Suppr超能文献

氯化胆碱/乙酸作为深共熔溶剂及其与二甲基亚砜在298.15至353.15 K下的二元溶液的物理化学性质

Physicochemical Properties of Choline Chloride/Acetic Acid as a Deep Eutectic Solvent and Its Binary Solutions with DMSO at 298.15 to 353.15 K.

作者信息

Sheikh Aafia, Khan Athar Yaseen, Ahmed Safeer

机构信息

Department of Chemistry, Government College Women University, Sialkot 51310, Pakistan.

Department of Chemistry, Forman Christian College (A Chartered University), Lahore 54600, Pakistan.

出版信息

ACS Omega. 2024 Jan 8;9(3):3730-3745. doi: 10.1021/acsomega.3c07739. eCollection 2024 Jan 23.

Abstract

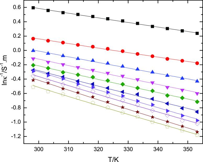
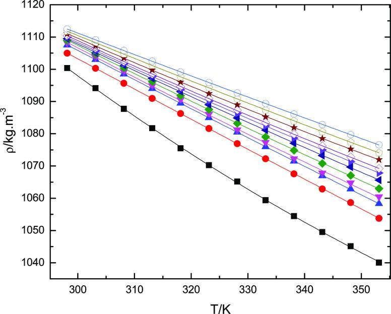
Deep eutectic solvents (DESs) are considered to play an important role in green chemistry and other technological fields as an alternative to organic solvents. The present study reports measurements of density (ρ), speed of sound (u), dynamic viscosity (η), and electrical conductivity (κ) and investigates physicochemical properties of choline chloride/acetic acid (ChCl/AcA DES) and its binary mixtures with dimethyl sulfoxide (DMSO) over the entire composition and temperature (298.15-353.15 K) range. The density data are well fitted by a second-degree polynomial equation in . DES/DMSO mixtures exhibit negative excess molar volume and isentropic compressibility deviation with a minimum in respective curves at ≈ 0.15 ( is the mole fraction of DES in the mixture), which became deeper with increasing temperature. The ChCl/AcA DES and DMSO curves for excess partial molar volume cross each other at ≈ 0.15, showing that the packing effect is dominant over specific interactions. A similar behavior is observed for excess molar viscosity, showing the minima at ≈ 0.62, and substantiates volumetric results. The temperature dependence of viscosity and conductivity is well described by the Vogel-Fulcher-Tammann (VFT) equation.

摘要

深共熔溶剂(DESs)作为有机溶剂的替代品,被认为在绿色化学和其他技术领域发挥着重要作用。本研究报告了密度(ρ)、声速(u)、动态粘度(η)和电导率(κ)的测量结果,并研究了氯化胆碱/乙酸(ChCl/AcA DES)及其与二甲基亚砜(DMSO)的二元混合物在整个组成和温度范围(298.15 - 353.15 K)内的物理化学性质。密度数据通过关于 的二次多项式方程得到很好的拟合。DES/DMSO混合物表现出负的过量摩尔体积和等熵压缩率偏差,在 ≈ 0.15时各自曲线出现最小值( 是混合物中DES的摩尔分数),且随着温度升高该最小值变得更深。ChCl/AcA DES和DMSO的过量偏摩尔体积曲线在 ≈ 0.15处相交,表明堆积效应比特定相互作用更占主导。过量摩尔粘度也观察到类似行为,在 ≈ 0.62处出现最小值,证实了体积结果。粘度和电导率的温度依赖性通过Vogel - Fulcher - Tammann(VFT)方程得到很好的描述。

https://cdn.ncbi.nlm.nih.gov/pmc/blobs/b701/10809710/83b89adf9198/ao3c07739_0001.jpg

文献AI研究员

20分钟写一篇综述,助力文献阅读效率提升50倍。

立即体验

用中文搜PubMed

大模型驱动的PubMed中文搜索引擎

马上搜索

文档翻译

学术文献翻译模型,支持多种主流文档格式。

立即体验