger Charles, Tapasvi Sachin, Abermann Elisabeth, Hoser Christian, Fink Christian

机构信息

Clinical Orthopaedics, Department of Clinical and Molecular Sciences, Università Politecnica Delle Marche, Ancona, Italy.

Gelenkpunkt - Sports and Joint Surgery, Olympiastraße 39, Innsbruck, 6020, Austria.

出版信息

J Exp Orthop. 2023 Nov 9;10(1):113. doi: 10.1186/s40634-023-00682-0.

Abstract

PURPOSE

The purpose of the present study was to assess the internal rotation of the tibia on Magnetic Resonance Imaging (MRI) in a series of consecutive athletes with Anterior cruciate Ligament (ACL) tears.

METHODS

Retrospective analysis of prospectively collected data was performed to include all consecutive patients who had undergone primary ACL reconstruction between January 2022 and June 2022. The angle between surgical epicondylar axes (SEA) of the knee and posterior tibial condyles (PTC) was measured. A negative value was defined as internal torsion. KFs and ALL injuries were reported. Analysis of covariance (ANCOVA) was performed to examine the independent associations between SEA-PTC angle and injuries of KFs and ALL adjusted for physical variables (age, gender and body mass index [BMI]). Statistical significance was set at a p-value of < 0.05.

RESULTS

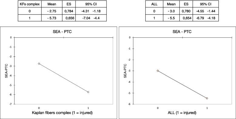
A total of 83 eligible patients were included. The result of multiple linear regression analysis showed that internal tibial rotation was associated with KFs and ALL injuries. The estimated average of SEA-PTC angle in relation to ALL injuries controlling the other variables was -5.49 [95%CI -6.79 - (-4.18)] versus -2.99 [95%CI -4.55 - (-1.44)] without ALL injuries. On the other hand, the estimated average of SEA-PTC angle in relation to KFs lesions controlling the other variables was -5.73 [95%CI -7.04 - (-4.43)] versus -2.75 [95%CI -4.31 - (-1.18)] without KFs injuries.

CONCLUSIONS

KFs and ALL injuries were associated with an increased intra-articular internal tibial rotation in ACL-deficient knees. The measurement of femorotibial rotation on axial MRI could be useful to detect indirect signs of anterolateral complex (ALC) injuries.

摘要

目的

本研究的目的是在一系列连续的前交叉韧带(ACL)撕裂的运动员中,通过磁共振成像(MRI)评估胫骨的内旋情况。

方法

对前瞻性收集的数据进行回顾性分析,纳入2022年1月至2022年6月期间所有接受初次ACL重建的连续患者。测量膝关节手术髁上轴(SEA)与后胫骨髁(PTC)之间的角度。负值定义为内扭转。报告了髁间窝(KFs)和前外侧韧带(ALL)损伤情况。进行协方差分析(ANCOVA),以检验SEA - PTC角度与KFs和ALL损伤之间的独立关联,并对身体变量(年龄、性别和体重指数[BMI])进行校正。设定p值<0.05为具有统计学意义。

结果

共纳入83例符合条件的患者。多元线性回归分析结果显示,胫骨内旋与KFs和ALL损伤有关。在控制其他变量的情况下,与ALL损伤相关的SEA - PTC角度估计平均值为-5.49 [95%置信区间 -6.79 - (-4.18)],而无ALL损伤时为-2.99 [95%置信区间 -4.55 - (-1.44)]。另一方面,在控制其他变量的情况下,与KFs损伤相关的SEA - PTC角度估计平均值为-5.73 [95%置信区间 -7.04 - (-4.43)],而无KFs损伤时为-2.75 [95%置信区间 -4.31 - (-1.18)]。

结论

KFs和ALL损伤与ACL缺失膝关节内关节内胫骨内旋增加有关。在轴向MRI上测量股胫旋转可能有助于检测前外侧复合体(ALC)损伤的间接征象。

https://cdn.ncbi.nlm.nih.gov/pmc/blobs/ff1f/10635991/4b74bdcd7b33/40634_2023_682_Fig1_HTML.jpg

文献AI研究员

20分钟写一篇综述,助力文献阅读效率提升50倍。

立即体验

用中文搜PubMed

大模型驱动的PubMed中文搜索引擎

马上搜索

文档翻译

学术文献翻译模型,支持多种主流文档格式。

立即体验