Crespo Priscila Centeno, Anderson Meira Martins Leo, Martins Otávio Garcia, Camacho Dos Reis Clara, Goulart Ricardo Netto, de Souza Andressa, Medeiros Liciane Fernandes, Scarabelot Vanessa Leal, Gamaro Giovana Duzzo, Silva Sabrina Pereira, de Oliveira Marcos Roberto, Torres Iraci Lucena da Silva, de Souza Izabel Cristina Custódio
Postgraduate Program in Biochemistry and Bioprospection, Universidade Federal de Pelotas, Pelotas (UFPel), Pelotas, Rio Grande do Sul (RS), Brazil.
Laboratory of Cellular Neuromodulation: Basic Sciences, Institute of Biology, Department of Morphology, UFPel, Pelotas, RS, Brazil.
AIMS Neurosci. 2023 Dec 15;10(4):433-446. doi: 10.3934/Neuroscience.2023032. eCollection 2023.
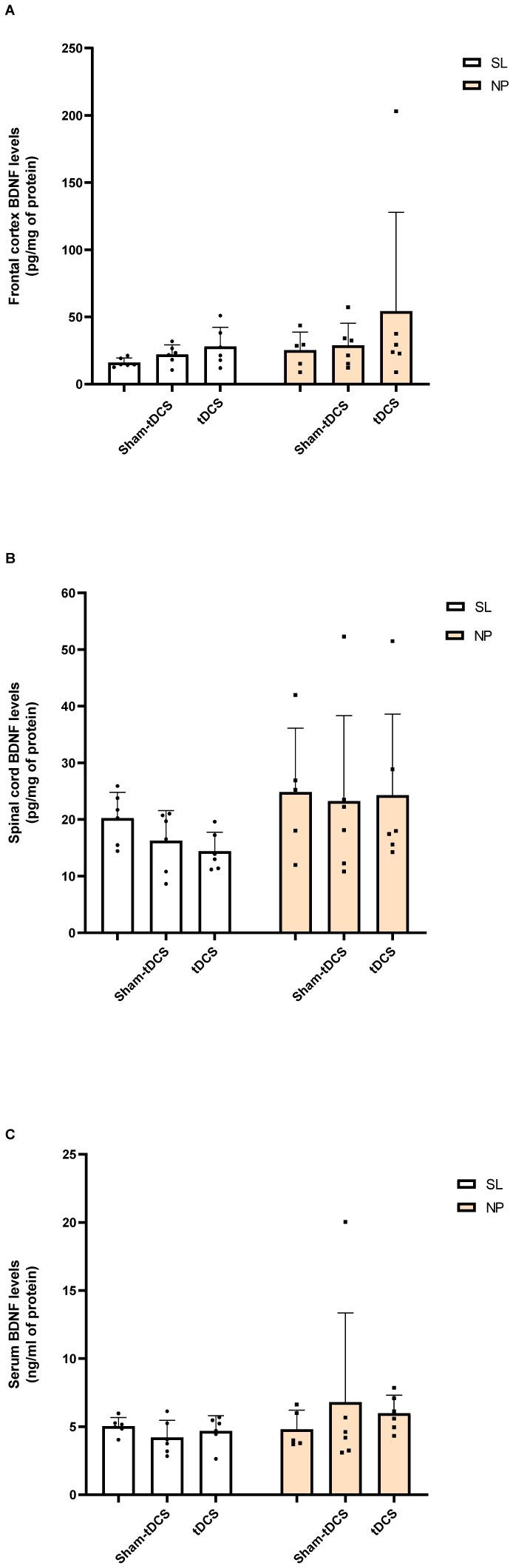
Neuropathic pain (NP) is caused by a lesion that triggers pain chronification and central sensitization and it can develop in a different manner, dependent of age. Recent studies have demonstrated the efficacy of transcranial direct current stimulation (tDCS) for treating NP. Then, we aimed to investigate the effects of tDCS and BDNF levels in neuropathic pain rats in development, with 30 days old in the beginning of experiments. Eight-five male rats were subjected to chronic constriction injury. After establishment of NP, bimodal tDCS was applied to the rats for eight consecutive days, for 20 minutes each session. Subsequently, nociceptive behavior was assessed at baseline, 14 days after surgery, 1 day and 7 days after the end of tDCS. The rats were sacrificed 8 days after the last session of tDCS. An increase in the nociceptive threshold was observed in rats in development 1 day after the end of tDCS (short-term effect), but this effect was not maintained 7 days after the end of tDCS (long-term effect). Furthermore, brain derived neurotrophic factor (BDNF) levels were analyzed in the frontal cortex, spinal cord and serum using ELISA assays. The neuropathic pain model showed an effect of BDNF in the spinal cord of rats in development. There were no effects of BNDF levels of pain or tDCS in the frontal cortex or serum. In conclusion, tDCS is an effective technique to relieve nociceptive behavior at a short-term effect in neuropathic pain rats in development, and BDNF levels were not altered at long-term effect.
神经病理性疼痛(NP)由引发疼痛慢性化和中枢敏化的损伤所致,其发展方式因年龄而异。近期研究已证实经颅直流电刺激(tDCS)治疗NP的有效性。于是,我们旨在研究tDCS及脑源性神经营养因子(BDNF)水平对发育阶段神经病理性疼痛大鼠的影响,实验开始时大鼠为30日龄。85只雄性大鼠接受慢性缩窄性损伤。建立NP模型后,对大鼠连续8天施加双向tDCS,每次20分钟。随后,在基线、术后14天、tDCS结束后1天和7天评估伤害性感受行为。在最后一次tDCS治疗后8天处死大鼠。在tDCS结束后1天(短期效应)观察到发育阶段大鼠的伤害性感受阈值升高,但在tDCS结束后7天(长期效应)这种效应未持续。此外,使用酶联免疫吸附测定法(ELISA)分析额叶皮质、脊髓和血清中的BDNF水平。神经病理性疼痛模型显示BDNF对发育阶段大鼠脊髓有影响。BDNF水平在额叶皮质或血清中对疼痛或tDCS均无影响。总之,tDCS是一种在短期内有效缓解发育阶段神经病理性疼痛大鼠伤害性感受行为的技术,且长期效应下BDNF水平未改变。