Suppr超能文献

在步态站立期,跖屈肌对胫骨前移的控制取决于相对于地面反作用力的膝关节屈曲。

Control of Tibial Advancement by the Plantar Flexors during the Stance Phase of Gait Depends on Knee Flexion with Respect to the Ground Reaction Force.

作者信息

Brunner Reinald, Frigo Carlo Albino

机构信息

Department of Orthopaedics, Children's University Hospital Basel, 4056 Basel, Switzerland.

Department of Bioengineering, Medical Faculty, University of Basel, 4001 Basel, Switzerland.

出版信息

Bioengineering (Basel). 2023 Dec 31;11(1):41. doi: 10.3390/bioengineering11010041.

Abstract

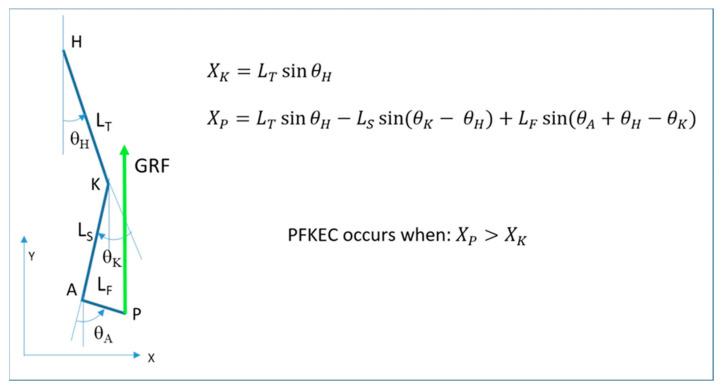
During the stance phase of a normal gait, the triceps surae muscle controls the advancement of the tibia, which contributes to knee extension. Plantar flexor weakness results in excessive dorsiflexion, and consequently, the knee loses this contribution. However, increasing knee flexion is also seen in patients with cerebral palsy who do not have plantar flexor weakness. We aimed to understand this mechanism through the use of a musculoskeletal dynamic model. The model consists of solid segments connected with rotatory joints and springs to represent individual muscles. It was positioned at different degrees of ankle plantarflexion, knee flexion, and hip flexion. The soleus muscle was activated concentrically to produce plantarflexion and push the foot against the ground. The resulting knee extension was analyzed. The principal determinant of knee flexion or extension associated with ankle plantarflexion was the position of the knee joint center. When this was anterior to the line of action of the ground reaction force (GRF), the soleus contraction resulted in increased knee flexion. The knee extension was obtained when the knee was flexed less than approximately 25°. The relation between joint angles, anthropometric parameters, and the position of the GRF was expressed in a mathematical formulation. The clinical relevance of this model is that it explains the failure of plantar flexor control on knee extension in patients with cerebral palsy, when increased knee flexion can occur even if there is a normal or plantarflexed foot position.

摘要

在正常步态的支撑期,小腿三头肌控制胫骨的前移,这有助于膝关节伸展。跖屈肌无力会导致过度背屈,进而膝关节失去这种助力。然而,在没有跖屈肌无力的脑瘫患者中也会出现膝关节屈曲增加的情况。我们旨在通过使用肌肉骨骼动力学模型来理解这一机制。该模型由通过旋转关节和弹簧连接的实体节段组成,以代表各个肌肉。它被设置在不同程度的踝关节跖屈、膝关节屈曲和髋关节屈曲状态下。比目鱼肌进行向心收缩以产生跖屈并将脚推向地面。对由此产生的膝关节伸展情况进行分析。与踝关节跖屈相关的膝关节屈曲或伸展的主要决定因素是膝关节中心的位置。当该位置在地面反作用力(GRF)作用线之前时,比目鱼肌收缩会导致膝关节屈曲增加。当膝关节屈曲小于约25°时会出现膝关节伸展。关节角度、人体测量参数和GRF位置之间的关系用数学公式表示。该模型的临床意义在于,它解释了脑瘫患者中跖屈控制对膝关节伸展失效的情况,即即使足部位置正常或处于跖屈状态,也可能出现膝关节屈曲增加。

https://cdn.ncbi.nlm.nih.gov/pmc/blobs/fe7d/10813783/b216a2a9e973/bioengineering-11-00041-g001.jpg

文献AI研究员

20分钟写一篇综述,助力文献阅读效率提升50倍。

立即体验

用中文搜PubMed

大模型驱动的PubMed中文搜索引擎

马上搜索

文档翻译

学术文献翻译模型,支持多种主流文档格式。

立即体验