Suppr超能文献

马来西亚登嘉楼州瓜拉尼鲁斯的季节性底栖物种组成与沿海防御结构(CDS)有关。

Seasonal benthic species composition linked to coastal defense structures (CDS) in Kuala Nerus, Terengganu, Malaysia.

机构信息

Institute of Oceanography and Environment, Universiti Malaysia Terengganu, Kuala Nerus, Terengganu, Malaysia.

Faculty of Science and Marine Environment, Universiti Malaysia Terengganu, Kuala Nerus, Terengganu, Malaysia.

出版信息

PeerJ. 2023 Nov 14;11:e16203. doi: 10.7717/peerj.16203. eCollection 2023.

Abstract

BACKGROUND

The natural hydrodynamic process of Kuala Nerus, Terengganu, has changed since the extension of Sultan Mahmud Airport runway in 2008. Consequently, severe coastal erosion has occurred in the area, particularly during the northeast monsoon season (NEM). Numerous types of coastal defense structures (CDS) have been constructed to protect the coastline. Despite the loss of esthetic values, the effect of CDS construction on marine organisms in the area remains unknown. Hence, this study aims to assess the ecological aspects of macrobenthic compositions at the CDS area of Kuala Nerus, Terengganu, based on the differences between the southwest (SWM) and northeast (NEM) monsoon seasons.

METHODS

Macrobenthos were collected from the sediment in July (SWM) and December 2021 (NEM) using the Ponar grab at 12 substations from five sampling stations.

RESULTS

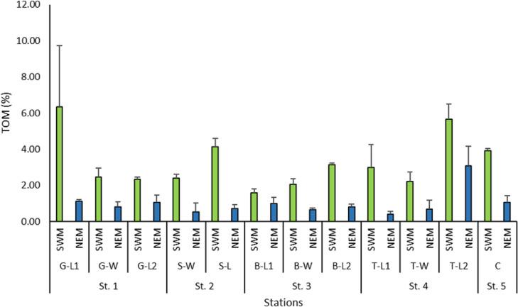
The density of macrobenthos was higher in SWM (48,190.82 ind./m) than in NEM (24,504.83 ind./m), with phylum Mollusca recording the highest species composition (60-99.3%). The macrobenthos species had a low to moderate level of diversity (H' = 1.4-3.1) with the species were almost evenly distributed (J' = 0.2-0.8). Windward substations exhibited coarser grain sizes (38.56%-86.84%), whereas landward substations exhibited very fine grain sizes (44.26%-86.70%). The SWM season recorded a higher organic matter content (1.6%-6.33%) than the NEM season (0.4%-3.1%). However, metal concentrations in the surface sediment were within the safe range and permissible limits for both seasons, inferring that the macrobenthos composition was unaffected.

DISCUSSION

This study demonstrated that the CDS associated with the monsoon system has controlled the hydrodynamics and nearshore sedimentary processes in the Kuala Nerus coastal zone, thereby affecting the macrobenthos population, in terms of richness and density. The ecological and energetic effects of the coastal structures in different seasons have resulted in a more significant result, with the SWM exhibiting a higher macrobenthos composition than the NEM.

摘要

背景

自 2008 年苏门答腊 Mahmud 机场跑道扩建以来,登嘉楼州 Kuala Nerus 的自然水动力过程发生了变化。因此,该地区发生了严重的海岸侵蚀,特别是在东北季风季节(NEM)期间。已经建造了许多种海岸防护结构(CDS)来保护海岸线。尽管损失了美观价值,但 CDS 建设对该地区海洋生物的影响仍不清楚。因此,本研究旨在根据西南季风季节(SWM)和东北季风季节(NEM)之间的差异,评估登嘉楼州 Kuala Nerus 的 CDS 区域的大型底栖生物组成的生态方面。

方法

使用 Ponar 抓斗在五个采样站的 12 个分站从沉积物中采集 2021 年 7 月(SWM)和 12 月(NEM)的大型底栖动物。

结果

SWM 的大型底栖动物密度(48190.82 ind./m)高于 NEM(24504.83 ind./m),门 Mollusca 的物种组成最高(60-99.3%)。大型底栖动物的物种多样性水平较低(H'=1.4-3.1),物种分布几乎均匀(J'=0.2-0.8)。迎风分站的粒径较粗(38.56%-86.84%),而向陆分站的粒径非常细(44.26%-86.70%)。SWM 季节的有机质含量(1.6%-6.33%)高于 NEM 季节(0.4%-3.1%)。然而,两个季节的表层沉积物中的金属浓度均在安全范围内和允许范围内,这表明大型底栖动物的组成不受影响。

讨论

本研究表明,与季风系统相关的 CDS 控制了登嘉楼州 Kuala Nerus 沿海带的水动力和近岸沉积过程,从而影响了大型底栖动物的种群,在丰富度和密度方面。不同季节的海岸结构的生态和能量效应产生了更显著的结果,SWM 的大型底栖动物组成高于 NEM。

https://cdn.ncbi.nlm.nih.gov/pmc/blobs/7ac9/10655723/b37c073e0c3e/peerj-11-16203-g001.jpg

文献AI研究员

20分钟写一篇综述,助力文献阅读效率提升50倍。

立即体验

用中文搜PubMed

大模型驱动的PubMed中文搜索引擎

马上搜索

文档翻译

学术文献翻译模型,支持多种主流文档格式。

立即体验