Division of Allergy, Immunology and Rheumatology, Department of Pediatrics, Stanford School of Medicine, Stanford, CA, United States.
Division of Hematology, Oncology, Stem Cell Transplantation and Regenerative Medicine, Department of Pediatrics, Stanford School of Medicine, Stanford, CA, United States.
Front Immunol. 2024 Jan 29;14:1328005. doi: 10.3389/fimmu.2023.1328005. eCollection 2023.
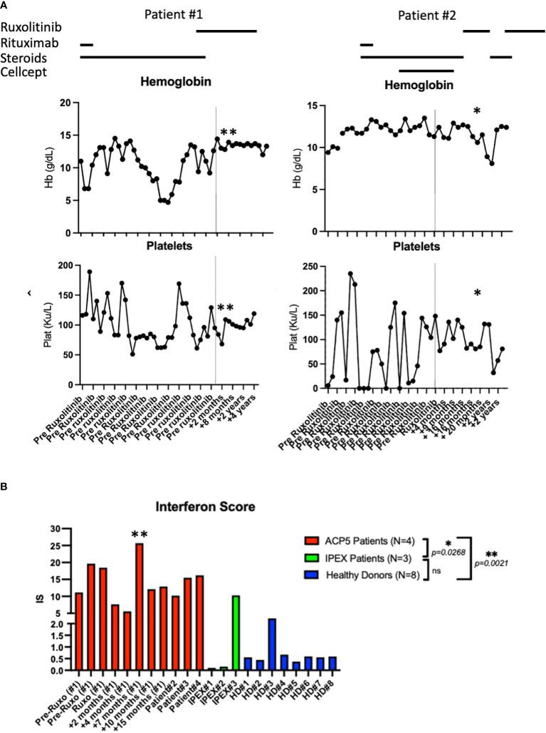
Biallelic mutations in the gene cause spondyloenchondrodysplasia with immune dysregulation (SPENCDI). SPENCDI is characterized by the phenotypic triad of skeletal dysplasia, innate and adaptive immune dysfunction, and variable neurologic findings ranging from asymptomatic brain calcifications to severe developmental delay with spasticity. Immune dysregulation in SPENCDI is often refractory to standard immunosuppressive treatments. Here, we present the cases of two patients with SPENCDI and recalcitrant autoimmune cytopenias who demonstrated a favorable clinical response to targeted JAK inhibition over a period of more than 3 years. One of the patients exhibited steadily rising IgG levels and a bone marrow biopsy revealed smoldering multiple myeloma. A review of the literature uncovered that approximately half of the SPENCDI patients reported to date exhibited increased IgG levels. Screening for multiple myeloma in SPENCDI patients with rising IgG levels should therefore be considered.
基因中的双等位基因突变导致伴有免疫失调的脊椎骨骺发育不良(SPENCDI)。SPENCDI 的特征是骨骼发育不良、先天和适应性免疫功能障碍以及各种神经学表现的表型三联征,从无症状性脑钙化到伴有痉挛的严重发育迟缓不等。SPENCDI 中的免疫失调通常对标准免疫抑制治疗有抗性。在这里,我们报告了两例 SPENCDI 伴有难治性自身免疫性血细胞减少症的患者,他们在超过 3 年的时间里对靶向 JAK 抑制表现出良好的临床反应。其中一名患者的 IgG 水平持续升高,骨髓活检显示为冒烟型多发性骨髓瘤。文献回顾发现,迄今为止报告的大约一半 SPENCDI 患者表现出 IgG 水平升高。因此,应考虑对 IgG 水平升高的 SPENCDI 患者进行多发性骨髓瘤筛查。