Suppr超能文献

固有矿物质对金属加工液污泥热解的影响:产物表征及重金属行为

Influence of inherent minerals on metalworking fluids sludge pyrolysis: Products characterization and heavy metals behavior.

作者信息

Zhu Guidan, Wang Xingdong, Yin Xuan, Zhu Mengmeng, Li Jiaying, Cao Ling, Sun Zhiyang, Zeng Hehua

机构信息

School of Chemistry and Chemical Engineering, Changji University, Changji, 831100, China.

Department of Civil Engineering, 23 College Walk, Monash University, Victoria, 3800, Australia.

出版信息

Heliyon. 2024 Feb 10;10(4):e26256. doi: 10.1016/j.heliyon.2024.e26256. eCollection 2024 Feb 29.

Abstract

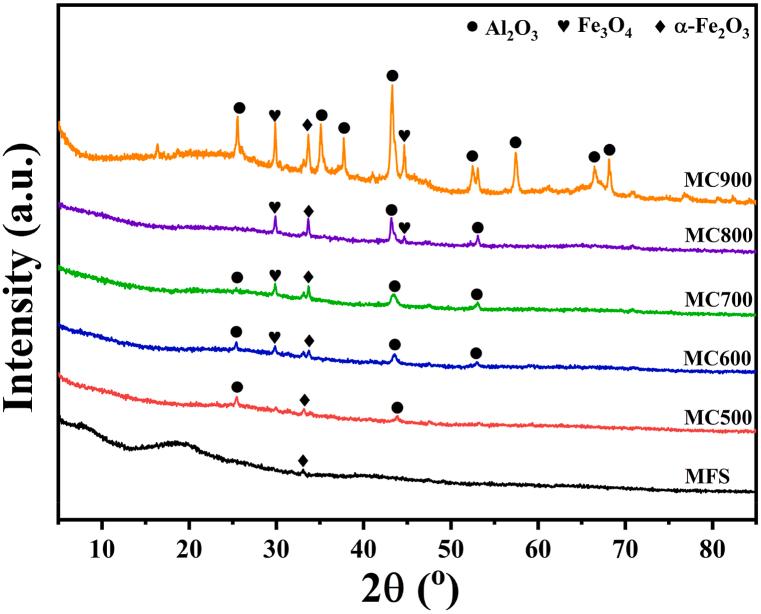
Safely and appropriately disposing of metalworking fluids sludge (MFS) remains a challenge owing to its highly hazardous properties, this work investigated MFS pyrolysis at various temperatures (500, 600, 700, 800, and 900 °C) for energy recovery and safety treatment of MFS. The experimental results indicated that inherent minerals at higher temperatures could enhance the gas yields and promote the qualities of oil and gas from MFS pyrolysis. The highest pyrolysis gas yield was achieved at 18.86 wt% after MFS pyrolysis at 900 °C. GC-MS analysis revealed that the inherent minerals facilitated a decrease in oxygenated and nitrogenated compounds within the oil, while simultaneously leading to a substantial increase in hydrocarbon contents. Notably, the highest content of aromatics (61.16%) was attained during pyrolysis at 900 °C. Moreover, inherent minerals improved carbon sequestration and the characteristics of biochar during the MFS pyrolysis. The leaching contents of heavy metals in biochars were reduced, thereby reducing the heavy metals associated environmental risk. This research suggests that the pyrolysis process was a promising approach for simultaneous energy recovery and MFS disposal with low environmental risk.

摘要

由于金属加工液污泥(MFS)具有高度危险性,安全且妥善地处置它仍然是一项挑战。这项工作研究了MFS在不同温度(500、600、700、800和900℃)下的热解过程,以实现能量回收和对MFS进行安全处理。实验结果表明,较高温度下的固有矿物质可以提高气体产率,并提升MFS热解产生的油气质量。在900℃下对MFS进行热解后,热解气产率最高达到18.86 wt%。气相色谱-质谱联用(GC-MS)分析表明,固有矿物质有助于减少油中含氧化合物和含氮化合物的含量,同时导致烃类含量大幅增加。值得注意的是,在900℃热解过程中芳烃含量最高,达到61.16%。此外,固有矿物质在MFS热解过程中改善了碳固存和生物炭的特性。生物炭中重金属的浸出量减少,从而降低了与重金属相关的环境风险。这项研究表明,热解过程是一种有前景的方法,可同时实现能量回收和MFS处置,且环境风险较低。

https://cdn.ncbi.nlm.nih.gov/pmc/blobs/6131/10877409/c8f71bb05498/ga1.jpg

文献AI研究员

20分钟写一篇综述,助力文献阅读效率提升50倍。

立即体验

用中文搜PubMed

大模型驱动的PubMed中文搜索引擎

马上搜索

文档翻译

学术文献翻译模型,支持多种主流文档格式。

立即体验