Department of Organic Chemistry, Medical University of Gdańsk, Aleja Generała Józefa Hallera 107, 80-416 Gdańsk, Poland.
Department of Biology and Pharmaceutical Botany, Medical University of Gdańsk, Aleja Generała Józefa Hallera 107, 80-416 Gdańsk, Poland.
Int J Mol Sci. 2023 Dec 24;25(1):274. doi: 10.3390/ijms25010274.
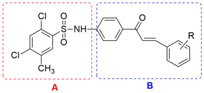
Chalcones and their derivatives, both natural and synthetic, exhibit diverse biological activities. In this study, we focused on designing and synthesizing ()-2,4-dichloro--(4-cinnamoylphenyl)-5-methylbenzenesulfonamides - with the following two pharmacophore groups: 2,4-dichlorobenzenesulfonamide and chalcone. The obtained compounds displayed notable anticancer effects on various human cancer cells, such as cervical HeLa, acute promyelocytic leukemia HL-60, and gastric adenocarcinoma AGS, when assessed with the MTT test. The activity of all compounds against cancer cells was significant, and the obtained IC values were in the range of 0.89-9.63 µg/mL. Among all the tested compounds, derivative showed the highest activity on the AGS cell line. Therefore, it was tested for cell cycle inhibition, induction of mitochondrial membrane depolarization, and activation of caspase-8 and -9. These results showed that this compound strongly arrested the cell cycle in the subG0 phase, depolarized the mitochondrial membrane, and activated caspase-8 and -9. Similar to the anticancer effects, all the obtained compounds were also assessed for their antioxidant activity. The highest antiradical effect was demonstrated for derivative , which was able to inhibit DPPH and ABTS radicals. All examined compounds showed dose-dependent activity against neutrophil elastase. Notably, derivatives and demonstrated inhibitory properties similar to oleanolic acid, with IC values of 25.61 ± 0.58 and 25.73 ± 0.39 µg/mL, respectively. To determine the antibacterial activity of derivatives -, the minimum bacteriostatic concentration (MIC) values were estimated (>500 µg/mL for all the tested bacterial strains). The findings demonstrate the substantial potential of sulfonamide-based chalcone as a promising drug in anticancer therapy.
查尔酮及其衍生物,无论是天然的还是合成的,都表现出多种生物活性。在这项研究中,我们专注于设计和合成 ()-2,4-二氯--(4-肉桂酰基苯基)-5-甲基苯磺酰胺-具有以下两个药效团:2,4-二氯苯磺酰胺和查尔酮。通过 MTT 试验评估,所得到的化合物对各种人类癌细胞(如宫颈 HeLa、急性早幼粒细胞白血病 HL-60 和胃腺癌 AGS)表现出显著的抗癌作用。所有化合物对癌细胞的活性均显著,所得 IC 值在 0.89-9.63 µg/mL 范围内。在所测试的所有化合物中,衍生物 对 AGS 细胞系表现出最高的活性。因此,对其进行了细胞周期抑制、诱导线粒体膜去极化以及激活 caspase-8 和 -9 的测试。结果表明,该化合物强烈地将细胞周期阻滞在 subG0 期,使线粒体膜去极化,并激活 caspase-8 和 -9。与抗癌作用相似,所有得到的化合物 也被评估了其抗氧化活性。最高的自由基清除效果是衍生物 表现出来的,它能够抑制 DPPH 和 ABTS 自由基。所有被检查的化合物对中性粒细胞弹性蛋白酶均表现出剂量依赖性的活性。值得注意的是,衍生物 和 表现出与齐墩果酸相似的抑制特性,其 IC 值分别为 25.61 ± 0.58 和 25.73 ± 0.39 µg/mL。为了确定衍生物 的抑菌活性-,估计了最低抑菌浓度 (MIC) 值(所有测试的细菌菌株均大于 500 µg/mL)。研究结果表明,基于磺酰胺的查尔酮 作为一种有前途的抗癌药物具有很大的潜力。