Suppr超能文献

由油酸盐包覆的氧化钇稳定氧化锆纳米颗粒组成的电解质的离子电导率

Ionic Conductivity of Electrolytes Composed of Oleate-Capped Yttria-Stabilized Zirconia Nanoparticles.

作者信息

Makinose Yuki, Yamada Tetsuya, Kubota Yuta

机构信息

Graduate School of Natural Science and Technology, Shimane University, 1060 Nishikawatsu-cho, Matsue 690-8504, Japan.

Laboratory for Future Interdisciplinary Research of Science and Technology, Tokyo Institute of Technology, 4259 Nagatsuta, Midori, Yokohama, Kanagawa 226-8503, Japan.

出版信息

ACS Omega. 2023 Dec 7;8(51):48728-48734. doi: 10.1021/acsomega.3c05368. eCollection 2023 Dec 26.

Abstract

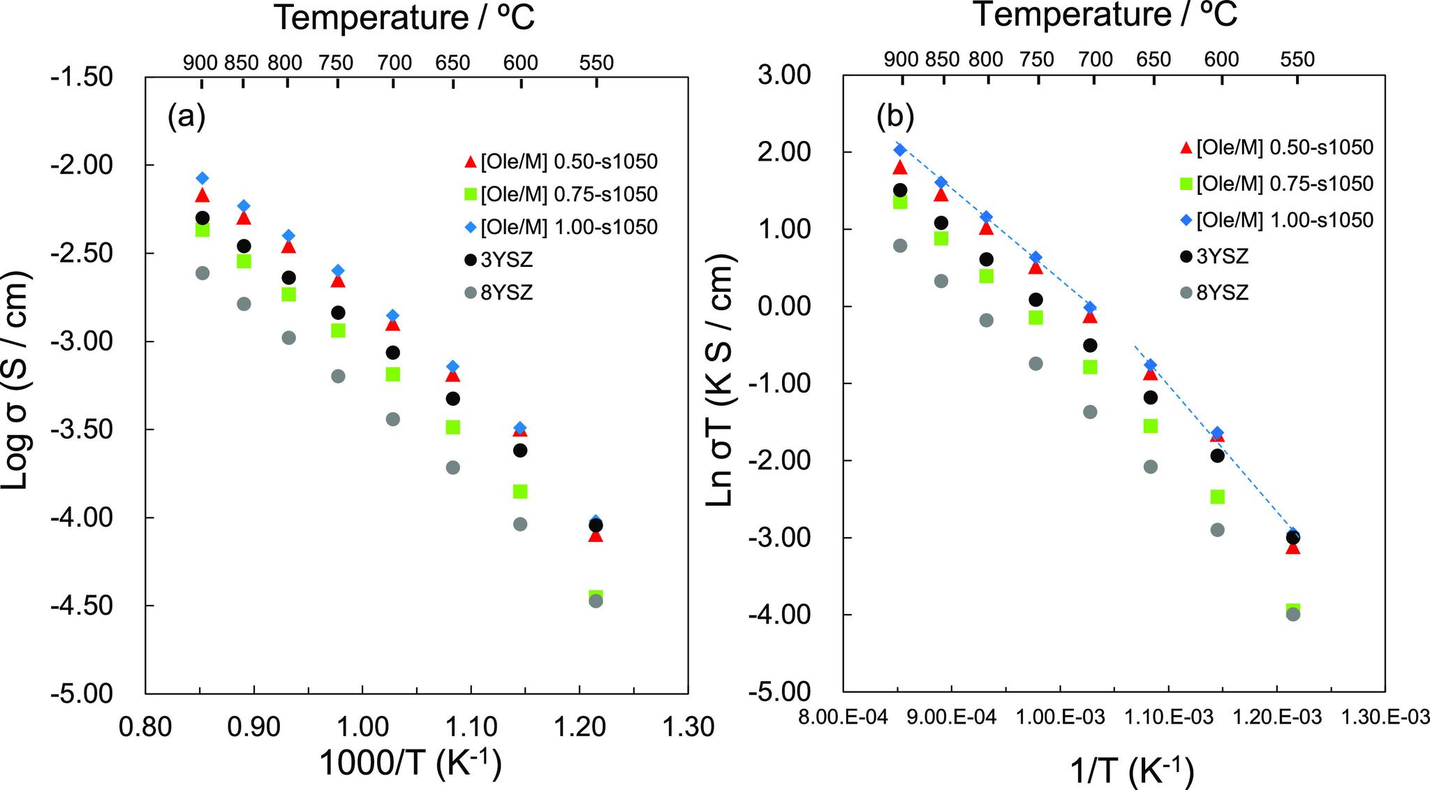
Yttria-stabilized zirconia (YSZ) is a highly promising electrolyte material for solid oxide fuel cells (SOFCs). We investigated the conductivity-enhancing effect of nanosized YSZ to explore key techniques to decrease the operating temperature. YSZ nanoparticles ranging from 2 to 4 nm were synthesized with oleate groups by the hydrothermal method at various oleate/metal ion ratios (Ole/M = 1.00, 0.75, and 0.50). The nanoparticles were sintered, and the ionic conductivities were evaluated. The 1.00 Ole/M sample exhibited high dispersibility in cyclohexane and showed a nearly monodispersed distribution. The other samples possessed agglomerated nanoparticles. The sintered YSZ nanoparticles had densities of 3.36-2.80 g/cm and ionic conductivities of 2.52-1.16 mS/cm at 750 °C, which are higher than those of commercial 8 mol % YSZ. Furthermore, the sintered YSZ nanoparticles exhibited higher activation energies than the commercial samples in the lower temperature range (550-650 °C). The ionic conductivity enhancement despite the high activation energy is likely due to the increased grain boundary volume. This study demonstrated the successful production of YSZ with high ionic conductivity and sinterability upon sintering at 1050 °C using YSZ nanoparticles.

摘要

氧化钇稳定的氧化锆(YSZ)是一种极有前景的用于固体氧化物燃料电池(SOFC)的电解质材料。我们研究了纳米级YSZ的电导率增强效应,以探索降低工作温度的关键技术。通过水热法在不同的油酸酯/金属离子比(Ole/M = 1.00、0.75和0.50)下合成了粒径范围为2至4纳米且带有油酸酯基团的YSZ纳米颗粒。对这些纳米颗粒进行烧结,并评估其离子电导率。Ole/M为1.00的样品在环己烷中表现出高分散性,呈现出近乎单分散的分布。其他样品则具有团聚的纳米颗粒。烧结后的YSZ纳米颗粒在750°C下的密度为3.36 - 2.80 g/cm³,离子电导率为2.52 - 1.16 mS/cm,高于商业8 mol% YSZ的相应值。此外,在较低温度范围(550 - 650°C)内,烧结后的YSZ纳米颗粒比商业样品表现出更高的活化能。尽管活化能较高,但离子电导率的提高可能归因于晶界体积的增加。本研究表明,使用YSZ纳米颗粒在1​​050°C烧结后成功制备出了具有高离子电导率和可烧结性的YSZ。

https://cdn.ncbi.nlm.nih.gov/pmc/blobs/049f/10753559/7d3bc018a760/ao3c05368_0001.jpg

相似文献

1
Ionic Conductivity of Electrolytes Composed of Oleate-Capped Yttria-Stabilized Zirconia Nanoparticles.
ACS Omega. 2023 Dec 7;8(51):48728-48734. doi: 10.1021/acsomega.3c05368. eCollection 2023 Dec 26.
4
A novel yttrium stabilized zirconia and ceria composite electrolyte lowering solid oxide fuel cells working temperature to 400 °C.
RSC Adv. 2023 Nov 14;13(47):33430-33436. doi: 10.1039/d3ra01507f. eCollection 2023 Nov 7.
5
Nanocrystal Engineering of Thin-Film Yttria-Stabilized Zirconia Electrolytes for Low-Temperature Solid-Oxide Fuel Cells.
ACS Appl Mater Interfaces. 2023 Sep 13;15(36):42659-42666. doi: 10.1021/acsami.3c09025. Epub 2023 Sep 4.
6
Composite electrolyte used for low temperature SOFCs to work at 390°C.
iScience. 2023 Jun 1;26(7):107002. doi: 10.1016/j.isci.2023.107002. eCollection 2023 Jul 21.
7
Solid Oxide Fuel Cells with Magnetron Sputtered Single-Layer SDC and Multilayer SDC/YSZ/SDC Electrolytes.
Membranes (Basel). 2023 Jun 5;13(6):585. doi: 10.3390/membranes13060585.
8
Nanocrystalline Yttria-Stabilized Zirconia Ceramics for Cranial Window Applications.
ACS Appl Bio Mater. 2022 Jun 20;5(6):2664-2675. doi: 10.1021/acsabm.2c00119. Epub 2022 Jun 7.

本文引用的文献

1
Oriented Attachment: From Natural Crystal Growth to a Materials Engineering Tool.
Acc Chem Res. 2021 Feb 16;54(4):787-797. doi: 10.1021/acs.accounts.0c00739. Epub 2021 Jan 27.
2
NIH Image to ImageJ: 25 years of image analysis.
Nat Methods. 2012 Jul;9(7):671-5. doi: 10.1038/nmeth.2089.

文献AI研究员

20分钟写一篇综述,助力文献阅读效率提升50倍。

立即体验

用中文搜PubMed

大模型驱动的PubMed中文搜索引擎

马上搜索

文档翻译

学术文献翻译模型,支持多种主流文档格式。

立即体验