Rusu Aura, Moga Ioana-Maria, Uncu Livia, Hancu Gabriel
Pharmaceutical and Therapeutic Chemistry Department, Faculty of Pharmacy, George Emil Palade University of Medicine, Pharmacy, Science and Technology of Targu Mures, 540142 Targu Mures, Romania.
Scientific Center for Drug Research, "Nicolae Testemitanu" State University of Medicine and Pharmacy, 8 Bd. Stefan Cel Mare si Sfant 165, MD-2004 Chisinau, Moldova.
Pharmaceutics. 2023 Oct 29;15(11):2554. doi: 10.3390/pharmaceutics15112554.
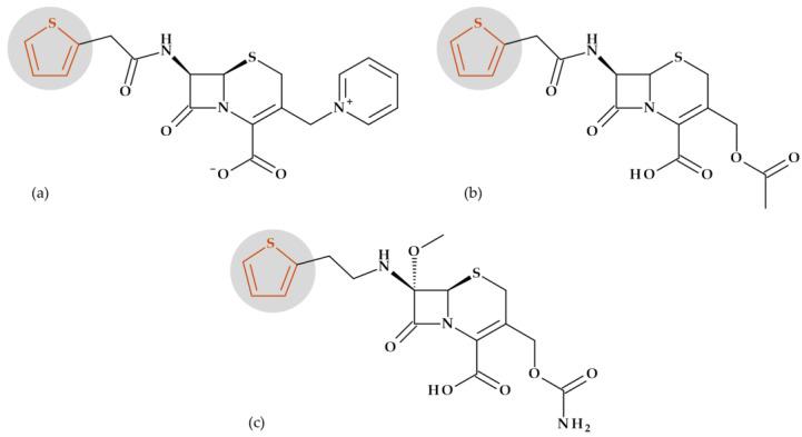
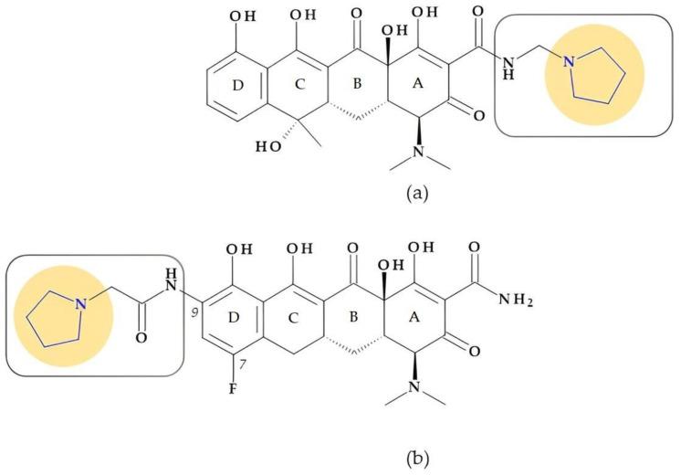
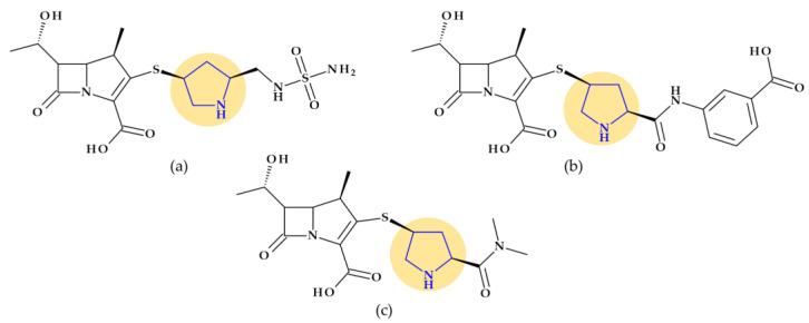
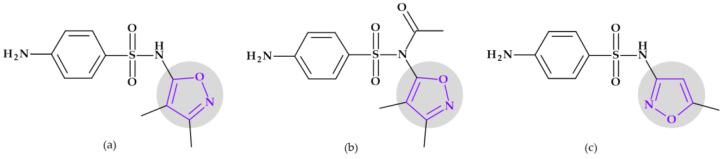
Five-membered heterocycles are essential structural components in various antibacterial drugs; the physicochemical properties of a five-membered heterocycle can play a crucial role in determining the biological activity of an antibacterial drug. These properties can affect the drug's activity spectrum, potency, and pharmacokinetic and toxicological properties. Using scientific databases, we identified and discussed the antibacterials used in therapy, containing five-membered heterocycles in their molecular structure. The identified five-membered heterocycles used in antibacterial design contain one to four heteroatoms (nitrogen, oxygen, and sulfur). Antibacterials containing five-membered heterocycles were discussed, highlighting the biological properties imprinted by the targeted heterocycle. In some antibacterials, heterocycles with five atoms are pharmacophores responsible for their specific antibacterial activity. As pharmacophores, these heterocycles help design new medicinal molecules, improving their potency and selectivity and comprehending the structure-activity relationship of antibiotics. Unfortunately, particular heterocycles can also affect the drug's potential toxicity. The review extensively presents the most successful five-atom heterocycles used to design antibacterial essential medicines. Understanding and optimizing the intrinsic characteristics of a five-membered heterocycle can help the development of antibacterial drugs with improved activity, pharmacokinetic profile, and safety.
五元杂环是各类抗菌药物的重要结构组成部分;五元杂环的物理化学性质在决定抗菌药物的生物活性方面可发挥关键作用。这些性质会影响药物的活性谱、效力以及药代动力学和毒理学性质。通过科学数据库,我们识别并讨论了治疗中使用的、分子结构中含有五元杂环的抗菌药物。在抗菌药物设计中使用的已识别五元杂环含有一至四个杂原子(氮、氧和硫)。我们讨论了含有五元杂环的抗菌药物,突出了目标杂环赋予的生物学性质。在一些抗菌药物中,五元杂环是其特定抗菌活性的药效基团。作为药效基团,这些杂环有助于设计新的药用分子,提高其效力和选择性,并理解抗生素的构效关系。不幸的是,特定杂环也可能影响药物的潜在毒性。本综述广泛介绍了用于设计抗菌基本药物的最成功的五元杂环。了解并优化五元杂环的内在特性有助于开发活性更高、药代动力学特性更好且安全性更高的抗菌药物。