Chen Zhihong, Shi Ning, Xing Cheng, Zou Yiping, Zhang Yuanpeng, Chen Zhenrong, Wu Fan, Jin Haosheng, Chen Rufu, Dai Menghua
Department of General Surgery, Peking Union Medical College Hospital, Peking Union Medical College, Chinese Academy of Medical Sciences, Beijing, China.
Department of General Surgery, Guangdong Provincial People's Hospital, Guangdong Academy of Medical Sciences, Southern Medical University, Guangzhou, China.
Hepatobiliary Surg Nutr. 2023 Dec 1;12(6):868-881. doi: 10.21037/hbsn-22-382. Epub 2023 Mar 2.
The incidence of new-onset diabetes mellitus (NODM) after distal pancreatectomy (DP) remains high. Few studies have focused on NODM in patients with pancreatic benign or low-grade malignant lesions (PBLML). This study aimed to develop and validate an effective clinical model for risk prediction and stratification of NODM after DP in patients with PBLML.
A follow-up survey was conducted to investigate NODM in patients without preoperative DM who underwent DP. Four hundred and forty-eight patients from Peking Union Medical College Hospital (PUMCH) and 178 from Guangdong Provincial People's Hospital (GDPH) met the inclusion criteria. They constituted the training cohort and the validation cohort, respectively. Univariate and multivariate Cox regression, as well as least absolute shrinkage and selection operator (LASSO) analyses, were used to identify the independent risk factors. The nomogram was constructed and verified. Concordance index (C-index), receiver operating characteristic (ROC) curve, calibration curves, and decision curve analysis (DCA) were applied to assess its predictive performance and clinical utility. Accordingly, the optimal cut-off point was determined by maximally selected rank statistics method, and the cumulative risk curves for the high- and low-risk populations were plotted to evaluate the discrimination ability of the nomogram.
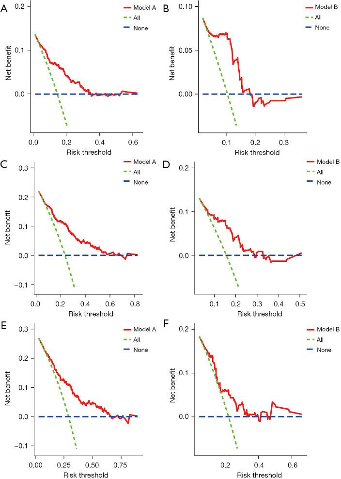
The median follow-up duration was 42.8 months in the PUMCH cohort and 42.9 months in the GDPH cohort. The postoperative cumulative 5-year incidences of DM were 29.1% and 22.1%, respectively. Age, body mass index (BMI), length of pancreatic resection, intraoperative blood loss, and concomitant splenectomy were significant risk factors. The nomogram demonstrated significant predictive utility for post-pancreatectomy DM. The C-indexes of the nomogram were 0.739 and 0.719 in the training and validation cohorts, respectively. ROC curves demonstrated the predictive accuracy of the nomogram, and the calibration curves revealed that prediction results were in general agreement with the actual results. The considerable clinical applicability of the nomogram was certified by DCA. The optimal cut-off point for risk prediction value was 2.88, and the cumulative risk curves of each cohort showed significant differences between the high- and low-risk groups.
The nomogram could predict and identify the NODM risk population, and provide guidance to physicians in monitoring and controlling blood glucose levels in PBLML patients after DP.
胰体尾切除术(DP)后新发糖尿病(NODM)的发生率仍然很高。很少有研究关注胰腺良性或低级别恶性病变(PBLML)患者的NODM。本研究旨在建立并验证一种有效的临床模型,用于预测和分层PBLML患者DP术后NODM的风险。
对接受DP的术前无糖尿病患者进行随访调查,以研究NODM情况。北京协和医院(PUMCH)的448例患者和广东省人民医院(GDPH)的178例患者符合纳入标准,分别构成训练队列和验证队列。采用单因素和多因素Cox回归以及最小绝对收缩和选择算子(LASSO)分析来确定独立危险因素。构建并验证列线图。应用一致性指数(C-index)、受试者工作特征(ROC)曲线、校准曲线和决策曲线分析(DCA)来评估其预测性能和临床实用性。据此,通过最大选择秩统计方法确定最佳截断点,并绘制高风险和低风险人群的累积风险曲线,以评估列线图的辨别能力。
PUMCH队列的中位随访时间为42.8个月,GDPH队列的中位随访时间为42.9个月。术后5年糖尿病累积发生率分别为29.1%和22.1%。年龄、体重指数(BMI)、胰腺切除长度、术中失血和同期脾切除术是显著的危险因素。列线图对胰切除术后糖尿病具有显著的预测效用。训练队列和验证队列中列线图的C-index分别为0.739和0.719。ROC曲线显示了列线图的预测准确性,校准曲线显示预测结果与实际结果总体一致。DCA证实了列线图具有相当的临床适用性。风险预测值的最佳截断点为2.88,每个队列的累积风险曲线显示高风险组和低风险组之间存在显著差异。
列线图可以预测和识别NODM风险人群,并为医生监测和控制PBLML患者DP术后的血糖水平提供指导。