• 文献检索
  • 文档翻译
  • 深度研究
  • 学术资讯
  • Suppr Zotero 插件Zotero 插件
  • 邀请有礼
  • 套餐&价格
  • 历史记录
应用&插件
Suppr Zotero 插件Zotero 插件浏览器插件Mac 客户端Windows 客户端微信小程序
定价
高级版会员购买积分包购买API积分包
服务
文献检索文档翻译深度研究API 文档MCP 服务
关于我们
关于 Suppr公司介绍联系我们用户协议隐私条款
关注我们

Suppr 超能文献

核心技术专利:CN118964589B侵权必究
粤ICP备2023148730 号-1Suppr @ 2026

文献检索

告别复杂PubMed语法,用中文像聊天一样搜索,搜遍4000万医学文献。AI智能推荐,让科研检索更轻松。

立即免费搜索

文件翻译

保留排版,准确专业,支持PDF/Word/PPT等文件格式,支持 12+语言互译。

免费翻译文档

深度研究

AI帮你快速写综述,25分钟生成高质量综述,智能提取关键信息,辅助科研写作。

立即免费体验

离聚物熔体的珠-弹簧模拟——研究链长和缔合基团分数对平衡结构和拉伸流动行为的影响

Bead-Spring Simulation of Ionomer Melts-Studying the Effects of Chain-Length and Associating Group Fraction on Equilibrium Structure and Extensional Flow Behavior.

作者信息

Mohottalalage Supun S, Saab Andrew P, Maiti Amitesh

机构信息

Lawrence Livermore National Laboratory, Livermore, CA 94550, USA.

出版信息

Polymers (Basel). 2023 Nov 28;15(23):4560. doi: 10.3390/polym15234560.

DOI:10.3390/polym15234560
PMID:38232005
原文链接:https://pmc.ncbi.nlm.nih.gov/articles/PMC10708384/
Abstract

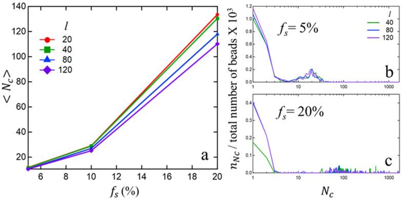
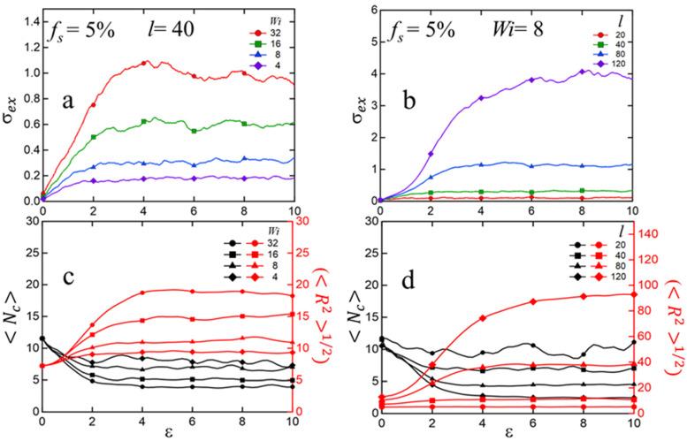
Ionomers are associative polymers with diverse applications ranging from selective membranes and high-performance adhesives to abrasion- and chemical-resistant coatings, insulation layers, vacuum packaging, and foamed sheets. Within equilibrium melt, the ionic or associating groups are known to form thermally reversible, associative clusters whose presence can significantly affect the system's mechanical, viscoelastic, and transport properties. It is, thus, of great interest to understand how to control such clusters' size distribution, shape, and stability through the designed choice of polymer architecture and the ionic groups' fraction, arrangement, and interaction strength. In this work, we represent linear associating polymers using a Kremer-Grest type bead-spring model and perform large-scale MD simulations to explore the effect of polymer chain-length (l) and fraction (fs) of randomly placed associating groups on the size distribution and stability of formed clusters. We consider different chain-lengths (below and above entanglement), varying fractions of associating groups (represented by 'sticky' beads) between 5 and 20%, and a fixed sticky-sticky nonbond interaction strength of four times that between regular non-associating beads. For all melts containing associating groups the equilibrium structure factor S(q) displays a signature ionomer peak at low wave vector q whose intensity increases with increasing fs and l. The average cluster size Nc increases with fs. However, the effect of chain-length on Nc appears to be pronounced only at higher values of fs. Under extensional flows, the computed stress (and viscosity) is higher at higher fs and l regardless of strain rate. Beyond a critical strain rate, we observe fragmentation of the associative clusters, which has interesting effects on the stress/viscous response.

摘要

离聚物是一种缔合聚合物,具有多种应用,从选择性膜、高性能粘合剂到耐磨和耐化学涂层、绝缘层、真空包装以及泡沫片材。在平衡熔体中,离子基团或缔合基团会形成热可逆的缔合簇,其存在会显著影响体系的机械、粘弹性和传输性能。因此,了解如何通过设计聚合物结构以及离子基团的分数、排列和相互作用强度来控制这些簇的尺寸分布、形状和稳定性,具有重要意义。在这项工作中,我们使用Kremer-Grest型珠簧模型来表示线性缔合聚合物,并进行大规模分子动力学模拟,以探究聚合物链长(l)和随机放置的缔合基团分数(fs)对形成的簇的尺寸分布和稳定性的影响。我们考虑了不同的链长(低于和高于缠结长度)、5%至20%之间不同分数的缔合基团(由“粘性”珠子表示)以及固定的粘性-粘性非键相互作用强度,其为常规非缔合珠子之间相互作用强度的四倍。对于所有含有缔合基团的熔体,平衡结构因子S(q)在低波矢q处显示出特征性的离聚物峰,其强度随fs和l的增加而增加。平均簇尺寸Nc随fs增加。然而,链长对Nc的影响似乎仅在较高的fs值时才明显。在拉伸流动下,无论应变率如何,计算得到的应力(和粘度)在较高的fs和l时都更高。超过临界应变率后,我们观察到缔合簇的破碎,这对应力/粘性响应有有趣的影响。

https://cdn.ncbi.nlm.nih.gov/pmc/blobs/da8e/10708384/0a77d661db06/polymers-15-04560-g010.jpg
https://cdn.ncbi.nlm.nih.gov/pmc/blobs/da8e/10708384/d9a51014042a/polymers-15-04560-g001.jpg
https://cdn.ncbi.nlm.nih.gov/pmc/blobs/da8e/10708384/bdcf519f4b05/polymers-15-04560-g002.jpg
https://cdn.ncbi.nlm.nih.gov/pmc/blobs/da8e/10708384/5ecf1176726a/polymers-15-04560-g003.jpg
https://cdn.ncbi.nlm.nih.gov/pmc/blobs/da8e/10708384/6f8597bfb38c/polymers-15-04560-g004.jpg
https://cdn.ncbi.nlm.nih.gov/pmc/blobs/da8e/10708384/b8bdbea5856f/polymers-15-04560-g005.jpg
https://cdn.ncbi.nlm.nih.gov/pmc/blobs/da8e/10708384/aeff7e023203/polymers-15-04560-g006.jpg
https://cdn.ncbi.nlm.nih.gov/pmc/blobs/da8e/10708384/2bb83e756000/polymers-15-04560-g007.jpg
https://cdn.ncbi.nlm.nih.gov/pmc/blobs/da8e/10708384/3f548a7e7215/polymers-15-04560-g008.jpg
https://cdn.ncbi.nlm.nih.gov/pmc/blobs/da8e/10708384/cad5040d11bb/polymers-15-04560-g009.jpg
https://cdn.ncbi.nlm.nih.gov/pmc/blobs/da8e/10708384/0a77d661db06/polymers-15-04560-g010.jpg
https://cdn.ncbi.nlm.nih.gov/pmc/blobs/da8e/10708384/d9a51014042a/polymers-15-04560-g001.jpg
https://cdn.ncbi.nlm.nih.gov/pmc/blobs/da8e/10708384/bdcf519f4b05/polymers-15-04560-g002.jpg
https://cdn.ncbi.nlm.nih.gov/pmc/blobs/da8e/10708384/5ecf1176726a/polymers-15-04560-g003.jpg
https://cdn.ncbi.nlm.nih.gov/pmc/blobs/da8e/10708384/6f8597bfb38c/polymers-15-04560-g004.jpg
https://cdn.ncbi.nlm.nih.gov/pmc/blobs/da8e/10708384/b8bdbea5856f/polymers-15-04560-g005.jpg
https://cdn.ncbi.nlm.nih.gov/pmc/blobs/da8e/10708384/aeff7e023203/polymers-15-04560-g006.jpg
https://cdn.ncbi.nlm.nih.gov/pmc/blobs/da8e/10708384/2bb83e756000/polymers-15-04560-g007.jpg
https://cdn.ncbi.nlm.nih.gov/pmc/blobs/da8e/10708384/3f548a7e7215/polymers-15-04560-g008.jpg
https://cdn.ncbi.nlm.nih.gov/pmc/blobs/da8e/10708384/cad5040d11bb/polymers-15-04560-g009.jpg
https://cdn.ncbi.nlm.nih.gov/pmc/blobs/da8e/10708384/0a77d661db06/polymers-15-04560-g010.jpg

相似文献

1
Bead-Spring Simulation of Ionomer Melts-Studying the Effects of Chain-Length and Associating Group Fraction on Equilibrium Structure and Extensional Flow Behavior.离聚物熔体的珠-弹簧模拟——研究链长和缔合基团分数对平衡结构和拉伸流动行为的影响
Polymers (Basel). 2023 Nov 28;15(23):4560. doi: 10.3390/polym15234560.
2
Effects of interaction strength of associating groups on linear and star polymer dynamics.缔合基团相互作用强度对线性和星形聚合物动力学的影响。
J Chem Phys. 2021 Feb 21;154(7):074903. doi: 10.1063/5.0038097.
3
Analysis of shear-induced and extensional-induced associating polymer assemblies: Brownian dynamics simulation.剪切诱导和拉伸诱导缔合聚合物聚集体的分析:布朗动力学模拟
J Chem Phys. 2005 Oct 8;123(14):144906. doi: 10.1063/1.2056549.
4
Brittle fracture in associative polymers: the case of ionomer melts.缔合聚合物中的脆性断裂:离聚物熔体的情况。
Soft Matter. 2016 Sep 28;12(36):7606-12. doi: 10.1039/c6sm01441k. Epub 2016 Aug 19.
5
Slip-Spring and Kink Dynamics Models for Fast Extensional Flow of Entangled Polymeric Fluids.缠结聚合物流体快速拉伸流动的滑-弹簧和纽结动力学模型
Polymers (Basel). 2019 Mar 11;11(3):465. doi: 10.3390/polym11030465.
6
Dispersions of polymer ionomers: I.聚合物离聚体的分散体:I.
Adv Colloid Interface Sci. 2004 Dec 31;112(1-3):1-29. doi: 10.1016/j.cis.2004.06.001.
7
Cluster Morphology-Polymer Dynamics Correlations in Sulfonated Polystyrene Melts: Computational Study.磺化聚苯乙烯熔体中的簇形态-聚合物动力学相关性:计算研究
Phys Rev Lett. 2016 Apr 15;116(15):158001. doi: 10.1103/PhysRevLett.116.158001. Epub 2016 Apr 11.
8
Molecular dynamics simulations of supramolecular polymer rheology.超分子聚合物流变学的分子动力学模拟。
J Chem Phys. 2010 Nov 14;133(18):184904. doi: 10.1063/1.3498781.
9
Ionic aggregate structure in ionomer melts: effect of molecular architecture on aggregates and the ionomer peak.离聚物熔体中的离子聚集体结构:分子结构对聚集体和离聚物峰的影响。
J Am Chem Soc. 2012 Jan 11;134(1):574-87. doi: 10.1021/ja209142b. Epub 2011 Dec 19.
10
Effects of chain length on Rouse modes and non-Gaussianity in linear and ring polymer melts.链长对线性和环状聚合物熔体中Rouse模式及非高斯性的影响。
J Chem Phys. 2021 Sep 28;155(12):124901. doi: 10.1063/5.0061281.

本文引用的文献

1
The Elasticity of Polymer Melts and Solutions in Shear and Extension Flows.聚合物熔体和溶液在剪切流与拉伸流中的弹性
Polymers (Basel). 2023 Feb 20;15(4):1051. doi: 10.3390/polym15041051.
2
Threading-Unthreading Transition of Linear-Ring Polymer Blends in Extensional Flow.线性-环状聚合物共混物在拉伸流动中的穿线-解线转变
ACS Macro Lett. 2020 Oct 20;9(10):1452-1457. doi: 10.1021/acsmacrolett.0c00607. Epub 2020 Oct 2.
3
Atomistic Simulations Predict a Surprising Variety of Morphologies in Precise Ionomers.原子模拟预测了精确离聚物中令人惊讶的多种形态。
ACS Macro Lett. 2013 Mar 19;2(3):206-210. doi: 10.1021/mz300611n. Epub 2013 Feb 19.
4
Brittle-to-Ductile Transition of Sulfonated Polystyrene Ionomers.磺化聚苯乙烯离聚物的脆韧转变
ACS Macro Lett. 2021 Apr 20;10(4):503-509. doi: 10.1021/acsmacrolett.1c00018. Epub 2021 Apr 12.
5
Simultaneous monitoring of sweat lactate content and sweat secretion rate by wearable remote biosensors.可穿戴远程生物传感器同步监测汗液中乳酸含量和汗液分泌率。
Biosens Bioelectron. 2022 Apr 15;202:113970. doi: 10.1016/j.bios.2022.113970. Epub 2022 Jan 6.
6
Processing of Self-Healing Polymers for Soft Robotics.用于软机器人技术的自修复聚合物的加工
Adv Mater. 2022 Jan;34(1):e2104798. doi: 10.1002/adma.202104798. Epub 2021 Nov 6.
7
Stretching of Silk Protein in Flow.丝蛋白在流动中的拉伸。
Molecules. 2021 Mar 16;26(6):1663. doi: 10.3390/molecules26061663.
8
Effects of interaction strength of associating groups on linear and star polymer dynamics.缔合基团相互作用强度对线性和星形聚合物动力学的影响。
J Chem Phys. 2021 Feb 21;154(7):074903. doi: 10.1063/5.0038097.
9
Modulating the mixed potential for developing biosensors: Direct potentiometric determination of glucose in whole, undiluted blood.调控用于开发生物传感器的混合电位:直接电位法测定全血(未稀释)中的葡萄糖。
Biosens Bioelectron. 2020 Sep 1;163:112302. doi: 10.1016/j.bios.2020.112302. Epub 2020 May 18.
10
Topological Linking Drives Anomalous Thickening of Ring Polymers in Weak Extensional Flows.拓扑链接驱动弱拉伸流中环状聚合物的异常增厚。
Phys Rev Lett. 2020 Jan 17;124(2):027801. doi: 10.1103/PhysRevLett.124.027801.