Suppr超能文献

分级预后评估与全脑放疗后脑转移瘤预后的相关性:一项荟萃分析。

The association between graded prognostic assessment and the prognosis of brain metastases after whole brain radiotherapy: a meta-analysis.

作者信息

Geng Xiaohan, Kou Changgui, Wang Jianfeng

机构信息

Department of Epidemiology and Biostatistics, School of Public Health, Jilin University, Changchun, China.

Department of Radiotherapy, China-Japan Union Hospital, Jilin University, Changchun, China.

出版信息

Front Oncol. 2024 Jan 9;13:1322262. doi: 10.3389/fonc.2023.1322262. eCollection 2023.

Abstract

INTRODUCTION

This meta-analysis aims to provide evidence-based medical evidence for formulating rational treatment strategies and evaluating the prognosis of brain metastasis (BM) patients by assessing the effectiveness of the graded prognostic assessment (GPA) model in predicting the survival prognosis of patients with BM after whole-brain radiotherapy (WBRT).

METHODS

A comprehensive search was conducted in multiple databases, including the China Biomedical Literature Database (CBM), China National Knowledge Infrastructure (CNKI), PubMed, Wanfang database, Cochrane Library, Web of Science, and Embase. Cohort studies that met the inclusion and exclusion criteria were selected. The quality of the included literature was evaluated using the Newcastle-Ottawa Scale, and all statistical analyses were performed with R version 4.2.2. The effect size (ES) was measured by the hazard ratio (HR) of overall survival (OS). The OS rates at 3, 6, 12, and 24 months of patients with BM were compared between those with GPAs of 1.5-2.5, 3.0, and 3.5-4.0 and those with GPAs of 0-1 after WBRT.

RESULTS

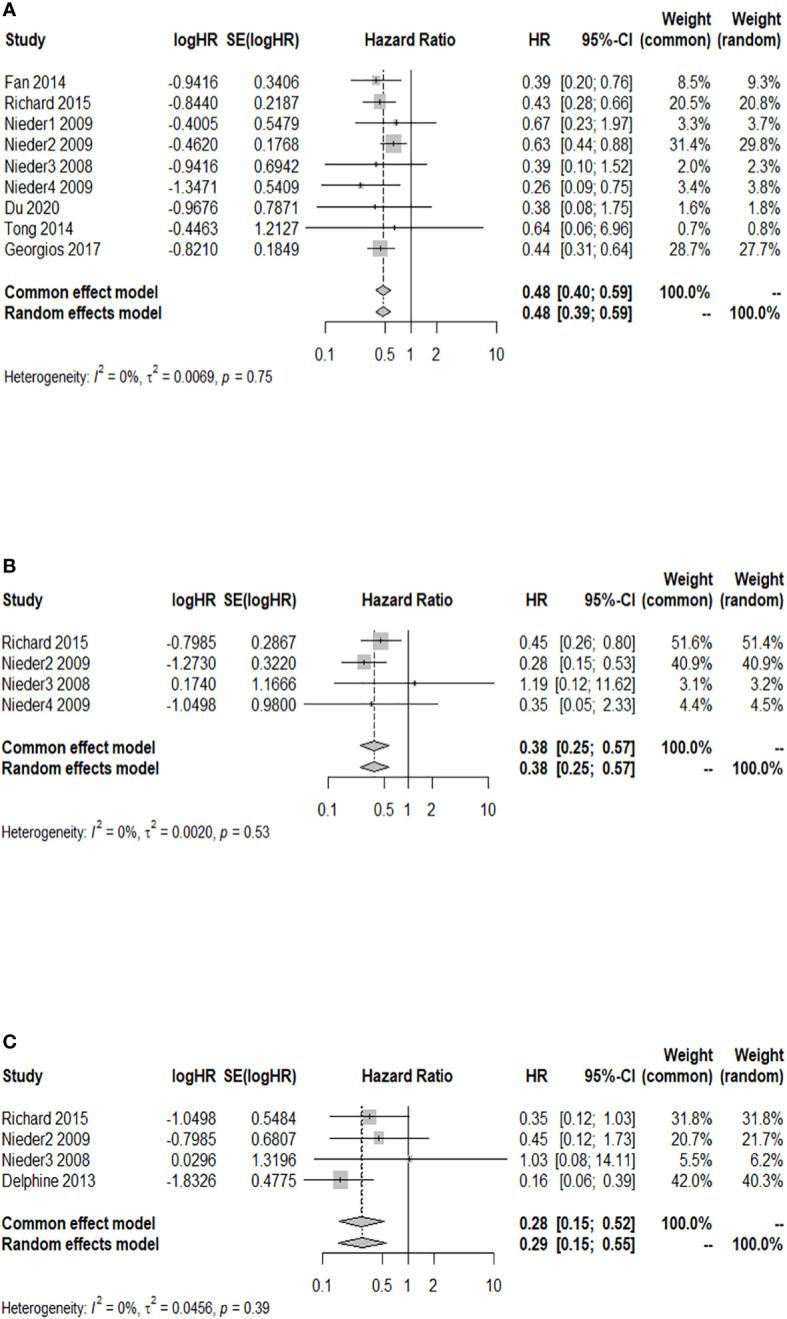
A total of 1,797 participants who underwent WBRT were included in this study. The meta-analysis revealed a significant association between GPA and OS rates after WBRT: compared with BM patients with GPA of 0-1, 3-month OS rates after WBRT were significantly higher in BM patients with GPA of 1.5-2.5 (HR = 0.48; 95% CI: 0.40-0.59), GPA of 3 (HR = 0.38; 95% CI: 0.25-0.57), and GPA of 3.5-4 (HR = 0.28; 95% CI: 0.15-0.52); 6-month OS rates after WBRT were significantly higher in BM patients with GPA of 1.5-2.5 (HR = 0.48; 95% CI: 0.41-0.56), GPA of 3 (HR = 0.33; 95% CI: 0.24-0.45), and GPA of 3.5-4 (HR = 0.24; 95% CI: 0.16-0.35); 12-month OS rates after WBRT were significantly higher in BM patients with GPA of 1.5-2.5 (HR = 0.49; 95% CI: 0.41-0.58), GPA of 3 (HR = 0.48; 95% CI: 0.32-0.73), and GPA of 3.5-4 (HR = 0.31; 95% CI: 0.12-0.79); and 24-month OS rates after WBRT were significantly higher in BM patients with GPA of 1.5-2.5 (HR = 0.49; 95% CI: 0.42-0.58), GPA of 3 (HR = 0.49; 95% CI: 0.32-0.74), and GPA of 3.5-4 (HR = 0.38; 95% CI: 0.15-0.94).

CONCLUSION

BM patients with higher GPAs generally exhibited better prognoses and survival outcomes after WBRT compared to those with lower GPAs.

SYSTEMATIC REVIEW REGISTRATION

https://www.crd.york.ac.uk/prospero/, identifier CRD42023422914.

摘要

引言

本荟萃分析旨在通过评估分级预后评估(GPA)模型在预测全脑放疗(WBRT)后脑转移(BM)患者生存预后方面的有效性,为制定合理的治疗策略和评估BM患者的预后提供循证医学证据。

方法

在多个数据库中进行全面检索,包括中国生物医学文献数据库(CBM)、中国知网(CNKI)、PubMed、万方数据库、Cochrane图书馆、Web of Science和Embase。选择符合纳入和排除标准的队列研究。使用纽卡斯尔-渥太华量表评估纳入文献的质量,所有统计分析均使用R 4.2.2版本进行。效应大小(ES)通过总生存(OS)的风险比(HR)来衡量。比较WBRT后GPA为1.5 - 2.5、3.0和3.5 - 4.0的BM患者与GPA为0 - 1的BM患者在3、6、12和24个月时的OS率。

结果

本研究共纳入1797例接受WBRT的参与者。荟萃分析显示,GPA与WBRT后的OS率之间存在显著关联:与GPA为0 - 1的BM患者相比,GPA为1.5 - 2.5的BM患者WBRT后3个月OS率显著更高(HR = 0.48;95%CI:0.40 - 0.59),GPA为3的患者(HR = 0.38;95%CI:0.25 - 0.57),GPA为3.5 - 4的患者(HR = 0.28;95%CI:0.15 - 0.52);WBRT后6个月OS率在GPA为1.5 - 2.5的BM患者中显著更高(HR = 0.48;95%CI:0.41 - 0.56),GPA为3的患者(HR = 0.33;95%CI:0.24 - 0.45),GPA为3.5 - 4的患者(HR = 0.24;95%CI:0.16 - 0.35);WBRT后12个月OS率在GPA为1.5 - 2.5的BM患者中显著更高(HR = 0.49;95%CI:0.41 - 0.58),GPA为3的患者(HR = 0.48;95%CI:0.32 - 0.73),GPA为3.5 - 4的患者(HR = 0.31;95%CI:0.12 - 0.79);WBRT后24个月OS率在GPA为1.5 - 2.5的BM患者中显著更高(HR = 0.49;95%CI:0.42 - 0.58),GPA为3的患者(HR = 0.49;95%CI:0.32 - 0.74),GPA为3.5 - 4的患者(HR = 0.38;95%CI:0.15 - 0.94)。

结论

与GPA较低的BM患者相比,GPA较高的BM患者在WBRT后的预后和生存结果通常更好。

系统评价注册

https://www.crd.york.ac.uk/prospero/,标识符CRD42023422914。

https://cdn.ncbi.nlm.nih.gov/pmc/blobs/4aba/10803601/4dc2f38b6341/fonc-13-1322262-g001.jpg

文献AI研究员

20分钟写一篇综述,助力文献阅读效率提升50倍。

立即体验

用中文搜PubMed

大模型驱动的PubMed中文搜索引擎

马上搜索

文档翻译

学术文献翻译模型,支持多种主流文档格式。

立即体验