Suppr超能文献

Investigation of Hafnium Thin Films for Design of TES Microcalorimeters.

作者信息

Safonova Victoria Yu, Gordeeva Anna V, Blagodatkin Anton V, Pimanov Dmitry A, Yablokov Anton A, Ermolaeva Olga L, Pankratov Andrey L

机构信息

Superconducting Nanoelectronics Laboratory, Nizhny Novgorod State Technical University n.a. R.E. Alekseev, Minin Street, 24, 603155 Nizhny Novgorod, Russia.

Institute for Physics of Microstructures of the Russian Academy of Sciences, Academicheskaya Street, 7, 603950 Nizhny Novgorod, Russia.

出版信息

Materials (Basel). 2023 Dec 30;17(1):222. doi: 10.3390/ma17010222.

Abstract

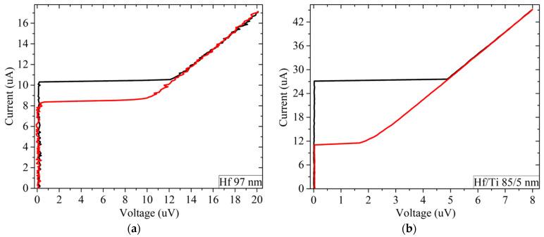
Hafnium is a superconductor with a transition temperature slightly above 100 mK. This makes it attractive for such applications as microcalorimeters with high energy resolution. We report the superconducting properties of Hf films of thicknesses ranging from 60 to 115 nm, deposited on Si and AlO substrates by electron beam evaporation. Besides that, we fabricated and measured combinations of hafnium with thin layers of normal metals, decreasing the critical temperature by the proximity effect. The critical temperature of the studied films varied from 56 to 302 mK. We have observed a significant change in the critical temperature of some films over time, which we propose to prevent by covering hafnium films with a thin layer of titanium.

摘要
https://cdn.ncbi.nlm.nih.gov/pmc/blobs/4faf/10779921/5f051ab5f5ec/materials-17-00222-g001.jpg

文献AI研究员

20分钟写一篇综述,助力文献阅读效率提升50倍。

立即体验

用中文搜PubMed

大模型驱动的PubMed中文搜索引擎

马上搜索

文档翻译

学术文献翻译模型,支持多种主流文档格式。

立即体验