• 文献检索
  • 文档翻译
  • 深度研究
  • 学术资讯
  • Suppr Zotero 插件Zotero 插件
  • 邀请有礼
  • 套餐&价格
  • 历史记录
应用&插件
Suppr Zotero 插件Zotero 插件浏览器插件Mac 客户端Windows 客户端微信小程序
定价
高级版会员购买积分包购买API积分包
服务
文献检索文档翻译深度研究API 文档MCP 服务
关于我们
关于 Suppr公司介绍联系我们用户协议隐私条款
关注我们

Suppr 超能文献

核心技术专利:CN118964589B侵权必究
粤ICP备2023148730 号-1Suppr @ 2026

文献检索

告别复杂PubMed语法,用中文像聊天一样搜索,搜遍4000万医学文献。AI智能推荐,让科研检索更轻松。

立即免费搜索

文件翻译

保留排版,准确专业,支持PDF/Word/PPT等文件格式,支持 12+语言互译。

免费翻译文档

深度研究

AI帮你快速写综述,25分钟生成高质量综述,智能提取关键信息,辅助科研写作。

立即免费体验

儿童睾丸扭转后睾丸保留风险因素预测的列线图。

A nomogram for predicting risk factors of testicular salvage after testicular torsion in children.

机构信息

Department of Urology, Shenzhen Children's Hospital, Shenzhen, Guangdong, People's Republic of China.

Department of Critical Care Medicine, Sir Run Run Shaw Hospital, Zhejiang University School of Medicine, Hangzhou, People's Republic of China.

出版信息

Int J Urol. 2024 May;31(5):568-574. doi: 10.1111/iju.15420. Epub 2024 Feb 10.

DOI:10.1111/iju.15420
PMID:38339874
原文链接:https://pmc.ncbi.nlm.nih.gov/articles/PMC11524085/
Abstract

OBJECTIVES

This study aimed to establish a nomogram for predicting the probability of testicular salvage after testicular torsion in children.

METHODS

We retrospectively collected data of children with testicular torsion who were treated at Shenzhen Children's Hospital between September 2005 and August 2022. Of the training cohort, 113 patients who underwent orchiectomy and five with testicular atrophy after orchiopexy were included in the failed testicular salvage group. Additionally, 37 patients who underwent orchiopexy without postoperative testicular atrophy were included in the successful testicular salvage group. The predictive factors affecting testicular salvage were determined using univariate and multivariate logistic regression analyses; a nomogram was constructed. The nomogram was verified using data from the validation group.

RESULTS

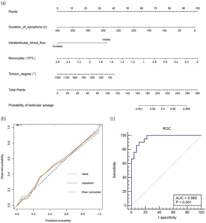
Using multivariate logistic regression analysis, the independent risk factors of testicular salvage after testicular torsion were symptom duration (p = 0.034), intratesticular blood flow (p = 0.003), spermatic cord torsion degree (p = 0.037), and monocyte count (odds ratio: 0.012, p = 0.036). A nomogram was established based on these four risk factors. In the training cohort, the area under the receiver operating characteristic curve was 0.969. The area under the receiver operating characteristic curve of the verification cohort was 0.965, indicating good discrimination ability of the nomogram. Increased symptom duration without intratesticular blood flow increased the monocyte count and spermatic cord torsion degree and decreased the success rate of testicular salvage.

CONCLUSION

This prediction model could obtain the corresponding probability of testicular salvage according to the clinical characteristics of different patients with testicular torsion, providing reference for clinicians and parents.

摘要

目的

本研究旨在建立一个预测儿童睾丸扭转后睾丸保留概率的列线图。

方法

我们回顾性收集了 2005 年 9 月至 2022 年 8 月期间在深圳儿童医院接受治疗的睾丸扭转患儿的数据。在训练队列中,113 例接受睾丸切除术且 5 例睾丸固定术后发生睾丸萎缩的患者被纳入睾丸挽救失败组,37 例接受睾丸固定术且术后无睾丸萎缩的患者被纳入睾丸挽救成功组。使用单因素和多因素逻辑回归分析确定影响睾丸挽救的预测因素;构建列线图。使用验证组的数据验证列线图。

结果

使用多因素逻辑回归分析,睾丸扭转后睾丸挽救的独立危险因素是症状持续时间(p=0.034)、睾丸内血流(p=0.003)、精索扭转程度(p=0.037)和单核细胞计数(比值比:0.012,p=0.036)。基于这四个危险因素建立了一个列线图。在训练队列中,该列线图的受试者工作特征曲线下面积为 0.969。验证队列的受试者工作特征曲线下面积为 0.965,表明该列线图具有良好的区分能力。症状持续时间增加而无睾丸内血流增加会增加单核细胞计数和精索扭转程度,并降低睾丸挽救的成功率。

结论

该预测模型可以根据不同睾丸扭转患者的临床特征获得相应的睾丸挽救概率,为临床医生和家长提供参考。

https://cdn.ncbi.nlm.nih.gov/pmc/blobs/2403/11524085/a549ff4b291e/IJU-31-568-g002.jpg
https://cdn.ncbi.nlm.nih.gov/pmc/blobs/2403/11524085/4d06034038f8/IJU-31-568-g001.jpg
https://cdn.ncbi.nlm.nih.gov/pmc/blobs/2403/11524085/a549ff4b291e/IJU-31-568-g002.jpg
https://cdn.ncbi.nlm.nih.gov/pmc/blobs/2403/11524085/4d06034038f8/IJU-31-568-g001.jpg
https://cdn.ncbi.nlm.nih.gov/pmc/blobs/2403/11524085/a549ff4b291e/IJU-31-568-g002.jpg

相似文献

1
A nomogram for predicting risk factors of testicular salvage after testicular torsion in children.儿童睾丸扭转后睾丸保留风险因素预测的列线图。
Int J Urol. 2024 May;31(5):568-574. doi: 10.1111/iju.15420. Epub 2024 Feb 10.
2
Establishment and internal validation of preoperative nomograms for predicting the possibility of testicular salvage in patients with testicular torsion.建立并内部验证预测睾丸扭转患者睾丸保留可能性的术前列线图。
Asian J Androl. 2021 Jan-Feb;23(1):97-102. doi: 10.4103/aja.aja_31_20.
3
Duration of symptoms is the only predictor of testicular salvage following testicular torsion in children: A case-control study.症状持续时间是儿童睾丸扭转后睾丸保留的唯一预测因素:一项病例对照研究。
Am J Emerg Med. 2021 Mar;41:197-200. doi: 10.1016/j.ajem.2020.11.023. Epub 2020 Nov 15.
4
A comparison of clinical outcomes of acute testicular torsion between prepubertal and postpubertal males.青春期前和青春期后男性急性睾丸扭转的临床结局比较。
J Pediatr Urol. 2019 Dec;15(6):610-616. doi: 10.1016/j.jpurol.2019.07.020. Epub 2019 Aug 6.
5
Can haematologic parameters be used to predict testicular viability in testicular torsion?血液学参数能否用于预测睾丸扭转中的睾丸活力?
Andrologia. 2019 Oct;51(9):e13357. doi: 10.1111/and.13357. Epub 2019 Jul 2.
6
Prognosis of testicular torsion orchiopexy.睾丸扭转或固定术的预后。
Andrologia. 2020 Feb;52(1):e13477. doi: 10.1111/and.13477. Epub 2019 Nov 12.
7
Long-term follow-up results of testicular torsion in children.儿童睾丸扭转的长期随访结果。
Asian J Androl. 2022 Nov-Dec;24(6):653-659. doi: 10.4103/aja2021127.
8
Point-of-care influences orchiectomy rates in pediatric patients with testicular torsion.即时护理对睾丸扭转患儿行睾丸切除术的影响。
J Pediatr Urol. 2019 Aug;15(4):367.e1-367.e7. doi: 10.1016/j.jpurol.2019.04.014. Epub 2019 Apr 20.
9
Timing and surgical management of neonatal testicular torsions.新生儿睾丸扭转的时机和手术处理。
J Pediatr Surg. 2010 May;45(5):1012-5. doi: 10.1016/j.jpedsurg.2010.02.032.
10
Factors Predicting Testicular Atrophy after Testicular Salvage following Torsion.睾丸扭转后睾丸挽救术后睾丸萎缩的预测因素
Eur J Pediatr Surg. 2016 Feb;26(1):17-21. doi: 10.1055/s-0035-1566096. Epub 2015 Oct 28.

引用本文的文献

1
The Role of Neutrophil-to-Lymphocyte Ratio as a Predictor of Orchiectomy or Testicular Atrophy After Torsion in Children: A Multicentric Study.中性粒细胞与淋巴细胞比值作为儿童睾丸扭转后睾丸切除术或睾丸萎缩预测指标的作用:一项多中心研究
J Pers Med. 2025 Jul 13;15(7):310. doi: 10.3390/jpm15070310.
2
Development of a nomogram to predict risk factors for orchiectomy after testicular torsion in children.开发一种列线图以预测儿童睾丸扭转后睾丸切除术的危险因素。
Sci Rep. 2025 Apr 30;15(1):15154. doi: 10.1038/s41598-025-97911-6.
3
Nomogram predicts risk score and likehood of orchiectomy in patients with testicular torsion: a multicenter retrospective study.

本文引用的文献

1
Predictive value of hematological parameters in testicular salvage: A 12-year retrospective review.血液学参数在睾丸挽救中的预测价值:一项12年的回顾性研究。
Front Pediatr. 2022 Aug 17;10:989112. doi: 10.3389/fped.2022.989112. eCollection 2022.
2
The effect of the two-stage laparoscopic Fowler-Stevens operation on testicular growth and risk of atrophy in boys with intra-abdominal testes.两阶段腹腔镜 Fowler-Stevens 手术对腹腔内睾丸男孩睾丸生长及萎缩风险的影响。
Arch Med Sci. 2019 Jul 11;18(3):666-671. doi: 10.5114/aoms.2019.86596. eCollection 2022.
3
Should haematological inflammatory markers be included as an adjuvant in the differential diagnosis of acute scrotal pathologies?
列线图预测睾丸扭转患者的风险评分及睾丸切除术的可能性:一项多中心回顾性研究
World J Urol. 2025 Mar 12;43(1):163. doi: 10.1007/s00345-025-05539-y.
4
Editorial Comment on "Predictive value of haematologic parameters and HALP score for testicular viability in adults with testicular torsion: A multicentric study".关于“血液学参数和HALP评分对成人睾丸扭转患者睾丸存活能力的预测价值:一项多中心研究”的编辑评论
Int J Urol. 2025 Mar;32(3):307. doi: 10.1111/iju.15669. Epub 2025 Jan 10.
5
Editorial Comment on A nomogram for predicting risk factors of testicular salvage after testicular torsion in children.关于儿童睾丸扭转后睾丸挽救危险因素预测列线图的编辑评论
Int J Urol. 2024 May;31(5):575. doi: 10.1111/iju.15469. Epub 2024 Apr 16.
血液炎症标志物是否应作为急性阴囊疾病鉴别诊断的辅助指标?
Andrologia. 2022 May;54(4):e14374. doi: 10.1111/and.14374. Epub 2022 Jan 18.
4
Testicular torsion in children.儿童睾丸扭转
Can Fam Physician. 2021 Sep;67(9):669-671. doi: 10.46747/cfp.6709669.
5
Patient transfer influences the prognosis of pediatric patients operated for testicular torsion: a single-center experience.患者转运影响接受睾丸扭转手术的儿科患者的预后:单中心经验。
Transl Pediatr. 2021 Mar;10(3):494-501. doi: 10.21037/tp-20-287.
6
The Use of Doppler Ultrasound for Suspected Testicular Torsion: Lessons Learned from a 15-Year Multicentre Retrospective Study of 2922 Patients.应用多普勒超声诊断疑似睾丸扭转:15 年多中心回顾性研究 2922 例患者的经验教训。
Eur Urol Focus. 2022 Jan;8(1):105-111. doi: 10.1016/j.euf.2021.02.011. Epub 2021 Mar 2.
7
Risk Factors for Testicular Atrophy in Children With Testicular Torsion Following Emergent Orchiopexy.急诊睾丸固定术后睾丸扭转患儿睾丸萎缩的危险因素
Front Pediatr. 2020 Nov 11;8:584796. doi: 10.3389/fped.2020.584796. eCollection 2020.
8
Duration of symptoms is the only predictor of testicular salvage following testicular torsion in children: A case-control study.症状持续时间是儿童睾丸扭转后睾丸保留的唯一预测因素:一项病例对照研究。
Am J Emerg Med. 2021 Mar;41:197-200. doi: 10.1016/j.ajem.2020.11.023. Epub 2020 Nov 15.
9
Establishment and internal validation of preoperative nomograms for predicting the possibility of testicular salvage in patients with testicular torsion.建立并内部验证预测睾丸扭转患者睾丸保留可能性的术前列线图。
Asian J Androl. 2021 Jan-Feb;23(1):97-102. doi: 10.4103/aja.aja_31_20.
10
Prognosis of testicular torsion orchiopexy.睾丸扭转或固定术的预后。
Andrologia. 2020 Feb;52(1):e13477. doi: 10.1111/and.13477. Epub 2019 Nov 12.