Suppr超能文献

变异性与专门化:技术和生理多样性对优秀游泳运动员发展的剂量-时间-效应。

Variation vs. specialization: the dose-time-effect of technical and physiological variety in the development of elite swimmers.

机构信息

Swiss Swimming Federation, Section for High-Performance Sports, Bern, Switzerland.

Department for Elite Sport, Swiss Federal Institute of Sport Magglingen, Hauptstrasse 247, 2532, Magglingen, Switzerland.

出版信息

BMC Res Notes. 2024 Feb 14;17(1):48. doi: 10.1186/s13104-024-06706-x.

Abstract

OBJECTIVE

It is heavily discussed whether larger variety or specialization benefit elite performance at peak age. Therefore, this study aimed to determine technical (number of different swimming strokes) and physiological (number of different race distances) variety required to become an international-class swimmer (> 750 swimming points) based on 1'522'803 race results.

RESULTS

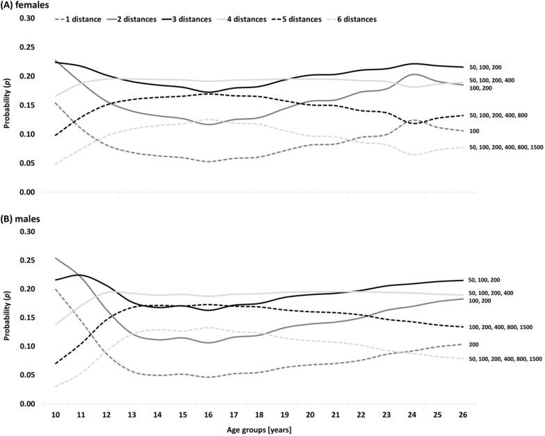
Correlation analyses showed lower technical variety in higher ranked swimmers (P < 0.001), yet with small effects (0.11-0.30). However, Poisson distribution revealed dose-time-effects and specified number of swimming strokes required during each age group. Specifically, freestyle swimmers showed highest chances when starting to compete in three to four swimming strokes but reduced their variety to three swimming strokes at the ages of 12/13yrs with another transition to two swimming strokes at the ages of 19/21yrs (female/male swimmers, respectively). Although both sexes showed similar specialization pattern throughout their career, earlier specialization was generally evident in female compared to male swimmers. At peak performance age, freestyle was most frequently combined with butterfly. Swimmers who either kept competing in all five swimming strokes or focused on only one at the beginning of their careers showed lowest probability of becoming an international-class swimmer. Physiological variety increased during junior age but declined again to three race distances towards elite age.

摘要

目的

人们一直在激烈讨论,在巅峰年龄,更大的多样性还是专业化更有利于精英表现。因此,本研究旨在根据 1'522'803 场比赛结果,确定成为国际级游泳运动员(>750 个游泳积分)所需的技术(不同泳姿的数量)和生理(不同比赛距离的数量)多样性。

结果

相关性分析表明,排名较高的游泳运动员的技术多样性较低(P<0.001),但效果较小(0.11-0.30)。然而,泊松分布揭示了剂量-时间效应,并指定了每个年龄组所需的游泳次数。具体来说,自由泳运动员在开始参加三到四种泳姿时,获胜机会最高,但在 12/13 岁时将其多样性减少到三种泳姿,在 19/21 岁时(女性/男性游泳运动员)再次过渡到两种泳姿。尽管两性在整个职业生涯中都表现出相似的专业化模式,但女性的专业化通常比男性更早。在巅峰表现年龄,自由泳最常与蝶泳结合。那些要么在职业生涯开始时一直参加所有五种泳姿,要么只专注于一种泳姿的游泳运动员,成为国际级游泳运动员的概率最低。在青少年时期,生理多样性增加,但在精英时期再次减少到三种比赛距离。

https://cdn.ncbi.nlm.nih.gov/pmc/blobs/b37c/10865614/f7425500b547/13104_2024_6706_Fig1_HTML.jpg

文献检索

告别复杂PubMed语法,用中文像聊天一样搜索,搜遍4000万医学文献。AI智能推荐,让科研检索更轻松。

立即免费搜索

文件翻译

保留排版,准确专业,支持PDF/Word/PPT等文件格式,支持 12+语言互译。

免费翻译文档

深度研究

AI帮你快速写综述,25分钟生成高质量综述,智能提取关键信息,辅助科研写作。

立即免费体验