Suppr超能文献

利用分子和常规方法相结合培育落叶后再生量减少的高产陆地棉基因型。

Development of High-Yielding Upland Cotton Genotypes with Reduced Regrowth after Defoliation Using a Combination of Molecular and Conventional Approaches.

机构信息

Department of Plant and Environmental Sciences, Clemson University Pee Dee Research and Education Center, Florence, SC 29506, USA.

USDA-ARS Southern Regional Research Center, New Orleans, LA 70124, USA.

出版信息

Genes (Basel). 2023 Nov 15;14(11):2081. doi: 10.3390/genes14112081.

Abstract

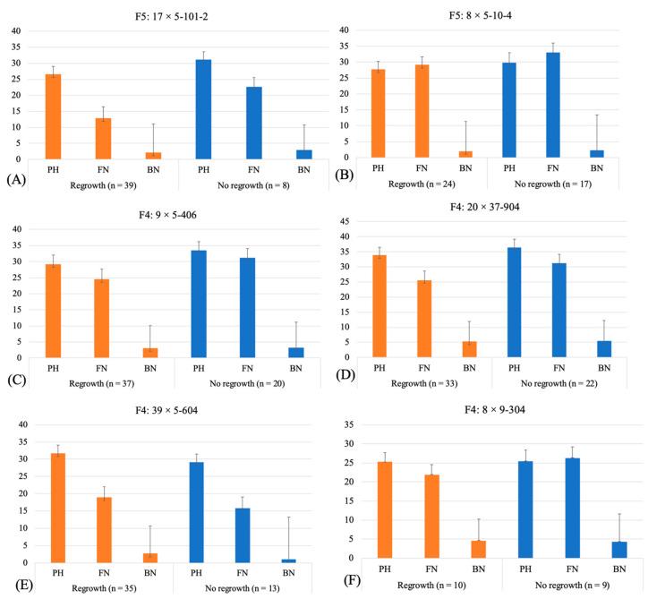
Cotton is an economically important crop. However, the yield gain in cotton has stagnated over the years, probably due to its narrow genetic base. The introgression of beneficial variations through conventional and molecular approaches has helped broaden its genetic base to some extent. The growth habit of cotton is one of the crucial factors that determine crop maturation time, yield, and management. This study used 44 diverse upland cotton genotypes to develop high-yielding cotton germplasm with reduced regrowth after defoliation and early maturity by altering its growth habit from perennial to somewhat annual. We selected eight top-scoring genotypes based on the gene expression analysis of five floral induction and meristem identity genes (, , , , and ) and used them to make a total of 587 genetic crosses in 30 different combinations of these genotypes. High-performance progeny lines were selected based on the phenotypic data on plant height, flower and boll numbers per plant, boll opening date, floral clustering, and regrowth after defoliation as surrogates of annual growth habit, collected over four years (2019 to 2022). Of the selected lines, 8×5-B3, 8×5-B4, 9×5-C1, 8×9-E2, 8×9-E3, and 39×5-H1 showed early maturity, and 20×37-K1, 20×37-K2, and 20×37-D1 showed clustered flowering, reduced regrowth, high quality of fiber, and high lint yield. In 2022, 15 advanced lines (F/F) from seven cross combinations were selected and sent for an increase to a Costa Rica winter nursery to be used in advanced testing and for release as germplasm lines. In addition to these breeding lines, we developed molecular resources to breed for reduced regrowth after defoliation and improved yield by converting eight expression-trait-associated SNP markers we identified earlier into a user-friendly allele-specific PCR-based assay and tested them on eight parental genotypes and an F population.

摘要

棉花是一种经济上重要的作物。然而,近年来棉花的产量增长已经停滞不前,这可能是由于其遗传基础狭窄。通过传统和分子方法导入有益的变异,在一定程度上帮助拓宽了其遗传基础。棉花的生长习性是决定作物成熟时间、产量和管理的关键因素之一。本研究使用 44 种不同的陆地棉基因型,通过改变其从多年生到某种程度上的一年生的生长习性,来培育具有减少落叶后再生和早熟的高产棉花种质资源。我们根据五个花诱导和分生组织身份基因(、、、和)的基因表达分析,选择了八个得分最高的基因型,并使用它们总共对 30 个不同基因型组合中的 587 个遗传杂交。根据四年来(2019 年至 2022 年)收集的植物高度、每株花和铃数、铃开放日期、花簇集和落叶后再生等表型数据,选择了高表现型的后代系,作为一年生生长习性的替代物。在所选择的系中,8×5-B3、8×5-B4、9×5-C1、8×9-E2、8×9-E3 和 39×5-H1 表现出早熟,20×37-K1、20×37-K2 和 20×37-D1 表现出簇状开花、减少再生、纤维质量高和皮棉产量高。2022 年,从七个杂交组合中选择了 15 个高级系(F/F),并送往哥斯达黎加冬季苗圃进行增加,以用于高级测试,并作为种质系释放。除了这些育成系之外,我们还开发了分子资源,通过将我们之前确定的八个表达性状相关 SNP 标记转化为一种用户友好的等位基因特异性 PCR 基于的测定方法,并在八个亲本基因型和一个 F 群体上进行了测试,来培育减少落叶后再生和提高产量。

https://cdn.ncbi.nlm.nih.gov/pmc/blobs/3218/10671241/b54e4b6b23e1/genes-14-02081-g001.jpg

文献AI研究员

20分钟写一篇综述,助力文献阅读效率提升50倍。

立即体验

用中文搜PubMed

大模型驱动的PubMed中文搜索引擎

马上搜索

文档翻译

学术文献翻译模型,支持多种主流文档格式。

立即体验