Suppr超能文献

肾上腺皮质癌死亡的临床和病理预测因素

Clinical and Pathological Predictors of Death for Adrenocortical Carcinoma.

作者信息

Pato Eduardo, Srougi Victor, Zerbini Claudia, Ledesma Felipe L, Tanno Fabio, Almeida Madson Q, Nahas William, Latronico Ana Claudia, Mendonca Berenice B, Chambô Jose L, Fragoso Maria Candida B V

机构信息

Division of Urology, Hospital das Clínicas, University of São Paulo School of Medicine, São Paulo, SP 05403-010, Brazil.

Division of Pathology, Hospital das Clínicas, University of São Paulo School of Medicine, São Paulo, SP 05403-010, Brazil.

出版信息

J Endocr Soc. 2024 Jan 8;8(4):bvad170. doi: 10.1210/jendso/bvad170. eCollection 2024 Feb 19.

Abstract

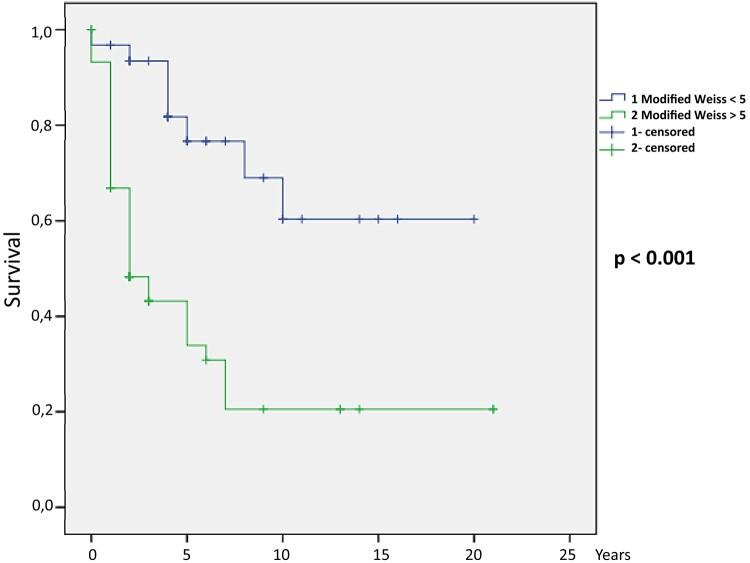
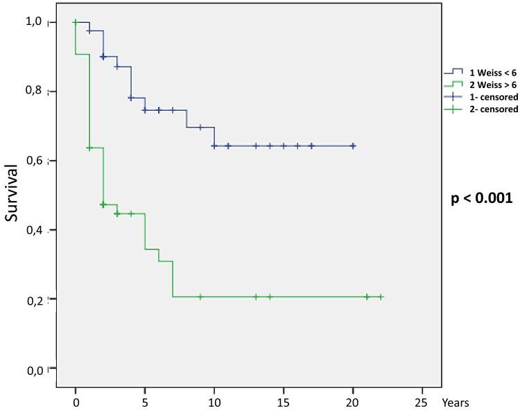
Adrenocortical carcinoma (ACC) is a rare and lethal disease with a poor prognosis. This study aims to share our 41-year experience as a referral center, focusing on identifying risk factors associated with ACC mortality. Our retrospective analysis included a cohort of 150 adult patients with ACC in all stage categories, treated between 1981 and 2022. Tumor hormonal hypersecretion was observed in 78.6% of the patients, and the median age of diagnosis was 40 years. The majority presented as European Network for the Study of Adrenal Tumors (ENSAT) III or IV (22.9% and 31.2%, respectively), and the overall mortality rate was 54.6%. Independent predictors of death were elevated secretion of cortisol (HR = 2.0), androstenedione (HR = 2.2), estradiol (HR = 2.8), 17-OH progesterone (HR = 2.0), and 11-deoxycortisol (HR = 5.1), higher Weiss (HR = 4.3), modified Weiss (HR = 4.4), and Helsinki scores (HR = 12.0), advanced ENSAT stage (HR = 27.1), larger tumor size (HR = 2.7), higher Ki-67 percentage (HR = 2.3), and incomplete surgical resection (HR = 2.5). Mitosis greater than 5/50 high-power field (HR = 5.6), atypical mitosis (HR = 2.3), confluent necrosis (HR = 15.4), venous invasion (HR = 2.8), and capsular invasion (HR = 2.4) were also identified as independent predictors of death. Knowing the risk factors for ACC's mortality may help determine the best treatment option.

摘要

肾上腺皮质癌(ACC)是一种罕见的致命性疾病,预后较差。本研究旨在分享我们作为转诊中心41年的经验,重点是确定与ACC死亡率相关的危险因素。我们的回顾性分析纳入了1981年至2022年间接受治疗的150例各期成年ACC患者队列。78.6%的患者观察到肿瘤激素分泌过多,诊断时的中位年龄为40岁。大多数患者表现为欧洲肾上腺肿瘤研究网络(ENSAT)III期或IV期(分别为22.9%和31.2%),总死亡率为54.6%。死亡的独立预测因素包括皮质醇分泌升高(HR = 2.0)、雄烯二酮(HR = 2.2)、雌二醇(HR = 2.8)、17-羟孕酮(HR = 2.0)和11-脱氧皮质醇(HR = 5.1),较高的Weiss评分(HR = 4.3)、改良Weiss评分(HR = 4.4)和赫尔辛基评分(HR = 12.0),ENSAT晚期(HR = 27.1),肿瘤较大(HR = 2.7),较高的Ki-67百分比(HR = 2.3),以及手术切除不完全(HR = 2.5)。每50个高倍视野有超过5个有丝分裂(HR = 5.6)、非典型有丝分裂(HR = 2.3)、融合性坏死(HR = 15.4)、静脉侵犯(HR = 2.8)和包膜侵犯(HR = 2.4)也被确定为死亡的独立预测因素。了解ACC死亡率的危险因素可能有助于确定最佳治疗方案。

https://cdn.ncbi.nlm.nih.gov/pmc/blobs/a969/10881101/d2c5d2498e61/bvad170f1.jpg

文献AI研究员

20分钟写一篇综述,助力文献阅读效率提升50倍。

立即体验

用中文搜PubMed

大模型驱动的PubMed中文搜索引擎

马上搜索

文档翻译

学术文献翻译模型,支持多种主流文档格式。

立即体验