Suppr超能文献

面粉甲虫更喜欢角落而非墙壁,并且随着栖息地复杂性的增加,它们的行动会变慢。

Flour beetles prefer corners over walls and are slowed down with increasing habitat complexity.

作者信息

Scharf Inon, Radai Amit, Goldshtein Dar, Hanna Kimberley

机构信息

School of Zoology, The George S. Wise Faculty of Life Sciences, Tel Aviv University, Tel Aviv 69978, Israel.

出版信息

R Soc Open Sci. 2024 Jan 17;11(1):231667. doi: 10.1098/rsos.231667. eCollection 2024 Jan.

Abstract

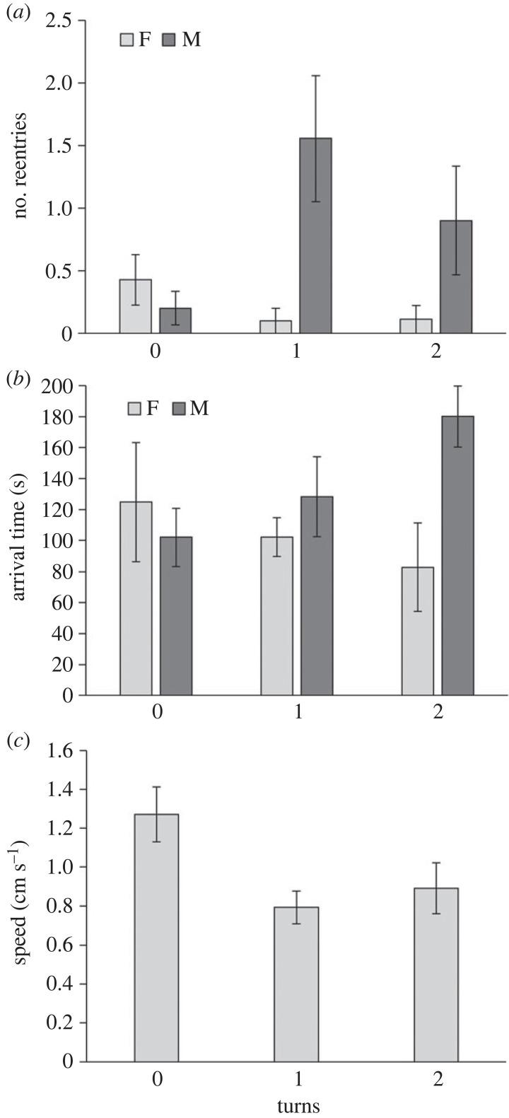
Movement affects all key behaviours in which animals engage, including dispersal and habitat use. The red flour beetle, known as a cosmopolitan pest of stored products, was the subject of our study. We examined whether the beetles preferred corners, walls or open areas, and how turns or obstacles in corridors delayed the beetles' arrival at a target cell. Beetles spent significantly more time in corners than expected by chance, while they spent considerably less time in open areas than expected. However, no significant difference was observed between areas with two or three surrounding walls. This could be attributed to the beetles' stronger attraction to corners than crevices or the insufficient proximity of the third wall to the other two. Movement through the corridor was delayed by turns or obstacles, expressed in arrival probabilities, arrival times, time in the corridor or movement speed. Obstacles on the corridor's perimeter had a stronger effect on the beetle movement than those in the corridor's centre owing to the beetles' tendency to follow walls. The research is important also for applied purposes, such as better understanding beetle movement, how to delay their arrival to new patches, and where to place traps.

摘要

运动影响着动物参与的所有关键行为,包括扩散和栖息地利用。赤拟谷盗是一种广为人知的储藏物世界性害虫,是我们研究的对象。我们研究了这些甲虫是否更喜欢角落、墙壁或开阔区域,以及走廊中的转弯或障碍物如何延迟甲虫到达目标单元格的时间。甲虫在角落停留的时间明显比随机预期的要长,而它们在开阔区域停留的时间则比预期的要少得多。然而,在有两堵或三堵围墙的区域之间未观察到显著差异。这可能是由于甲虫对角落的吸引力比对裂缝的吸引力更强,或者第三堵墙与另外两堵墙的距离不够近。通过走廊的运动会因转弯或障碍物而延迟,这体现在到达概率、到达时间、在走廊中的时间或移动速度上。由于甲虫有沿着墙壁移动的倾向,走廊周边的障碍物对甲虫移动的影响比走廊中心的障碍物更大。这项研究对于实际应用也很重要,比如更好地理解甲虫的移动、如何延迟它们到达新区域的时间,以及在哪里放置诱捕器。

https://cdn.ncbi.nlm.nih.gov/pmc/blobs/d051/10791520/d5ccee74e84c/rsos231667f01.jpg

文献AI研究员

20分钟写一篇综述,助力文献阅读效率提升50倍。

立即体验

用中文搜PubMed

大模型驱动的PubMed中文搜索引擎

马上搜索

文档翻译

学术文献翻译模型,支持多种主流文档格式。

立即体验