Suppr超能文献

含双(吲唑 - 1 - 基)甲烷配体的空气和水稳定的杂配铜(I)配合物:合成、表征及计算研究

Air- and Water-Stable Heteroleptic Copper (I) Complexes Bearing Bis(indazol-1-yl)methane Ligands: Synthesis, Characterisation, and Computational Studies.

作者信息

Moreno-da Costa David, Zúñiga-Loyola César, Droghetti Federico, Robles Stephania, Villegas-Menares Alondra, Villegas-Escobar Nery, Gonzalez-Pavez Ivan, Molins Elies, Natali Mirco, Cabrera Alan R

机构信息

Departamento de Química Inorgánica, Facultad de Química y de Farmacia, Pontificia Universidad Católica de Chile, Avenida Vicuña Mackenna 4860, Macul, Santiago 7820436, Chile.

Departamento de Química de Los Materiales, Facultad de Química y Biología, Universidad de Santiago de Chile, Casilla 40, Correo 33, Sucursal Matucana, Santiago 9170022, Chile.

出版信息

Molecules. 2023 Dec 20;29(1):47. doi: 10.3390/molecules29010047.

Abstract

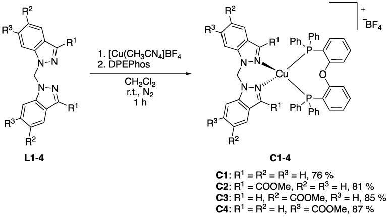
A series of four novel heteroleptic Cu(I) complexes, bearing bis(1-indazol-1-yl)methane analogues as , ligands and DPEPhos as the ligand, were synthesised in high yields under mild conditions and characterised by spectroscopic and spectrometric techniques. In addition, the position of the carboxymethyl substituent in the complexes and its effect on the electrochemical and photophysical behaviour was evaluated. As expected, the homoleptic copper (I) complexes with the , ligands showed air instability. In contrast, the obtained heteroleptic complexes were air- and water-stable in solid and solution. All complexes displayed green-yellow luminescence in CHCl at room temperature due to ligand-centred (LC) phosphorescence in the case of the Cu(I) complex with an unsubstituted ligand and metal-to-ligand charge transfer (MLCT) phosphorescence for the carboxymethyl-substituted complexes. Interestingly, proper substitution of the bis(1-indazol-1-yl)methane ligand enabled the achievement of a remarkable luminescent yield (2.5%) in solution, showcasing the great potential of this novel class of copper(I) complexes for potential applications in luminescent devices and/or photocatalysis.

摘要

合成了一系列四种新型杂配铜(I)配合物,它们以双(1-吲唑-1-基)甲烷类似物作为配体,DPEPhos作为配体,在温和条件下高产率合成,并通过光谱和光谱技术进行了表征。此外,评估了配合物中羧甲基取代基的位置及其对电化学和光物理行为的影响。正如预期的那样,含配体的同配铜(I)配合物表现出空气不稳定性。相比之下,所得到的杂配配合物在固体和溶液中对空气和水都稳定。所有配合物在室温下于CHCl中均呈现绿黄色发光,对于具有未取代配体的铜(I)配合物而言是由于配体中心(LC)磷光,而对于羧甲基取代的配合物则是金属到配体的电荷转移(MLCT)磷光。有趣的是,双(1-吲唑-1-基)甲烷配体的适当取代使得在溶液中能够实现显著的发光产率(2.5%),展示了这类新型铜(I)配合物在发光器件和/或光催化潜在应用中的巨大潜力。

https://cdn.ncbi.nlm.nih.gov/pmc/blobs/e1fa/10780253/4ae7b1ff31a1/molecules-29-00047-sch001.jpg

文献AI研究员

20分钟写一篇综述,助力文献阅读效率提升50倍。

立即体验

用中文搜PubMed

大模型驱动的PubMed中文搜索引擎

马上搜索

文档翻译

学术文献翻译模型,支持多种主流文档格式。

立即体验