Suppr超能文献

评价配对如何改善成年女性的身体不满情绪:来自一项随机对照在线研究的证据。

How evaluative pairings improve body dissatisfaction in adult women: evidence from a randomized-controlled online study.

作者信息

Dumstorf Katharina, Halbeisen Georg, Paslakis Georgios

机构信息

University Clinic for Psychosomatic Medicine and Psychotherapy, Medical Faculty, Campus East-Westphalia, Ruhr-University Bochum, Virchowstr. 65, 32312, Luebbecke, Germany.

出版信息

J Eat Disord. 2024 Jan 24;12(1):18. doi: 10.1186/s40337-024-00975-4.

Abstract

BACKGROUND

Many young women are dissatisfied with their bodies. This study investigated the effect on current body dissatisfaction levels of a newly developed evaluative conditioning procedure that paired self-similar and self-dissimilar images of bodies with positive and neutral affective images, respectively. We hypothesized that learning the contingency that self-similar bodies predict positive affectivity is one process that could aid in explaining how these procedures function.

METHODS

Adult women without disordered eating pathology participated in an online experiment with random assignment to an intervention or a control condition. All participants initially rated body images in self-similarity and were subsequently asked to categorize positive and neutral images by valence as quickly and accurately as possible. In the intervention condition, self-similar bodies systematically preceded positive images, and self-dissimilar images preceded neutral images, creating a similar body → positive contingency. Pairings in the control condition were unsystematic such that no contingency was present. We measured categorization latencies and accuracies to infer contingency learning as well as current body dissatisfaction immediately before and after exposure to the pairings. All participants further completed measures of trait body image concerns and disordered eating psychopathology at baseline, which we examined as moderators of an expected relation between condition assignment, contingency learning, and body dissatisfaction improvements.

RESULTS

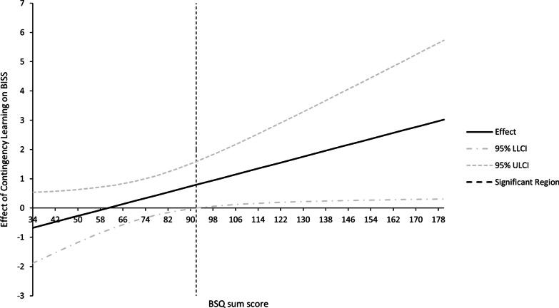
We analyzed data from N = 173 women fulfilling the inclusion criteria. Moderated mediation analyses showed that assignment to the intervention (vs. control) condition predicted increased similar body → positive contingency learning, which in turn predicted improved body dissatisfaction post-intervention, but only among women with higher pre-existing trait body image concerns or disordered eating levels.

CONCLUSIONS

The findings point toward the relevancy of further exploring the utility of pairing procedures. Similar body → positive contingency learning predicted improved body dissatisfaction in individuals with normatively high body image concerns, which suggests pairing procedures could help inform future research on reducing body dissatisfaction.

摘要

背景

许多年轻女性对自己的身体不满意。本研究调查了一种新开发的评价性条件作用程序对当前身体不满意水平的影响,该程序分别将与自我相似和自我不相似的身体形象与积极和中性情感形象配对。我们假设,了解自我相似身体预示积极情感这一偶然性是有助于解释这些程序如何起作用的一个过程。

方法

没有饮食失调病理的成年女性参与了一项在线实验,随机分配到干预组或对照组。所有参与者最初对身体形象的自我相似性进行评分,随后被要求尽快且准确地按效价对积极和中性形象进行分类。在干预组中,自我相似的身体系统地先于积极形象出现,自我不相似的形象先于中性形象出现,从而形成了相似身体→积极的偶然性。对照组中的配对是不系统的,不存在偶然性。我们测量了分类潜伏期和准确率,以推断偶然性学习情况,以及在接触配对前后立即测量当前的身体不满意程度。所有参与者在基线时还完成了特质身体形象关注和饮食失调心理病理学的测量,我们将其作为条件分配、偶然性学习和身体不满意改善之间预期关系的调节因素进行了检验。

结果

我们分析了符合纳入标准的N = 173名女性的数据。调节中介分析表明,分配到干预组(与对照组相比)可预测相似身体→积极偶然性学习的增加,这反过来又预测了干预后身体不满意程度的改善,但仅在先前特质身体形象关注较高或饮食失调水平较高的女性中如此。

结论

研究结果表明进一步探索配对程序的效用具有相关性。相似身体→积极偶然性学习预测了身体形象关注较高的个体身体不满意程度的改善,这表明配对程序可能有助于为未来减少身体不满意的研究提供信息。

https://cdn.ncbi.nlm.nih.gov/pmc/blobs/c86f/10809437/f2ee4c0d6207/40337_2024_975_Fig1_HTML.jpg

相似文献

2
Decreasing body dissatisfaction using a brief conditioning intervention.
Behav Res Ther. 2015 Jun;69:93-9. doi: 10.1016/j.brat.2015.04.003. Epub 2015 Apr 4.
5
Reducing body dissatisfaction by means of an evaluative conditioning procedure in undergraduate women: A replication study.
Behav Res Ther. 2019 Oct;121:103435. doi: 10.1016/j.brat.2019.103435. Epub 2019 Jul 2.
10
A Brief Mobile Evaluative Conditioning App to Reduce Body Dissatisfaction? A Pilot Study in University Women.
Front Psychol. 2019 Nov 21;10:2594. doi: 10.3389/fpsyg.2019.02594. eCollection 2019.

引用本文的文献

本文引用的文献

1
Body image as a global mental health concern.
Glob Ment Health (Camb). 2023 Feb 27;10:e9. doi: 10.1017/gmh.2023.2. eCollection 2023.
3
Body Dissatisfaction, Distorted Body Image and Disordered Eating Behaviors in University Students: An Analysis from 2017-2022.
Int J Environ Res Public Health. 2022 Sep 13;19(18):11482. doi: 10.3390/ijerph191811482.
4
Is Childhood Maltreatment Associated with Body Image Disturbances in Adulthood? A Systematic Review and Meta-Analysis.
J Child Adolesc Trauma. 2021 Aug 7;15(3):523-538. doi: 10.1007/s40653-021-00379-5. eCollection 2022 Sep.
6
A Plea for Diversity in Eating Disorders Research.
Front Psychiatry. 2022 Feb 18;13:820043. doi: 10.3389/fpsyt.2022.820043. eCollection 2022.
8
Analyses of 'change scores' do not estimate causal effects in observational data.
Int J Epidemiol. 2022 Oct 13;51(5):1604-1615. doi: 10.1093/ije/dyab050.
9
Body shape concerns across racial and ethnic groups among adults in the United States: More similarities than differences.
Body Image. 2020 Dec;35:108-113. doi: 10.1016/j.bodyim.2020.08.013. Epub 2020 Sep 23.
10
A Brief Mobile Evaluative Conditioning App to Reduce Body Dissatisfaction? A Pilot Study in University Women.
Front Psychol. 2019 Nov 21;10:2594. doi: 10.3389/fpsyg.2019.02594. eCollection 2019.

文献AI研究员

20分钟写一篇综述,助力文献阅读效率提升50倍。

立即体验

用中文搜PubMed

大模型驱动的PubMed中文搜索引擎

马上搜索

文档翻译

学术文献翻译模型,支持多种主流文档格式。

立即体验